Rim Yeri Alice, Nam Yoojun, Park Narae, Jung Hyerin, Jang Yeonsue, Lee Jennifer, Ju Ji Hyeon
Catholic iPSC Research Center, College of Medicine, The Catholic University of Korea, Seoul 137-701, Republic of Korea.
Division of Rheumatology, Department of Internal Medicine, Seoul St. Mary's Hospital, Institute of Medical Science, College of Medicine, The Catholic University of Korea, Seoul 137-701, Republic of Korea.
Stem Cells Int. 2018 Jan 21;2018:9432616. doi: 10.1155/2018/9432616. eCollection 2018.
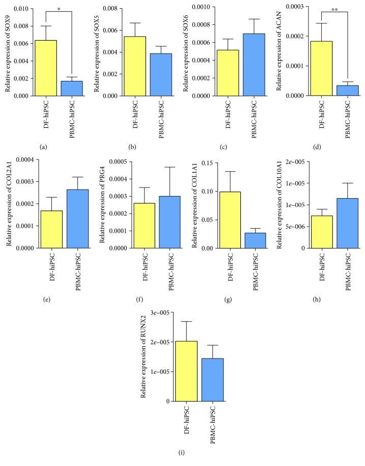
Scientists have tried to reprogram various origins of primary cells into human induced pluripotent stem cells (hiPSCs). Every somatic cell can theoretically become a hiPSC and give rise to targeted cells of the human body. However, there have been debates on the controversy about the differentiation propensity according to the origin of primary cells. We reprogrammed hiPSCs from four different types of primary cells such as dermal fibroblasts (DF, = 3), peripheral blood mononuclear cells (PBMC, = 3), cord blood mononuclear cells (CBMC, = 3), and osteoarthritis fibroblast-like synoviocytes (OAFLS, = 3). Established hiPSCs were differentiated into chondrogenic pellets. All told, cartilage-specific markers tended to express more by the order of CBMC > DF > PBMC > FLS. Origin of primary cells may influence the reprogramming and differentiation thereafter. In the context of chondrogenic propensity, CBMC-derived hiPSCs can be a fairly good candidate cell source for cartilage regeneration. The differentiation of hiPSCs into chondrocytes may help develop "cartilage in a dish" in the future. Also, the ideal cell source of hiPSC for chondrogenesis may contribute to future application as well.
科学家们已尝试将各种原代细胞的来源重编程为人类诱导多能干细胞(hiPSC)。理论上,每个体细胞都可以成为hiPSC并分化为人身体的目标细胞。然而,关于原代细胞来源的分化倾向存在争议。我们从四种不同类型的原代细胞重编程得到hiPSC,例如真皮成纤维细胞(DF,n = 3)、外周血单个核细胞(PBMC,n = 3)、脐带血单个核细胞(CBMC,n = 3)和骨关节炎成纤维样滑膜细胞(OAFLS,n = 3)。已建立的hiPSC分化为软骨形成小球。总体而言,软骨特异性标志物的表达倾向按CBMC>DF>PBMC>FLS的顺序更高。原代细胞的来源可能会影响重编程及其后的分化。在软骨形成倾向方面,CBMC来源的hiPSC可能是软骨再生的一个相当不错的候选细胞来源。hiPSC向软骨细胞的分化可能有助于未来培养出“培养皿中的软骨”。此外,用于软骨形成的hiPSC的理想细胞来源也可能有助于未来的应用。