Suppr超能文献

长链非编码 RNA 牛磺酸上调基因 1(TUG1)通过 TUG1/miR-129-5p/星形胶质细胞上调基因 1(AEG-1)轴促进恶性黑色素瘤肿瘤生长和转移。

Long Noncoding RNA Taurine-Upregulated Gene1 (TUG1) Promotes Tumor Growth and Metastasis Through TUG1/Mir-129-5p/Astrocyte-Elevated Gene-1 (AEG-1) Axis in Malignant Melanoma.

机构信息

Department of Dermatology, First Clinical Medicine School, Hubei University of Chinese Medicine, Wuhan, Hubei, China (mainland).

Department of Dermatology, Mongolian Medicine Hospital of Bortala Mongolia Autonomous Prefecture, Bola, Bortala, China (mainland).

出版信息

Med Sci Monit. 2018 Mar 15;24:1547-1559. doi: 10.12659/msm.906616.

Abstract

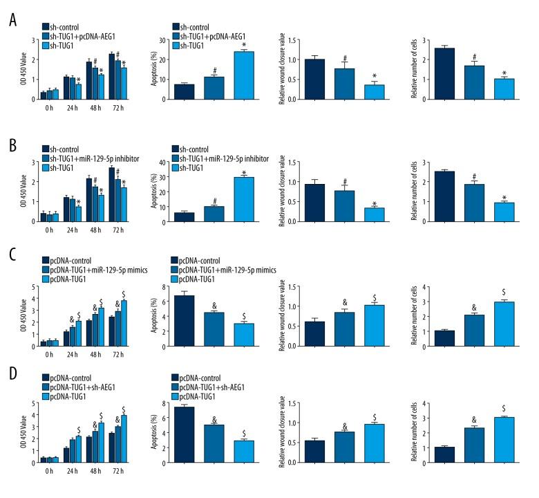
BACKGROUND Malignant melanoma is a class of malignant tumors derived from melanocytes. lncRNAs have been considered as pro-/anti-tumor factors in progression of cancers. The function of lncRNA TUG1 on growth of melanoma was investigated in this study. MATERIAL AND METHODS The TUG1 and miR-129-5p expression were examined via qRT-PCR. The protein expression was investigated by Western blotting assay. Luciferase reporter assay was used to assess if lncRNA TUG1 can bind to miR-129-5p and if miR-129-5p can target AEG1 mRNA. CCK-8 and apoptosis assay were used to detect cell growth and apoptosis. The metastasis of melanoma cells was detected by wound-healing and Transwell assays. The effects of TUG1 on growth of melanoma in vivo and cell chemoresistance were investigated via xenograft animal experiment and CCK-8 assay. RESULTS The expression of TUG1 and AEG1 was elevated and the miR-129-5p level was decreased in melanoma specimens and cell lines. Downregulation of either TUG1 or AEG1 suppressed cell growth and metastasis. miR-129-5p can bind directly to AEG1 and TUG1 can directly sponge miR-129-5p. Inhibition of TUG1 expression suppressed the expression of Bcl-2, MMP-9, and cyclin D1, and raised the level of cleaved caspase3 by modulating AEG1 level in melanoma cells. Inhibition of TUG1 reduced the growth of tumors in vivo and improved the chemosensitivity of A375 cells to cisplatin and 5-FU. CONCLUSIONS Reduction of TUG1 level suppressed cell growth and metastasis by regulating AEG1 expression mediated by targeting miR-129-5p. Suppression of lnc TUG1 may be a promising therapeutic strategy in the treatment of malignant melanoma.

摘要

背景

恶性黑色素瘤是一类起源于黑色素细胞的恶性肿瘤。lncRNA 被认为是癌症进展中的促/抑癌因子。本研究探讨了 lncRNA TUG1 对黑色素瘤生长的影响。

方法

通过 qRT-PCR 检测 TUG1 和 miR-129-5p 的表达。通过 Western blot 检测蛋白表达。荧光素酶报告实验用于评估 lncRNA TUG1 是否能与 miR-129-5p 结合,以及 miR-129-5p 是否能靶向 AEG1 mRNA。CCK-8 和凋亡实验用于检测细胞生长和凋亡。划痕愈合和 Transwell 实验用于检测黑色素瘤细胞的转移。通过裸鼠移植动物实验和 CCK-8 实验研究 TUG1 对黑色素瘤体内生长和细胞化疗耐药性的影响。

结果

黑色素瘤标本和细胞系中 TUG1 和 AEG1 的表达升高,miR-129-5p 的水平降低。下调 TUG1 或 AEG1 均可抑制细胞生长和转移。miR-129-5p 可直接与 AEG1 结合,TUG1 可直接与 miR-129-5p 结合。TUG1 表达抑制通过调节 AEG1 水平抑制黑色素瘤细胞中 Bcl-2、MMP-9 和 cyclin D1 的表达,提高 cleaved caspase3 的水平。抑制 TUG1 表达减少了体内肿瘤的生长,并提高了 A375 细胞对顺铂和 5-FU 的化疗敏感性。

结论

降低 TUG1 水平通过靶向 miR-129-5p 调节 AEG1 表达抑制细胞生长和转移。抑制 lncRNA TUG1 可能是治疗恶性黑色素瘤的一种有前途的治疗策略。

https://cdn.ncbi.nlm.nih.gov/pmc/blobs/b0e3/5866625/7e31fa1d2d56/medscimonit-24-1547-g001.jpg

文献检索

告别复杂PubMed语法,用中文像聊天一样搜索,搜遍4000万医学文献。AI智能推荐,让科研检索更轻松。

立即免费搜索

文件翻译

保留排版,准确专业,支持PDF/Word/PPT等文件格式,支持 12+语言互译。

免费翻译文档

深度研究

AI帮你快速写综述,25分钟生成高质量综述,智能提取关键信息,辅助科研写作。

立即免费体验