Suppr超能文献

小RNA RyhB是……中细胞色素表达的调节因子。

The Small RNA RyhB Is a Regulator of Cytochrome Expression in .

作者信息

Meibom Karin L, Cabello Elena M, Bernier-Latmani Rizlan

机构信息

Environmental Microbiology Laboratory, School of Architecture, Civil and Environmental Engineering, École Polytechnique Fédérale de Lausanne, Lausanne, Switzerland.

Bioinformatics and Biostatistics Core Facility, École Polytechnique Fédérale de Lausanne, Lausanne, Switzerland.

出版信息

Front Microbiol. 2018 Feb 21;9:268. doi: 10.3389/fmicb.2018.00268. eCollection 2018.

Abstract

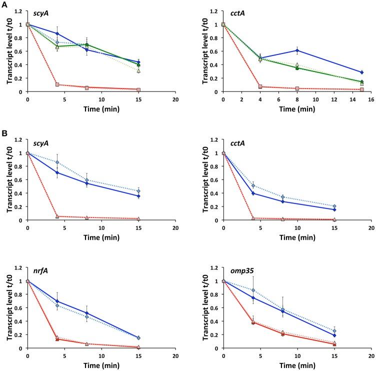
produces an extensive electron transfer network that results in metabolic flexibility. A large number of -type cytochromes are expressed by and these function as the fundamental electron transport chain proteins. Although several cytochromes have been well-characterized, little is known about how their expression is regulated. In this study, we investigate the role of the ferric uptake regulator (Fur) and the sRNA RyhB in regulation. Our results demonstrate that loss of Fur leads to diminished growth and an apparent decrease in heme-containing proteins. Remarkably, deleting the Fur-repressed gene almost completely reverses these physiological changes, indicating that the phenotypes resulting from loss of Fur are (at least partially) dependent on RyhB. RNA sequencing identified a number of possible RyhB repressed genes. A large fraction of these encode -type cytochromes, among them two of the most abundant periplasmic cytochromes CctA (also known as STC) and ScyA. We show that RyhB destabilizes the mRNA of four of its target genes, , and and this requires the presence of the RNA chaperone Hfq. Iron limitation decreases the expression of the RyhB target genes and and this regulation relies on the presence of both Fur and RyhB. Overall, this study suggests that controlling cytochrome expression is of importance to maintain iron homeostasis and that sRNAs molecules are important players in the regulation of fundamental processes in MR-1.

摘要

产生一个广泛的电子传递网络,从而实现代谢灵活性。大量的 - 型细胞色素由 表达,并且这些细胞色素作为基本的电子传递链蛋白发挥作用。尽管几种 细胞色素已得到充分表征,但关于它们的表达如何调控却知之甚少。在本研究中,我们调查了铁摄取调节蛋白(Fur)和小RNA RyhB在调控中的作用。我们的结果表明,Fur缺失导致生长减弱以及含血红素蛋白明显减少。值得注意的是,删除受Fur抑制的 基因几乎完全逆转了这些生理变化,这表明Fur缺失导致的表型(至少部分)依赖于RyhB。RNA测序鉴定出许多可能受RyhB抑制的基因。其中很大一部分编码 - 型细胞色素,包括两种最丰富的周质细胞色素CctA(也称为STC)和ScyA。我们表明,RyhB会使其四个靶基因 、 和 的mRNA不稳定,而这需要RNA伴侣蛋白Hfq的存在。铁限制会降低RyhB靶基因 和 的表达,并且这种调控依赖于Fur和RyhB的共同存在。总体而言,本研究表明控制细胞色素表达对于维持铁稳态很重要,并且小RNA分子是MR - 1基本过程调控中的重要参与者。

https://cdn.ncbi.nlm.nih.gov/pmc/blobs/30c4/5826389/8e16adfb3e39/fmicb-09-00268-g0001.jpg

相似文献

1
The Small RNA RyhB Is a Regulator of Cytochrome Expression in .
Front Microbiol. 2018 Feb 21;9:268. doi: 10.3389/fmicb.2018.00268. eCollection 2018.
2
The tricarboxylic acid cycle in Shewanella oneidensis is independent of Fur and RyhB control.
BMC Microbiol. 2010 Oct 16;10:264. doi: 10.1186/1471-2180-10-264.
3
Dissociation between Iron and Heme Biosyntheses Is Largely Accountable for Respiration Defects of Mutants.
Appl Environ Microbiol. 2018 Apr 2;84(8). doi: 10.1128/AEM.00039-18. Print 2018 Apr 15.
4
Regulation of Gene Expression in Shewanella oneidensis MR-1 during Electron Acceptor Limitation and Bacterial Nanowire Formation.
Appl Environ Microbiol. 2016 Aug 15;82(17):5428-43. doi: 10.1128/AEM.01615-16. Print 2016 Sep 1.
5
Identification of tandem duplicate regulatory small RNAs in Pseudomonas aeruginosa involved in iron homeostasis.
Proc Natl Acad Sci U S A. 2004 Jun 29;101(26):9792-7. doi: 10.1073/pnas.0403423101. Epub 2004 Jun 21.
6
Impact of Anaerobiosis on Expression of the Iron-Responsive Fur and RyhB Regulons.
mBio. 2015 Dec 15;6(6):e01947-15. doi: 10.1128/mBio.01947-15.
7
Improvement of the electron transfer rate in Shewanella oneidensis MR-1 using a tailored periplasmic protein composition.
Bioelectrochemistry. 2019 Oct;129:18-25. doi: 10.1016/j.bioelechem.2019.04.022. Epub 2019 Apr 30.
8
Construction of a null mutant and RNA-sequencing provide deeper global understanding of the Fur regulon.
PeerJ. 2017 Jul 13;5:e3461. doi: 10.7717/peerj.3461. eCollection 2017.
9
A small RNA regulates the expression of genes involved in iron metabolism in Escherichia coli.
Proc Natl Acad Sci U S A. 2002 Apr 2;99(7):4620-5. doi: 10.1073/pnas.032066599. Epub 2002 Mar 26.
10
Two sRNA RyhB homologs from Yersinia pestis biovar microtus expressed in vivo have differential Hfq-dependent stability.
Res Microbiol. 2012 Jul;163(6-7):413-8. doi: 10.1016/j.resmic.2012.05.006. Epub 2012 May 29.

引用本文的文献

2
Pleiotropic Effects of Hfq on the Cytochrome Content and Pyomelanin Production in Shewanella oneidensis.
Appl Environ Microbiol. 2022 Sep 22;88(18):e0128922. doi: 10.1128/aem.01289-22. Epub 2022 Sep 8.
3
Recent Advances in the Siderophore Biology of .
Front Microbiol. 2022 Feb 17;13:823758. doi: 10.3389/fmicb.2022.823758. eCollection 2022.
4
Insight into the Effect of Small RNA on Mutacin IV in .
Indian J Microbiol. 2019 Dec;59(4):445-450. doi: 10.1007/s12088-019-00820-2. Epub 2019 Aug 28.
6
Proteome Response of a Metabolically Flexible Anoxygenic Phototroph to Fe(II) Oxidation.
Appl Environ Microbiol. 2018 Aug 1;84(16). doi: 10.1128/AEM.01166-18. Print 2018 Aug 15.

本文引用的文献

1
Integration of Bacterial Small RNAs in Regulatory Networks.
Annu Rev Biophys. 2017 May 22;46:131-148. doi: 10.1146/annurev-biophys-070816-034058.
2
IntaRNA 2.0: enhanced and customizable prediction of RNA-RNA interactions.
Nucleic Acids Res. 2017 Jul 3;45(W1):W435-W439. doi: 10.1093/nar/gkx279.
3
Regulation of Gene Expression in Shewanella oneidensis MR-1 during Electron Acceptor Limitation and Bacterial Nanowire Formation.
Appl Environ Microbiol. 2016 Aug 15;82(17):5428-43. doi: 10.1128/AEM.01615-16. Print 2016 Sep 1.
4
Hfq: the flexible RNA matchmaker.
Curr Opin Microbiol. 2016 Apr;30:133-138. doi: 10.1016/j.mib.2016.02.003. Epub 2016 Feb 22.
6
Impact of Anaerobiosis on Expression of the Iron-Responsive Fur and RyhB Regulons.
mBio. 2015 Dec 15;6(6):e01947-15. doi: 10.1128/mBio.01947-15.
9
Orchestrating high-throughput genomic analysis with Bioconductor.
Nat Methods. 2015 Feb;12(2):115-21. doi: 10.1038/nmeth.3252.
10
limma powers differential expression analyses for RNA-sequencing and microarray studies.
Nucleic Acids Res. 2015 Apr 20;43(7):e47. doi: 10.1093/nar/gkv007. Epub 2015 Jan 20.

文献AI研究员

20分钟写一篇综述,助力文献阅读效率提升50倍。

立即体验

用中文搜PubMed

大模型驱动的PubMed中文搜索引擎

马上搜索

文档翻译

学术文献翻译模型,支持多种主流文档格式。

立即体验