Suppr超能文献

反式-11,反式-13共轭亚油酸在肝脂肪变性发展中的作用

Implication of trans-11,trans-13 conjugated linoleic acid in the development of hepatic steatosis.

作者信息

Pachikian Barbara D, Druart Céline, Catry Emilie, Bindels Laure B, Neyrinck Audrey M, Larondelle Yvan, Cani Patrice D, Delzenne Nathalie M

机构信息

Metabolism and Nutrition Research Group, Louvain Drug Research Institute, Université catholique de Louvain, Brussels, Belgium.

Institut des Sciences de la Vie, Université catholique de Louvain, Louvain-la-Neuve, Belgium.

出版信息

PLoS One. 2018 Feb 1;13(2):e0192447. doi: 10.1371/journal.pone.0192447. eCollection 2018.

Abstract

SCOPE

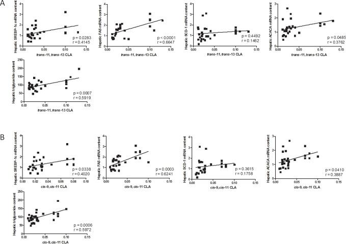
Conjugated linoleic acids are linoleic acid isomers found in the diet that can also be produced through bacterial metabolism of polyunsaturated fatty acids. Our objective was to evaluate the contribution of fatty acid metabolites produced from polyunsaturated fatty acids by the gut microbiota in vivo to regulation of hepatic lipid metabolism and steatosis.

METHODS AND RESULTS

In mice with depleted n-3 polyunsaturated fatty acids, we observed an accumulation of trans-11,trans-13 CLA and cis-9,cis-11 conjugated linoleic acids in the liver tissue that were associated with an increased triglyceride content and expression of lipogenic genes. We used an in vitro model to evaluate the impact of these two conjugated linoleic acids on hepatic lipid metabolism. In HepG2 cells, we observed that only trans-11,trans-13 conjugated linoleic acids recapitulated triglyceride accumulation and increased lipogenic gene expression, which is a phenomenon that may implicate the nuclear factors sterol regulatory element binding protein 1c (SREBP-1c) and carbohydrate-responsive element-binding protein (ChREBP).

CONCLUSION

The trans-11,trans-13 conjugated linoleic acids can stimulate hepatic lipogenesis, which supports the conclusion that gut microbiota and related metabolites should be considered in the treatment of non-alcoholic liver disease.

摘要

范围

共轭亚油酸是饮食中发现的亚油酸异构体,也可通过多不饱和脂肪酸的细菌代谢产生。我们的目的是评估肠道微生物群在体内由多不饱和脂肪酸产生的脂肪酸代谢产物对肝脏脂质代谢和脂肪变性调节的贡献。

方法与结果

在n-3多不饱和脂肪酸缺乏的小鼠中,我们观察到肝脏组织中反式-11,反式-13共轭亚油酸和顺式-9,顺式-11共轭亚油酸的积累,这与甘油三酯含量增加和脂肪生成基因的表达有关。我们使用体外模型评估这两种共轭亚油酸对肝脏脂质代谢的影响。在HepG2细胞中,我们观察到只有反式-11,反式-13共轭亚油酸重现了甘油三酯积累并增加了脂肪生成基因的表达,这一现象可能涉及核因子固醇调节元件结合蛋白1c(SREBP-1c)和碳水化合物反应元件结合蛋白(ChREBP)。

结论

反式-11,反式-13共轭亚油酸可刺激肝脏脂肪生成,这支持了在非酒精性肝病治疗中应考虑肠道微生物群及相关代谢产物的结论。

https://cdn.ncbi.nlm.nih.gov/pmc/blobs/e264/5794163/5d19e58561e9/pone.0192447.g001.jpg

文献AI研究员

20分钟写一篇综述,助力文献阅读效率提升50倍。

立即体验

用中文搜PubMed

大模型驱动的PubMed中文搜索引擎

马上搜索

文档翻译

学术文献翻译模型,支持多种主流文档格式。

立即体验