Office of Hematology and Oncology Products, Center for Drug Evaluation and Research, US Food and Drug Administration, Silver Spring, MD, USA.
Office of Hematology and Oncology Products, Center for Drug Evaluation and Research, US Food and Drug Administration, Silver Spring, MD, USA.
Lancet Oncol. 2018 Feb;19(2):229-239. doi: 10.1016/S1470-2045(17)30846-X. Epub 2018 Jan 18.
Patients who receive immunotherapeutic drugs might develop an atypical response pattern, wherein they initially meet conventional response criteria for progressive disease but later have decreases in tumour burden. Such responses warrant further investigation into the potential benefits and risks for patients who continue immunotherapy beyond disease progression defined by the Response Evaluation Criteria in Solid Tumors (RECIST) version 1.1.
For this pooled analysis, we included all submissions of trial reports and data to the US Food and Drug Administration (FDA) in support of marketing applications for anti-programmed death receptor-1 (PD-1) antibodies (alone or in combination) for the treatment of patients with unresectable or metastatic melanoma that allowed for continuation of the antibody beyond RECIST-defined progression in the anti-PD-1 group and were approved by FDA before Jan 1, 2017. To investigate the effect of treatment beyond progression in patients with metastatic melanoma and to better characterise which of these patients would benefit from extended treatment, we pooled individual patient data from patients who received at least one dose of an anti-PD-1 antibody in the included trials. We included any patient receiving the anti-PD-1 antibody after their RECIST-defined progression date in the treatment beyond progression cohort and analysed them descriptively at baseline and at time of progression versus the cohort not receiving treatment beyond progression. We analysed the target lesion response after progression in patients in the treatment beyond progression cohort relative to progressive disease and baseline target lesion burden. We defined a treatment beyond progression response as a decrease in target lesion tumour burden (sum of the reference diameters) of at least 30% from the burden at the time of RECIST-defined progression that did not require confirmation at a subsequent assessment. We also compared individual timepoint responses, overall survival, and adverse events in the treatment beyond progression versus no treatment beyond progression cohorts.
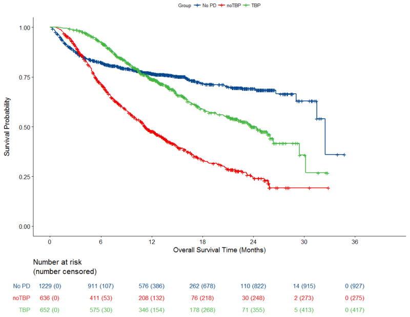
Among the eight multicentre clinical trials meeting this study's inclusion criteria, we pooled the data from 2624 patients receiving immunotherapy. 1361 (52%) had progressive disease, of whom 692 (51%) received continued anti-PD-1 antibody treatment beyond RECIST-defined progression and 669 (49%) did not. 95 (19%) of 500 patients in the treatment beyond progresssion cohort with evaluable assessments had a 30% or more decrease in tumour burden, when considering burden at RECIST-defined progression as the reference point, representing 14% of the 692 patients treated beyond progression and 4% of all 2624 patients treated with immunotherapy. Median overall survival in patients with RECIST-defined progressive disease given anti-PD-1 antibody was longer in the treatment beyond progression cohort (24·4 months, 95% CI 21·2-26·3) than in the cohort of patients who did not receive treatment beyond progression (11·2 months, 10·1-12·9). 362 (54%) of 669 patients in the no treatment beyond progression cohort had a serious adverse event up to 90 days after treatment discontinuation compared with 295 (43%) of 692 patients in the treatment beyond progression cohort. Immune-related adverse events that occurred up to 90 days from discontinuation were similar between the treatment beyond progression cohort (78 [11%] of 692 patients) and the no treatment beyond progression cohort (106 [16%] of 669).
Continuation of treatment beyond progression in the product labelling of these immunotherapies has not been recommended because the clinical benefit remains to be proven. Treatment beyond progression with anti-PD-1 antibody therapy might be appropriate for selected patients with unresectable or metastatic melanoma, identified by specific criteria at the time of progression, based on the potential for late responses in the setting of the known toxicity profile.
None.
接受免疫治疗药物的患者可能会出现非典型反应模式,即在最初符合进展性疾病的常规反应标准,但后来肿瘤负担减少。这些反应需要进一步研究继续使用免疫疗法对超出实体瘤反应评估标准(RECIST)版本 1.1 定义的疾病进展后继续接受免疫治疗的患者的潜在益处和风险。
在这项汇总分析中,我们纳入了所有向美国食品和药物管理局(FDA)提交的试验报告和数据,以支持抗程序性死亡受体-1(PD-1)抗体(单独或联合使用)治疗不可切除或转移性黑色素瘤患者的营销申请,这些患者允许在抗 PD-1 组中超出 RECIST 定义的进展后继续使用抗体,并且在 2017 年 1 月 1 日之前获得 FDA 批准。为了研究转移性黑色素瘤患者进展后治疗的效果,并更好地描述哪些患者将从延长治疗中受益,我们从接受至少一剂抗 PD-1 抗体的患者中汇总了个体患者数据来自包括试验。我们将任何在 RECIST 定义的进展日期后接受抗 PD-1 抗体的患者纳入进展后治疗队列,并在基线和进展时对其进行描述性分析,与未接受进展后治疗的队列进行比较。我们分析了进展后治疗队列中患者的靶病变反应与进展性疾病和基线靶病变负担的关系。我们将进展后治疗的反应定义为从 RECIST 定义的进展时的肿瘤负担(参考直径之和)至少减少 30%,且不需要在后续评估中确认。我们还比较了进展后治疗与无进展后治疗队列的个体时间点反应、总生存和不良事件。
在符合本研究纳入标准的八项多中心临床试验中,我们汇总了接受免疫治疗的 2624 名患者的数据。1361 名(52%)患有进展性疾病,其中 692 名(51%)在 RECIST 定义的进展后继续接受抗 PD-1 抗体治疗,669 名(49%)未接受治疗。在进展后治疗队列中,有 500 名可评估患者中有 95 名(19%)的肿瘤负担减少了 30%或更多,当考虑作为参考点的 RECIST 定义的进展时的负担时,这代表了 692 名进展后治疗的患者中的 14%和所有接受免疫治疗的 2624 名患者中的 4%。在接受抗 PD-1 抗体治疗的 RECIST 定义的进展性疾病患者中,进展后治疗队列的中位总生存期(24.4 个月,95%CI 21.2-26.3)长于未接受进展后治疗的患者队列(11.2 个月,10.1-12.9)。在未接受进展后治疗的患者队列中,669 名患者中有 362 名(54%)在治疗停药后 90 天内发生严重不良事件,而在进展后治疗队列中,692 名患者中有 295 名(43%)。停药后 90 天内发生的免疫相关不良事件在进展后治疗队列(692 名患者中有 78 名[11%])和无进展后治疗队列(669 名患者中有 106 名[16%])之间相似。
这些免疫疗法产品标签中并未推荐进展后继续治疗,因为其临床获益仍有待证明。对于特定标准下的不可切除或转移性黑色素瘤患者,根据已知毒性特征下的晚期反应可能性,在进展时使用特定标准选择进展后继续使用抗 PD-1 抗体治疗可能是合适的。
无。