Li Fang, Zhang You-Bo, Wei Xia, Song Chun-Hong, Qiao Ming-Qi, Zhang Hui-Yun
Hospital Pharmacy, Fengtai Maternal and Children's Health Hospital of Beijing, Beijing 100069, P.R. China.
State Key Laboratory of Natural and Biomimetic Drugs and Department of Natural Medicines, School of Pharmaceutical Sciences, Peking University Health Science Center, Peking University, Beijing 100101, P.R. China.
Mol Med Rep. 2016 May;13(5):4191-204. doi: 10.3892/mmr.2016.5082. Epub 2016 Apr 4.
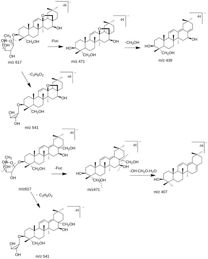
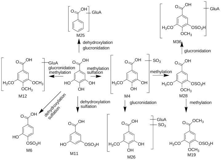
The Chinese herbal formula, Shu-Yu capsule (SYC), has been successfully used to treat depression-like disorders in clinical settings. To rapidly identify the chemical constituents of SYC and its metabolites in rat serum, a simple and sensitive liquid chromatography-tandem mass spectrometry method was established in the present study. By comparing the retention times, MS and MSn spectra data in the literature and reference standards, a total of 73 compounds were identified from SYC. In rat serum, 62 components, including 13 prototype compounds and 49 metabolites were identified. Of these components, 14 metabolites were confirmed as novel metabolites of SYC. The results of the present study indicated that certain flavonoid glycosides and monoterpene glycosides were absorbed directly. Glucuronidation and sulfation were identified as the predominant metabolic pathways of the components in SYC. In addition, certain phase I reactions, including hydrolysis, demethylation and hydroxylation occurred in the rats. These results provide scientific evidence, which support further investigations of the pharmacology and mechanism of SYC.
中药复方舒郁胶囊(SYC)已成功用于临床治疗抑郁症样疾病。为快速鉴定SYC及其大鼠血清代谢产物的化学成分,本研究建立了一种简单灵敏的液相色谱-串联质谱法。通过比较文献和参考标准品中的保留时间、质谱和多级质谱数据,从SYC中总共鉴定出73种化合物。在大鼠血清中,鉴定出62种成分,包括13种原型化合物和49种代谢产物。其中,14种代谢产物被确认为SYC的新型代谢产物。本研究结果表明,某些黄酮苷和单萜苷可直接吸收。葡萄糖醛酸化和硫酸化被确定为SYC中成分的主要代谢途径。此外,大鼠体内还发生了某些I相反应,包括水解、去甲基化和羟基化。这些结果为进一步研究SYC的药理作用和作用机制提供了科学依据。