Ivanov Milan, Vajic Una-Jovana, Mihailovic-Stanojevic Nevena, Miloradovic Zoran, Jovovic Djurdjica, Grujic-Milanovic Jelica, Karanovic Danijela, Dekanski Dragana
Department of Cardiovascular Physiology, Institute for Medical Research, University of Belgrade, Dr Subotića 4, P. O. Box 102, Belgrade, Serbia.
Biomedical Research, R & D Institute, Galenika a.d., Pasterova 2, Belgrade, Serbia.
EXCLI J. 2018 Jan 4;17:29-44. doi: 10.17179/excli2017-1002. eCollection 2018.
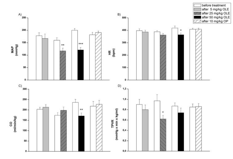
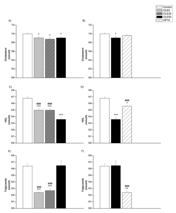
Haemodynamic alterations in carotid and renal arteries are associated with the severity of target organ damage in patients with hypertension. Dietary habits, such as the Mediterranean diet, regulate blood pressure and oxidative stress, thus reduce the mortality rate due to cardiovascular diseases. In this study, our aim was to evaluate the reducing activity, antioxidant capacity and metal chelating ability of standardized L. leaf extract (OLE), and to test its (5, 25, 50 mg/kg) acute effects, as well as oleuropein's (OP, 10 mg/kg) on oxidative stress, carotid, renal and systemic haemodynamic parameters (blood pressure, heart rate, cardiac output, peripheral resistance) in spontaneously hypertensive rats (SHR). OLE has a higher antioxidative capacity than BHT, higher reducing ability than vitamin C, and 23 times lower capacity for metal ion chelation than EDTA. All three doses of OLE, and OP, improved oxidative stress in SHR. OLE5 improved carotid and renal haemodynamics, without significant effects on systemic haemodynamics. Two different mechanisms of antihypertensive responses to OLE were observed, OLE25 was most effective in reducing cardiovascular risks by improving systemic and regional (carotid and renal) haemodynamics, peripheral and regional vascular resistance. OLE50 causes the improvement of blood pressure and cardiac performances, but tends to retain elevated vascular resistance, therefore, reducing the inflow of blood into the brain and kidneys of the SHR. The OP did not alter systemic or regional haemodynamics, suggesting others constituents responsible for changes of cardiac function, as well as carotid and renal haemodynamics in response to OLE50.
高血压患者颈动脉和肾动脉的血流动力学改变与靶器官损害的严重程度相关。饮食习惯,如地中海饮食,可调节血压和氧化应激,从而降低心血管疾病导致的死亡率。在本研究中,我们的目的是评估标准化油橄榄叶提取物(OLE)的还原活性、抗氧化能力和金属螯合能力,并测试其(5、25、50mg/kg)对自发性高血压大鼠(SHR)氧化应激、颈动脉、肾和全身血流动力学参数(血压、心率、心输出量、外周阻力)的急性影响,以及橄榄苦苷(OP,10mg/kg)的影响。OLE的抗氧化能力高于丁基羟基甲苯(BHT),还原能力高于维生素C,金属离子螯合能力比乙二胺四乙酸(EDTA)低23倍。所有三种剂量的OLE和OP均改善了SHR的氧化应激。OLE5改善了颈动脉和肾血流动力学,对全身血流动力学无显著影响。观察到OLE降压反应的两种不同机制,OLE25通过改善全身和局部(颈动脉和肾)血流动力学、外周和局部血管阻力,在降低心血管风险方面最有效。OLE50可改善血压和心脏功能,但倾向于维持升高的血管阻力,因此减少了进入SHR脑和肾的血流量。OP未改变全身或局部血流动力学,提示其他成分可导致心脏功能以及对OLE50反应时颈动脉和肾血流动力学的变化。