Suppr超能文献

利用叶绿素仪读数对夏玉米氮素营养指数进行简易评估

Simple Assessment of Nitrogen Nutrition Index in Summer Maize by Using Chlorophyll Meter Readings.

作者信息

Zhao Ben, Ata-Ul-Karim Syed Tahir, Liu Zhandong, Zhang Jiyang, Xiao Junfu, Liu Zugui, Qin Anzhen, Ning Dongfeng, Yang Qiuxia, Zhang Yonghui, Duan Aiwang

机构信息

Key Laboratory of Crop Water Use and Regulation, Ministry of Agriculture, Farmland Irrigation Research Institute, Chinese Academy of Agricultural Sciences, Xinxiang, China.

Key Laboratory of Soil Environment and Pollution Remediation, Institute of Soil Science, Chinese Academy of Sciences, Nanjing, China.

出版信息

Front Plant Sci. 2018 Jan 19;9:11. doi: 10.3389/fpls.2018.00011. eCollection 2018.

Abstract

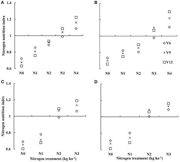
Rapid and non-destructive diagnostic tools to accurately assess crop nitrogen nutrition index (NNI) are imperative for improving crop nitrogen (N) diagnosis and sustaining crop production. This study was aimed to develop the relationships among NNI, leaf N gradient, chlorophyll meter (CM) readings gradient, and positional differences chlorophyll meter index [PDCMI, the ratio of CM readings between different leaf layers (LLs) of crop canopy] and to validate the accuracy and stability of these relationships across the different LLs, years, sites, and cultivars. Six multi-N rates (0-320 kg ha) field experiments were conducted with four summer maize cultivars (Zhengdan958, Denghai605, Xundan20, and Denghai661) at two different sites located in China. Six summer maize plants per plot were harvested at each sampling stage to assess NNI, leaf N concentration and CM readings of different LLs during the vegetative growth period. The results showed that the leaf N gradient, CM readings gradient and PDCMI of different LLs decreased, while the NNI values increased with increasing N supply. The leaf N gradient and CM readings gradient increased gradually from top to bottom of the canopy and CM readings of the bottom LL were more sensitive to changes in plant N concentration. The significantly positive relationship between NNI and CM readings of different LLs (1 to 3) was observed, yet these relationships varied across the years. In contrast, the relationships between NNI and PDCMI of different LLs (1 to 3) were significantly negative. The strongest relationship between PDCMI and NNI which was stable across the cultivars and years was observed for PDCMI1-3 (NNI = -5.74 × PDCMI1-3+1.5, = 0.76). Additionally, the models developed in this study were validated with the data acquired from two independent experiments to assess their accuracy of prediction. The root mean square error value of 0.1 indicated that the most accurate and robust relationship was observed between PDCMI1-3 and NNI. The projected results would help to develop a simple, non-destructive and reliable approach to accurately assess the crop N status for precisely managing N application during the growth period of summer maize crop.

摘要

快速且无损的诊断工具对于准确评估作物氮营养指数(NNI)至关重要,这有助于改进作物氮素诊断并维持作物产量。本研究旨在建立NNI、叶片氮梯度、叶绿素仪(CM)读数梯度以及位置差异叶绿素仪指数[PDCMI,即作物冠层不同叶层(LL)之间CM读数的比值]之间的关系,并验证这些关系在不同叶层、年份、地点和品种间的准确性和稳定性。在中国的两个不同地点,对四个夏玉米品种(郑单958、登海605、浚单20和登海661)进行了六个不同施氮量(0 - 320 kg·ha)的田间试验。在每个采样阶段,每个小区收获六株夏玉米植株,以评估营养生长阶段不同叶层的NNI、叶片氮浓度和CM读数。结果表明,随着氮供应增加,不同叶层的叶片氮梯度、CM读数梯度和PDCMI降低,而NNI值增加。叶片氮梯度和CM读数梯度从冠层顶部到底部逐渐增加,底部叶层的CM读数对植株氮浓度变化更敏感。观察到不同叶层(1至3)的NNI与CM读数之间存在显著正相关关系,但这些关系在不同年份有所不同。相反,不同叶层(1至3)的NNI与PDCMI之间的关系显著为负。对于PDCMI1 - 3,观察到其与NNI之间的最强关系,且在不同品种和年份间稳定(NNI = -5.74×PDCMI1 - 3 + 1.5, = 0.76)。此外,本研究中建立的模型通过从两个独立试验获取的数据进行了验证,以评估其预测准确性。均方根误差值为0.1表明,在PDCMI1 - 3和NNI之间观察到了最准确和稳健的关系。预测结果将有助于开发一种简单、无损且可靠的方法,以准确评估夏玉米作物生长期间的作物氮素状况,从而精确管理氮肥施用。

https://cdn.ncbi.nlm.nih.gov/pmc/blobs/0a8a/5780453/8d1126482814/fpls-09-00011-g0001.jpg

文献AI研究员

20分钟写一篇综述,助力文献阅读效率提升50倍。

立即体验

用中文搜PubMed

大模型驱动的PubMed中文搜索引擎

马上搜索

文档翻译

学术文献翻译模型,支持多种主流文档格式。

立即体验