Suppr超能文献

氯菊酯在ZH-14中的动力学及新型降解途径

Kinetics and Novel Degradation Pathway of Permethrin in ZH-14.

作者信息

Zhan Hui, Wang Huishan, Liao Lisheng, Feng Yanmei, Fan Xinghui, Zhang Lianhui, Chen Shaohua

机构信息

State Key Laboratory for Conservation and Utilization of Subtropical Agro-bioresources, Guangdong Province Key Laboratory of Microbial Signals and Disease Control, Integrative Microbiology Research Centre, South China Agricultural University, Guangzhou, China.

出版信息

Front Microbiol. 2018 Feb 2;9:98. doi: 10.3389/fmicb.2018.00098. eCollection 2018.

Abstract

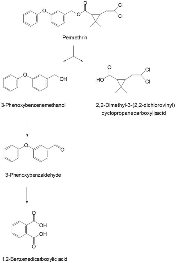
Persistent use of permethrin has resulted in its ubiquitous presence as a contaminant in surface streams and soils, yet little is known about the kinetics and metabolic behaviors of this pesticide. In this study, a novel bacterial strain ZH-14 utilizing permethrin via partial hydrolysis pathways was isolated from sewage sludge. Response surface methodology based on Box-Behnken design of cultural conditions was used for optimization resulting in 100% degradation of permethrin (50 mg·L) within 72 h. Strain ZH-14 degraded permethrin up to a concentration of 800 mg·L. Biodegradation kinetics analysis indicated that permethrin degradation by this strain was concentration dependent, with a maximum specific degradation rate, half-saturation constant, and inhibition constant of 0.0454 h, 4.7912 mg·L, and 367.2165 mg·L, respectively. High-performance liquid chromatography and gas chromatography-mass spectrometry identified 3-phenoxybenzenemethanol and 3-phenoxybenzaldehyde as the major intermediate metabolites of the permethrin degradation pathway. Bioaugmentation of permethrin-contaminated soils with strain ZH-14 significantly enhanced degradation, and over 85% of permethrin was degraded within 9 days with the degradation process following the first-order kinetic model. In addition to degradation of permethrin, strain ZH-14 was capable of degrading a large range of synthetic pyrethroids such as deltamethrin, bifenthrin, fenpropathrin, cyhalothrin, and beta-cypermethrin which are also widely used pesticides with environmental contamination problems, suggesting the promising potentials of ZH-14 in bioremediation of pyrethroid-contaminated terrestrial and aquatic environments.

摘要

长期使用氯菊酯导致其作为污染物普遍存在于地表溪流和土壤中,然而对于这种农药的动力学和代谢行为却知之甚少。在本研究中,从污水污泥中分离出了一株通过部分水解途径利用氯菊酯的新型菌株ZH-14。基于Box-Behnken设计的培养条件响应面法用于优化,使得氯菊酯(50 mg·L)在72小时内100%降解。菌株ZH-14能够降解高达800 mg·L浓度的氯菊酯。生物降解动力学分析表明,该菌株对氯菊酯的降解具有浓度依赖性,最大比降解速率、半饱和常数和抑制常数分别为0.0454 h、4.7912 mg·L和367.2165 mg·L。高效液相色谱和气相色谱-质谱联用鉴定出3-苯氧基苯甲醇和3-苯氧基苯甲醛是氯菊酯降解途径的主要中间代谢产物。用菌株ZH-14对受氯菊酯污染的土壤进行生物强化显著增强了降解效果,9天内超过85%的氯菊酯被降解,降解过程符合一级动力学模型。除了降解氯菊酯外,菌株ZH-14还能够降解多种合成拟除虫菊酯,如溴氰菊酯、联苯菊酯、甲氰菊酯、氯氟氰菊酯和高效氯氰菊酯,这些也是存在环境污染问题的广泛使用的农药,这表明ZH-14在拟除虫菊酯污染的陆地和水生环境生物修复方面具有广阔的应用潜力。

https://cdn.ncbi.nlm.nih.gov/pmc/blobs/0204/5801723/dd9172d231ea/fmicb-09-00098-g0001.jpg

文献检索

告别复杂PubMed语法,用中文像聊天一样搜索,搜遍4000万医学文献。AI智能推荐,让科研检索更轻松。

立即免费搜索

文件翻译

保留排版,准确专业,支持PDF/Word/PPT等文件格式,支持 12+语言互译。

免费翻译文档

深度研究

AI帮你快速写综述,25分钟生成高质量综述,智能提取关键信息,辅助科研写作。

立即免费体验