School of Environmental Science and Engineering, Chang'an University, Xi'an 710064, China.
Key Laboratory of Subsurface Hydrology and Ecological Effect in Arid Regions, Ministry of Education, Xi'an 710064, China.
Biomed Res Int. 2017;2017:1089696. doi: 10.1155/2017/1089696. Epub 2017 Dec 13.
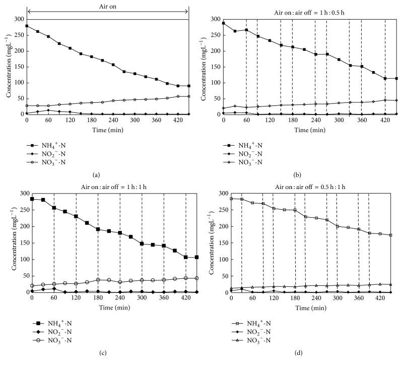
The start-up and performance of the completely autotrophic nitrogen removal via nitrite (CANON) process were examined in a sequencing batch reactor (SBR) with intermittent aeration. Initially, partial nitrification was established, and then the DO concentration was lowered further, surplus water in the SBR with high nitrite was replaced with tap water, and continuous aeration mode was turned into intermittent aeration mode, while the removal of total nitrogen was still weak. However, the total nitrogen (TN) removal efficiency and nitrogen removal loading reached 83.07% and 0.422 kgN/(m·d), respectively, 14 days after inoculating 0.15 g of CANON biofilm biomass into the SBR. The aggregates formed in SBR were the mixture of activated sludge and granular sludge; the volume ratio of floc and granular sludge was 7 : 3. DNA analysis showed that Planctomycetes-like anammox bacteria and -like aerobic ammonium oxidization bacteria were dominant bacteria in the reactor. The influence of aeration strategies on CANON process was investigated using batch tests. The result showed that the strategy of alternating aeration (1 h) and nonaeration (1 h) was optimum, which can obtain almost the same TN removal efficiency as continuous aeration while reducing the energy consumption, inhibiting the activity of NOB, and enhancing the activity of AAOB.
采用序批式反应器(SBR)进行间歇性曝气,考察了亚硝酸盐完全自养脱氮(CANON)工艺的启动和运行情况。首先实现了部分硝化,然后进一步降低 DO 浓度,用自来水替代 SBR 中高亚硝酸盐的剩余水,并将连续曝气模式转变为间歇性曝气模式,而总氮的去除仍然较弱。然而,在向 SBR 中接种 0.15 g CANON 生物膜生物量 14 天后,总氮(TN)去除效率和氮去除负荷分别达到 83.07%和 0.422 kgN/(m·d)。SBR 中形成的聚集体是活性污泥和颗粒污泥的混合物;絮体和颗粒污泥的体积比为 7∶3。DNA 分析表明,拟杆菌门类似厌氧氨氧化菌和好氧氨氧化菌是反应器中的优势菌。通过批式试验考察了曝气策略对 CANON 工艺的影响。结果表明,交替曝气(1 h)和非曝气(1 h)的策略是最佳的,它可以在降低能耗的同时获得与连续曝气几乎相同的 TN 去除效率,抑制 NOB 的活性,增强 AAOB 的活性。