Suppr超能文献

耐万古霉素金黄色葡萄球菌在养猪场尘埃中的存活情况。

Survival of LA-MRSA in Dust from Swine Farms.

机构信息

The National Research Center for the Working Environment, Copenhagen Ø, Denmark.

Statens Serum Institut, Copenhagen S, Denmark.

出版信息

Ann Work Expo Health. 2018 Feb 13;62(2):147-156. doi: 10.1093/annweh/wxx108.

Abstract

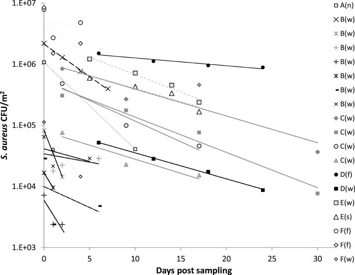
Dust is suspected to be an important factor in transmission of livestock-associated methicillin-resistant Staphylococcus aureus (LA-MRSA) between pigs and pig farmers and their families. The aim of this study was to determine the rate of decay for Staphylococcus aureus and LA-MRSA in dust from swine farms. Electrostatic dust fall collectors (EDCs) were used for passive sampling of settling airborne dust in 11 stable sections from six swine farms. Extraction, plating, identification, and enumeration of cultivable S. aureus and LA-MRSA from the EDCs were performed after storage for 0-30 days postsampling. The survival of S. aureus was measured in 196 dust samples from all farms, and data were used to estimate the decay constant λ according to a model for exponential decay: N(t) = N0 × e-λt. The number of S. aureus colonies was up to 600-fold higher than the number of LA-MRSA colonies on MRSA selective agar. The data showed a good fit to the model (λ = 0.13, r2 = 0.86) even with a large difference in initial concentrations of S. aureus between stables. The loads of S. aureus and LA-MRSA in the dust were significantly reduced by storage time, and the half-life was 5 days for both S. aureus and LA-MRSA. In dust samples with high initial concentrations, LA-MRSA and S. aureus could still be cultivated 30 days after sampling. On all farms MRSA isolates belonged to the clonal complex (CC) 398, and at one farm some isolates also belonged to CC30. A screening for other Staphylococcus species in the farm dust revealed 13 different species numerically dominated by Staphylococcus equorum. Based on the exponential decay model, S. equorum had a half-life of 4 days. In conclusion, the presence of MRSA in airborne dust from five of six farms indicates that dust might be an important vehicle for transmission of LA-MRSA. LA-MRSA and S. aureus was found to survive well in farm dust with half-lives of 5 days, and dependent on the initial concentration they could be found in farm dust for weeks. The 99.9% die-off rate was 66 days for LA-MRSA. Thus, farm dust can pose an exposure risk for humans in the farm environment, but also when transported to other environments. On the other hand, the risk will decrease by time. These results provide important knowledge to diminish spread from farm environments to other environments on, e.g., tools or clothing, and in relation to cleaning of emptied LA-MRSA-positive stables.

摘要

尘埃被怀疑是猪与猪农及其家庭之间传播耐甲氧西林金黄色葡萄球菌(LA-MRSA)的重要因素。本研究旨在确定猪场尘埃中金黄色葡萄球菌和 LA-MRSA 的衰减率。静电尘埃沉降收集器(EDC)用于从 6 个猪场的 11 个稳定部分中被动采集沉降空气中的尘埃。在采样后 0-30 天内,从 EDC 中提取、平板培养、鉴定和计数可培养的金黄色葡萄球菌和 LA-MRSA。对所有农场的 196 个尘埃样本进行了金黄色葡萄球菌存活能力的测量,并根据指数衰减模型来估计衰减常数 λ:N(t) = N0 × e-λt。在 MRSA 选择性琼脂上,金黄色葡萄球菌的菌落数量比 LA-MRSA 高多达 600 倍。数据显示,即使在稳定器之间金黄色葡萄球菌初始浓度存在较大差异的情况下,该模型(λ=0.13,r2=0.86)也具有很好的拟合度。尘埃中金黄色葡萄球菌和 LA-MRSA 的负荷随储存时间的延长而显著降低,金黄色葡萄球菌和 LA-MRSA 的半衰期均为 5 天。在初始浓度较高的尘埃样本中,采样后 30 天仍可培养 LA-MRSA 和金黄色葡萄球菌。在所有农场中,MRSA 分离株均属于克隆复合体(CC)398,在一个农场中,一些分离株也属于 CC30。对农场尘埃中其他葡萄球菌种的筛选显示,13 种不同的种在数量上占主导地位,其中以马胃葡萄球菌为主。基于指数衰减模型,马胃葡萄球菌的半衰期为 4 天。总之,来自六个猪场中的五个猪场的空气中尘埃中存在耐甲氧西林金黄色葡萄球菌表明,尘埃可能是传播 LA-MRSA 的重要媒介。在猪场尘埃中,LA-MRSA 和金黄色葡萄球菌的存活能力良好,半衰期为 5 天,并且取决于初始浓度,它们可以在猪场尘埃中存在数周。LA-MRSA 的 99.9%消亡率为 66 天。因此,农场尘埃可能会对农场环境中的人类构成暴露风险,但当尘埃传播到其他环境(例如工具或衣物)时,风险也会降低。另一方面,随着时间的推移,风险会降低。这些结果为减少从农场环境传播到其他环境(例如工具或衣物)以及与清空 LA-MRSA 阳性猪舍的清洁相关的风险提供了重要的知识。

https://cdn.ncbi.nlm.nih.gov/pmc/blobs/fec8/6788576/ba9bbdcbd5f8/wxx10801.jpg

相似文献

1
Survival of LA-MRSA in Dust from Swine Farms.
Ann Work Expo Health. 2018 Feb 13;62(2):147-156. doi: 10.1093/annweh/wxx108.
3
Livestock-associated Staphylococcus aureus on Polish pig farms.
PLoS One. 2017 Feb 2;12(2):e0170745. doi: 10.1371/journal.pone.0170745. eCollection 2017.
5
Measurement of dust-borne MRSA in pig farms using different approaches.
J Appl Microbiol. 2019 May;126(5):1580-1593. doi: 10.1111/jam.14198. Epub 2019 Mar 19.
7
Airborne MRSA and Total Staphylococcus aureus as Associated With Particles of Different Sizes on Pig Farms.
Ann Work Expo Health. 2018 Oct 15;62(8):966-977. doi: 10.1093/annweh/wxy065.

引用本文的文献

2
Resistomes from oxytetracycline-treated pigs are readily transferred to untreated pen mates.
Anim Microbiome. 2024 Nov 22;6(1):70. doi: 10.1186/s42523-024-00356-x.
3
Spread of livestock-associated methicillin-resistant in poultry and its risks to public health: A comprehensive review.
Open Vet J. 2024 Sep;14(9):2116-2128. doi: 10.5455/OVJ.2024.v14.i9.1. Epub 2024 Sep 30.
4
Safety Evaluation of an Intranasally Applied Cocktail of Strains in Pigs.
Animals (Basel). 2023 Nov 8;13(22):3442. doi: 10.3390/ani13223442.
5
Antimicrobial susceptibility of staphylococci from bovine milk samples in routine microbiological mastitis analysis in Finland.
Front Vet Sci. 2023 Aug 17;10:1235417. doi: 10.3389/fvets.2023.1235417. eCollection 2023.
7
Colonization of Extramammary Sites with Mastitis-Associated Strains in Dairy Goats.
Pathogens. 2023 Mar 26;12(4):515. doi: 10.3390/pathogens12040515.
9
A review of new emerging livestock-associated methicillin-resistant from pig farms.
Vet World. 2023 Jan;16(1):46-58. doi: 10.14202/vetworld.2023.46-58. Epub 2023 Jan 10.

本文引用的文献

1
Airborne Microorganisms From Livestock Production Systems and Their Relation to Dust.
Crit Rev Environ Sci Technol. 2014 Apr 16;44(10):1071-1128. doi: 10.1080/10643389.2012.746064. eCollection 2014.
2
Transmission of Methicillin-Resistant Staphylococcus aureus to Human Volunteers Visiting a Swine Farm.
Appl Environ Microbiol. 2017 Nov 16;83(23). doi: 10.1128/AEM.01489-17. Print 2017 Dec 1.
3
Horses in Denmark Are a Reservoir of Diverse Clones of Methicillin-Resistant and -Susceptible .
Front Microbiol. 2017 Apr 3;8:543. doi: 10.3389/fmicb.2017.00543. eCollection 2017.
4
Waste Workers' Exposure to Airborne Fungal and Bacterial Species in the Truck Cab and During Waste Collection.
Ann Occup Hyg. 2016 Jul;60(6):651-68. doi: 10.1093/annhyg/mew021. Epub 2016 Apr 20.
6
In the centre of an epidemic: Fifteen years of LA-MRSA CC398 at the University Hospital Münster.
Vet Microbiol. 2017 Feb;200:19-24. doi: 10.1016/j.vetmic.2016.01.021. Epub 2016 Feb 1.
9
Analysis of Transmission of MRSA and ESBL-E among Pigs and Farm Personnel.
PLoS One. 2015 Sep 30;10(9):e0138173. doi: 10.1371/journal.pone.0138173. eCollection 2015.
10
Livestock-associated MRSA in household members of pig farmers: transmission and dynamics of carriage, a prospective cohort study.
PLoS One. 2015 May 18;10(5):e0127190. doi: 10.1371/journal.pone.0127190. eCollection 2015.

文献AI研究员

20分钟写一篇综述,助力文献阅读效率提升50倍。

立即体验

用中文搜PubMed

大模型驱动的PubMed中文搜索引擎

马上搜索

文档翻译

学术文献翻译模型,支持多种主流文档格式。

立即体验