Suppr超能文献

森林火灾规模的生存分析和分类方法。

Survival analysis and classification methods for forest fire size.

机构信息

Département de mathématiques et de statistique, Université Laval, Québec, Québec, Canada.

Département des sciences du bois et de la forêt, Université Laval, Québec, Québec, Canada.

出版信息

PLoS One. 2018 Jan 10;13(1):e0189860. doi: 10.1371/journal.pone.0189860. eCollection 2018.

Abstract

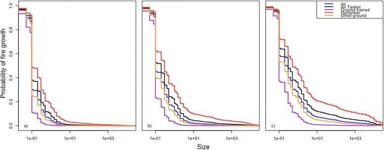
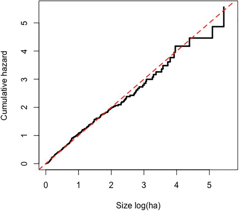
Factors affecting wildland-fire size distribution include weather, fuels, and fire suppression activities. We present a novel application of survival analysis to quantify the effects of these factors on a sample of sizes of lightning-caused fires from Alberta, Canada. Two events were observed for each fire: the size at initial assessment (by the first fire fighters to arrive at the scene) and the size at "being held" (a state when no further increase in size is expected). We developed a statistical classifier to try to predict cases where there will be a growth in fire size (i.e., the size at "being held" exceeds the size at initial assessment). Logistic regression was preferred over two alternative classifiers, with covariates consistent with similar past analyses. We conducted survival analysis on the group of fires exhibiting a size increase. A screening process selected three covariates: an index of fire weather at the day the fire started, the fuel type burning at initial assessment, and a factor for the type and capabilities of the method of initial attack. The Cox proportional hazards model performed better than three accelerated failure time alternatives. Both fire weather and fuel type were highly significant, with effects consistent with known fire behaviour. The effects of initial attack method were not statistically significant, but did suggest a reverse causality that could arise if fire management agencies were to dispatch resources based on a-priori assessment of fire growth potentials. We discuss how a more sophisticated analysis of larger data sets could produce unbiased estimates of fire suppression effect under such circumstances.

摘要

影响林火规模分布的因素包括天气、燃料和火灾扑救活动。我们提出了生存分析的新应用,以量化这些因素对加拿大阿尔伯塔省闪电引发火灾样本大小的影响。每起火灾都观察到两个事件:初始评估时的大小(由第一批到达现场的消防队员评估)和“被控制”时的大小(预计不会进一步增加的状态)。我们开发了一个统计分类器,试图预测火灾规模会增长的情况(即“被控制”时的大小超过初始评估时的大小)。逻辑回归比两个替代分类器更受欢迎,协变量与类似的过去分析一致。我们对表现出规模增长的火灾组进行了生存分析。筛选过程选择了三个协变量:火灾开始当天的火灾天气指数、初始评估时燃烧的燃料类型以及初始攻击方法的类型和能力因素。Cox 比例风险模型的表现优于三个加速失效时间替代模型。火灾天气和燃料类型都非常重要,其影响与已知的火灾行为一致。初始攻击方法的影响在统计学上并不显著,但确实表明,如果消防管理机构根据火灾增长潜力的预先评估来调度资源,可能会出现反向因果关系。我们讨论了在这种情况下,对更大数据集进行更复杂的分析如何产生火灾抑制效果的无偏估计。

https://cdn.ncbi.nlm.nih.gov/pmc/blobs/024a/5761846/07e196acd6f6/pone.0189860.g001.jpg

相似文献

1
Survival analysis and classification methods for forest fire size.
PLoS One. 2018 Jan 10;13(1):e0189860. doi: 10.1371/journal.pone.0189860. eCollection 2018.
3
Wildfire frequency varies with the size and shape of fuel types in southeastern France: implications for environmental management.
J Environ Manage. 2013 Mar 15;117:150-61. doi: 10.1016/j.jenvman.2012.12.006. Epub 2013 Jan 28.
4
The drivers of wildfire enlargement do not exhibit scale thresholds in southeastern Australian forests.
J Environ Manage. 2016 Oct 1;181:208-217. doi: 10.1016/j.jenvman.2016.06.033. Epub 2016 Jun 27.
5
Examining the relative effects of fire weather, suppression and fuel treatment on fire behaviour--a simulation study.
J Environ Manage. 2013 Dec 15;131:325-33. doi: 10.1016/j.jenvman.2013.10.007. Epub 2013 Nov 6.
7
Mapping regional patterns of large forest fires in Wildland-Urban Interface areas in Europe.
J Environ Manage. 2016 May 1;172:112-26. doi: 10.1016/j.jenvman.2016.02.013. Epub 2016 Feb 27.
8
Strategic application of wildland fire suppression in the southwestern United States.
J Environ Manage. 2019 Sep 1;245:504-518. doi: 10.1016/j.jenvman.2019.01.003. Epub 2019 May 29.
9
The dynamics and drivers of fuel and fire in the Portuguese public forest.
J Environ Manage. 2014 Dec 15;146:373-382. doi: 10.1016/j.jenvman.2014.07.049. Epub 2014 Sep 7.
10
Suppression resource decisions are the dominant influence on containment of Australian forest and grass fires.
J Environ Manage. 2018 Dec 15;228:373-382. doi: 10.1016/j.jenvman.2018.09.031. Epub 2018 Sep 19.

引用本文的文献

1
Machine learning estimates on the impacts of detection times on wildfire suppression costs.
PLoS One. 2024 Nov 20;19(11):e0313200. doi: 10.1371/journal.pone.0313200. eCollection 2024.
2
Confounding adjustment methods for multi-level treatment comparisons under lack of positivity and unknown model specification.
J Appl Stat. 2021 Apr 7;49(10):2570-2592. doi: 10.1080/02664763.2021.1911966. eCollection 2022.
4
Wildfire Detection Using Sound Spectrum Analysis Based on the Internet of Things.
Sensors (Basel). 2019 Nov 21;19(23):5093. doi: 10.3390/s19235093.

本文引用的文献

1
flexsurv: A Platform for Parametric Survival Modeling in R.
J Stat Softw. 2016 May 12;70. doi: 10.18637/jss.v070.i08.
2
pROC: an open-source package for R and S+ to analyze and compare ROC curves.
BMC Bioinformatics. 2011 Mar 17;12:77. doi: 10.1186/1471-2105-12-77.
3
Marginal structural models and causal inference in epidemiology.
Epidemiology. 2000 Sep;11(5):550-60. doi: 10.1097/00001648-200009000-00011.
4
Alternative time scales and failure time models.
Lifetime Data Anal. 2000 Jun;6(2):157-79. doi: 10.1023/a:1009616111968.

文献AI研究员

20分钟写一篇综述,助力文献阅读效率提升50倍。

立即体验

用中文搜PubMed

大模型驱动的PubMed中文搜索引擎

马上搜索

文档翻译

学术文献翻译模型,支持多种主流文档格式。

立即体验