1 Department of Rheumatology, Luoyang Orthopedic Hospital of Henan Province, Luoyang, Henan, People's Republic of China.
2 Department of Respiratory and Critical Care Medicine, West China Hospital, West China School of Medicine, Sichuan University, Chengdu, Sichuan, People's Republic of China.
Chron Respir Dis. 2018 Nov;15(4):365-373. doi: 10.1177/1479972318757468. Epub 2018 Feb 27.
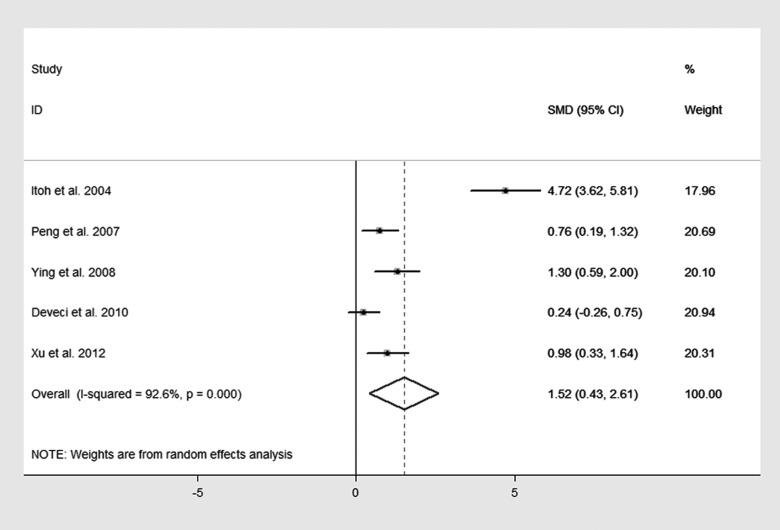
Ghrelin, an endogenous ligand for growth hormone secretagogue receptor, has been implicated in chronic obstructive pulmonary disease (COPD). Recently, several studies reported inconsistent levels of ghrelin in plasma/serum of COPD patients. This meta-analysis aims to determine the circulating level of ghrelin in COPD. Published case-control or cohort studies were retrieved from Pubmed and Embase databases. Pooled standardized mean difference (SMD) with 95% confidence interval (CI) was calculated in a random-effects model. Nine studies involving 515 subjects were included. Pooled effect size showed that circulating ghrelin levels were significantly enhanced in COPD patients compared with those in controls (SMD: 0.83, 95% CI: 0.04 to 1.62, p = 0.039). Noticeably, five studies stratified for body mass index in COPD group and we further found ghrelin levels were significantly higher in underweight COPD patients than those in normal weight cases (SMD: 1.52, 95% CI: 0.43 to 2.61, p = 0.006). However, no significant difference regarding ghrelin levels was indicated between normal weight COPD and controls (SMD: 0.64, 95% CI: -0.36 to 1.63, p = 0.210). In this meta-analysis, circulating level of ghrelin is significantly elevated in patients with COPD, especially in those underweight, indicating supplement with exogenous ghrelin could be a therapeutic choice for underweight COPD patients.
胃饥饿素是生长激素促分泌素受体的内源性配体,与慢性阻塞性肺疾病(COPD)有关。最近,几项研究报告了 COPD 患者血浆/血清中胃饥饿素水平不一致。本荟萃分析旨在确定 COPD 患者循环胃饥饿素水平。从 Pubmed 和 Embase 数据库中检索到已发表的病例对照或队列研究。采用随机效应模型计算标准化均数差值(SMD)及其 95%置信区间(CI)。共纳入 9 项涉及 515 例患者的研究。汇总效应大小表明,与对照组相比,COPD 患者的循环胃饥饿素水平显著升高(SMD:0.83,95%CI:0.04 至 1.62,p = 0.039)。值得注意的是,有 5 项研究对 COPD 组进行了体重指数分层,我们进一步发现,与正常体重患者相比,体重不足的 COPD 患者的胃饥饿素水平显著升高(SMD:1.52,95%CI:0.43 至 2.61,p = 0.006)。然而,正常体重 COPD 患者与对照组之间的胃饥饿素水平无显著差异(SMD:0.64,95%CI:-0.36 至 1.63,p = 0.210)。在本荟萃分析中,COPD 患者的循环胃饥饿素水平显著升高,尤其是体重不足的患者,表明补充外源性胃饥饿素可能是体重不足 COPD 患者的一种治疗选择。