Department of Social and Behavioral Sciences, Harvard T. H. Chan School of Public Health, 677 Huntington Avenue, Kresge 7th Floor, Boston, MA, 02115, USA.
Department of Global Health and Social Medicine, King's College London, Strand Campus, Strand, London, WC2R2LS, UK.
Int J Equity Health. 2018 Mar 6;17(1):31. doi: 10.1186/s12939-018-0741-0.
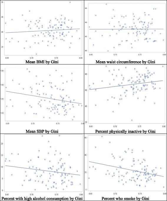
Chronic stress associated with high income inequality has been hypothesized to increase CVD risk and other adverse health outcomes. However, most evidence comes from high-income countries, and there is limited evidence on the link between income inequality and biomarkers of chronic stress and risk for CVD. This study examines how changes in income inequality over recent years relate to changes in CVD risk factors in South Africa, home to some of the highest levels of income inequality globally.
We linked longitudinal data from 9356 individuals interviewed in the 2008 and 2012 National Income Dynamics Study to district-level Gini coefficients estimated from census and survey data. We investigated whether subnational district income inequality was associated with several modifiable risk factors for cardiovascular disease (CVD) in South Africa, including body mass index (BMI), waist circumference, blood pressure, physical inactivity, smoking, and high alcohol consumption. We ran individual fixed-effects models to examine the association between changes in income inequality and changes in CVD risk factors over time. Linear models were used for continuous metabolic outcomes while conditional Poisson models were used to estimate risk ratios for dichotomous behavioral outcomes.
Both income inequality and prevalence of most CVD risk factors increased over the period of study. In longitudinal fixed-effects models, changes in district Gini coefficients were not significantly associated with changes in CVD risk factors.
Our findings do not support the hypothesis that subnational district income inequality is associated with CVD risk factors within the high-inequality setting of South Africa.
与高收入不平等相关的慢性压力被假设会增加心血管疾病(CVD)风险和其他不良健康结果。然而,大多数证据来自高收入国家,关于收入不平等与慢性压力的生物标志物和 CVD 风险之间的联系的证据有限。本研究检验了近年来收入不平等的变化如何与南非 CVD 风险因素的变化相关联,南非是全球收入不平等程度最高的国家之一。
我们将来自 9356 名个体的纵向数据与从人口普查和调查数据估计的地区级基尼系数联系起来,这些个体在 2008 年和 2012 年的国家收入动态研究中接受了采访。我们调查了次国家级地区收入不平等是否与南非几种可改变的心血管疾病(CVD)风险因素相关,包括体重指数(BMI)、腰围、血压、身体活动不足、吸烟和大量饮酒。我们运行个体固定效应模型来研究收入不平等变化与 CVD 风险因素随时间的变化之间的关联。线性模型用于连续代谢结果,而条件泊松模型用于估计二项式行为结果的风险比。
收入不平等和大多数 CVD 风险因素的患病率都在研究期间增加。在纵向固定效应模型中,地区基尼系数的变化与 CVD 风险因素的变化没有显著关联。
我们的研究结果不支持这样的假设,即次国家级地区收入不平等与南非高不平等环境中的 CVD 风险因素相关。