Suppr超能文献

芍药苷是舒郁胶囊的主要活性成分,它抑制 Ca1.2 并调节钙调蛋白/钙调蛋白依赖性蛋白激酶 II 信号通路。

Paeoniflorin, the Main Active Ingredient of Shuyu Capsule, Inhibits Ca1.2 and Regulates Calmodulin/Calmodulin-Dependent Protein Kinase II Signalling.

机构信息

Experiment Center, Shandong University of Traditional Chinese Medicine, Jinan 250355, China.

College of Pharmacy, Shandong University of Traditional Chinese Medicine, Jinan 250355, China.

出版信息

Biomed Res Int. 2017;2017:8459287. doi: 10.1155/2017/8459287. Epub 2017 Dec 6.

Abstract

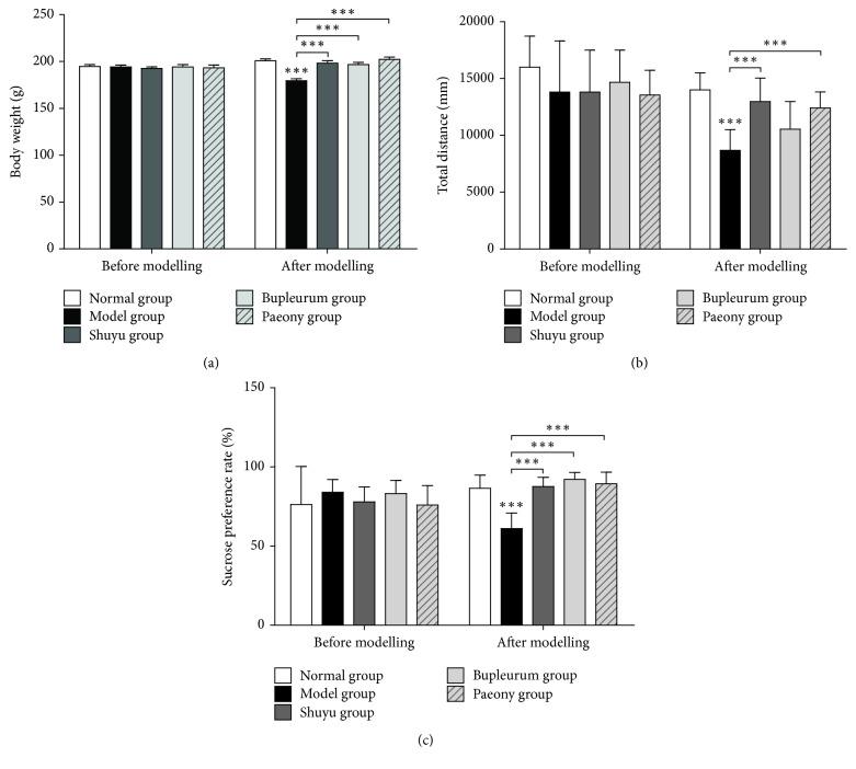
The aim of this study was to explore the mechanism underlying the antidepression activity of paeoniflorin, the main active ingredient of paeony extract and Shuyu capsules, and determine its effect on the calmodulin/calmodulin-dependent protein kinase II (CaM/CaMKII) signalling pathway and on the possible target, the voltage-gated calcium channel (Ca). Rats at the nonacceptance stage were selected for premenstrual syndrome (PMS) depression modelling. Behavioural assays were used for model testing. Rats were given Shuyu capsules, paeony extract, and bupleurum. Western blot analysis was used to assess the expression levels of calcium voltage-gated channel subunit alpha 1 C (CACNA1C), brain-derived neurotrophic factor, and CaM/CaMKII signalling pathway proteins. Intracellular Ca concentration in CHO cell line was measured using Fluo-4-AM and whole-cell patch clamps. The PMS depression model was successfully established and demonstrated that Shuyu can mitigate depressive behaviour in a rat PMS model. Paeony extract did not affect CACNA1C protein expression in rat hippocampi but did affect Ca1.2-mediated CaM/CaMKII signalling pathways. Paeoniflorin significantly inhibited KCl-induced increases in intracellular Ca concentration and Ca1.2 current density. Further, it may function via the CaM/CaMKII pathway and its downstream signalling molecules by regulating Ca1.2, thus playing an important role in the treatment and alleviation of affective disorders.

摘要

本研究旨在探讨芍药苷(白芍提取物和舒郁胶囊的主要活性成分)抗抑郁作用的机制,确定其对钙调蛋白/钙调蛋白依赖性蛋白激酶 II(CaM/CaMKII)信号通路的影响,以及对电压门控钙通道(Ca)的可能作用。选择处于拒纳阶段的大鼠进行经前期综合征(PMS)抑郁模型建模。采用行为学检测进行模型测试。大鼠给予舒郁胶囊、白芍提取物和柴胡。采用 Western blot 分析评估钙电压门控通道亚基 alpha 1 C(CACNA1C)、脑源性神经营养因子和 CaM/CaMKII 信号通路蛋白的表达水平。使用 Fluo-4-AM 和全细胞膜片钳技术测量 CHO 细胞系中的细胞内 Ca 浓度。成功建立了 PMS 抑郁模型,表明舒郁可以减轻大鼠 PMS 模型的抑郁行为。白芍提取物不影响大鼠海马 CACNA1C 蛋白表达,但影响 Ca1.2 介导的 CaM/CaMKII 信号通路。芍药苷显著抑制 KCl 诱导的细胞内 Ca 浓度和 Ca1.2 电流密度增加。此外,它可能通过调节 Ca1.2 经由 CaM/CaMKII 通路及其下游信号分子发挥作用,从而在治疗和缓解情感障碍方面发挥重要作用。

https://cdn.ncbi.nlm.nih.gov/pmc/blobs/f0eb/5736929/2eb446e89516/BMRI2017-8459287.001.jpg

文献AI研究员

20分钟写一篇综述,助力文献阅读效率提升50倍。

立即体验

用中文搜PubMed

大模型驱动的PubMed中文搜索引擎

马上搜索

文档翻译

学术文献翻译模型,支持多种主流文档格式。

立即体验