Suppr超能文献

对患有复杂健康问题的老年患者进行老年康复综合护理路径的经济评估。

An economic evaluation of an integrated care pathway in geriatric rehabilitation for older patients with complex health problems.

作者信息

Everink Irma H J, van Haastregt Jolanda C M, Evers Silvia M A A, Kempen Gertrudis I J M, Schols Jos M G A

机构信息

Department of Health Services Research and Care and Public Health Research Institute (CAPHRI), Faculty of Health, Medicine and Life Sciences, Maastricht University, Maastricht, The Netherlands.

Trimbos Institute, Netherlands Institute of Mental Health and Addiction, Centre for Economic Evaluations, Utrecht, the Netherlands.

出版信息

PLoS One. 2018 Feb 28;13(2):e0191851. doi: 10.1371/journal.pone.0191851. eCollection 2018.

Abstract

BACKGROUND

Integrated care pathways which cover multiple care settings are increasingly used as a tool to structure care, enhance coordination and improve transitions between care settings. However, little is known about their economic impact. The objective of this study is to determine the cost-effectiveness and cost-utility of an integrated care pathway designed for patients with complex health problems transferring from the hospital, a geriatric rehabilitation facility and primary care.

METHODS

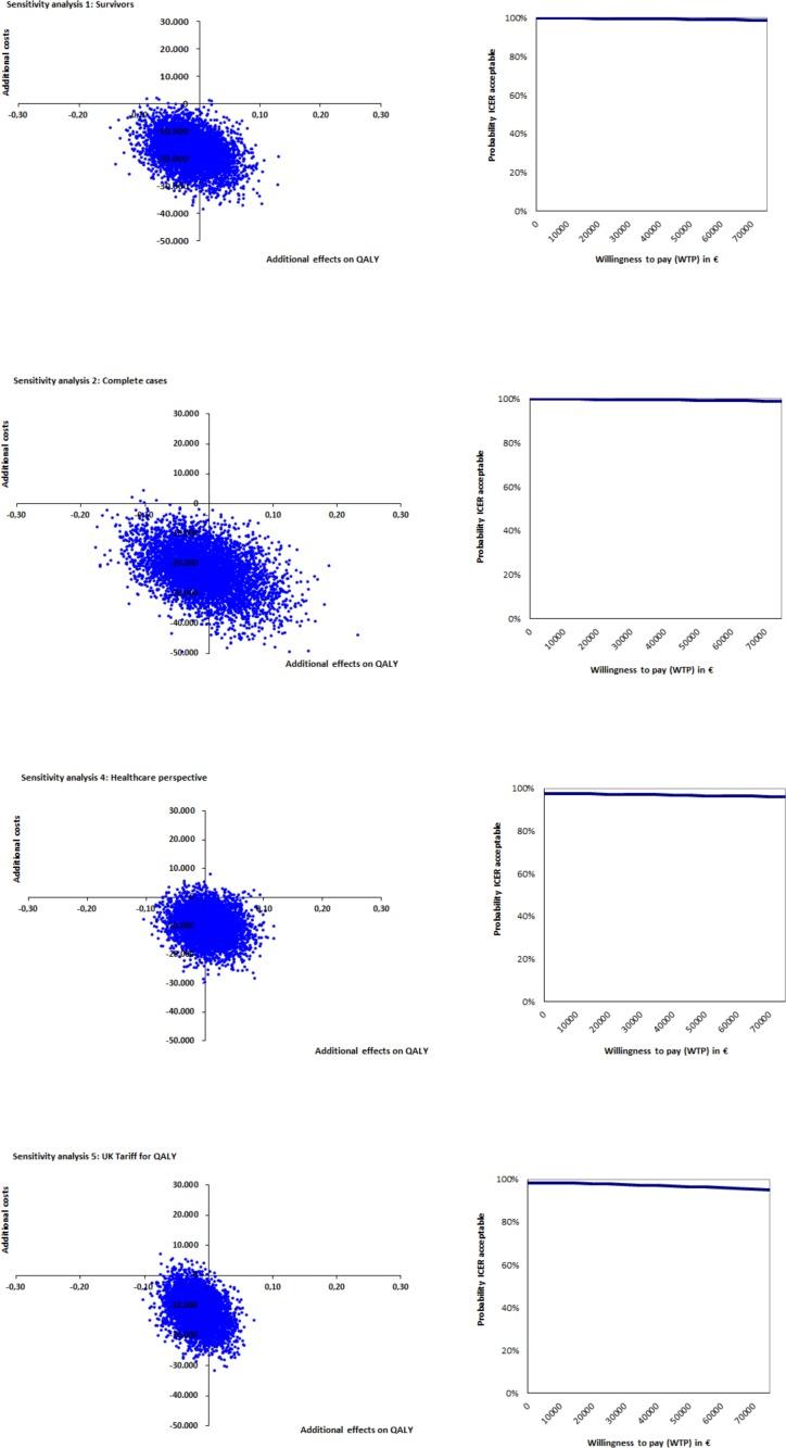
This economic evaluation was performed from a societal perspective alongside a prospective cohort study with two cohorts of patients. The care as usual cohort was included before implementation of the pathway and the care pathway cohort after implementation of the pathway. Both cohorts were measured over nine months, during which intervention costs, healthcare costs, patient and family costs were identified. The outcome measures were dependence in activities of daily living (measured with the KATZ-15) and quality adjusted life years (EQ-5D-3L). Costs and effects were bootstrapped and various sensitivity analyses were performed to assess robustness of the results.

RESULTS

After nine months, the average societal costs were significantly lower for patients in the care pathway cohort (€50,791) versus patients in the care as usual cohort (€62,170; CI = -22,090, -988). Patients in the care pathway cohort had better scores on the KATZ-15 (1.04), indicating cost-effectiveness. No significant differences were found between the two groups on QALY scores (0.01).

CONCLUSIONS

The results of this study indicate that the integrated care pathway is a cost-effective intervention. Therefore, dissemination of the integrated care pathway on a wider scale could be considered. This would provide us the opportunity to confirm the findings of our study in larger economic evaluations. When looking at QALYs, no effects were found. Therefore, it is also recommended to explore if therapy in geriatric rehabilitation could also pay attention to other quality of life-related domains, such as mood and social participation.

摘要

背景

涵盖多种护理环境的综合护理路径越来越多地被用作一种构建护理、加强协调并改善护理环境之间过渡的工具。然而,关于其经济影响知之甚少。本研究的目的是确定为从医院、老年康复机构和初级护理机构转出的患有复杂健康问题的患者设计的综合护理路径的成本效益和成本效用。

方法

本经济评估是从社会角度进行的,同时进行了一项前瞻性队列研究,有两组患者。常规护理队列在路径实施前纳入,护理路径队列在路径实施后纳入。两组均进行了九个月的测量,在此期间确定了干预成本、医疗保健成本、患者和家庭成本。结果指标是日常生活活动能力依赖程度(用KATZ-15量表测量)和质量调整生命年(EQ-5D-3L)。对成本和效果进行了自助法抽样,并进行了各种敏感性分析以评估结果的稳健性。

结果

九个月后,护理路径队列患者的平均社会成本(50,791欧元)显著低于常规护理队列患者(62,170欧元;置信区间 = -22,090,-988)。护理路径队列患者在KATZ-15量表上得分更高(1.04),表明具有成本效益。两组在QALY得分上没有显著差异(0.01)。

结论

本研究结果表明,综合护理路径是一种具有成本效益的干预措施。因此,可以考虑更广泛地推广综合护理路径。这将使我们有机会在更大规模的经济评估中证实我们的研究结果。从QALY来看,未发现效果。因此,还建议探讨老年康复治疗是否也可以关注其他与生活质量相关的领域,如情绪和社会参与。

https://cdn.ncbi.nlm.nih.gov/pmc/blobs/a713/5830039/e60c9fc38221/pone.0191851.g001.jpg

文献AI研究员

20分钟写一篇综述,助力文献阅读效率提升50倍。

立即体验

用中文搜PubMed

大模型驱动的PubMed中文搜索引擎

马上搜索

文档翻译

学术文献翻译模型,支持多种主流文档格式。

立即体验