• 文献检索
  • 文档翻译
  • 深度研究
  • 学术资讯
  • Suppr Zotero 插件Zotero 插件
  • 邀请有礼
  • 套餐&价格
  • 历史记录
应用&插件
Suppr Zotero 插件Zotero 插件浏览器插件Mac 客户端Windows 客户端微信小程序
定价
高级版会员购买积分包购买API积分包
服务
文献检索文档翻译深度研究API 文档MCP 服务
关于我们
关于 Suppr公司介绍联系我们用户协议隐私条款
关注我们

Suppr 超能文献

核心技术专利:CN118964589B侵权必究
粤ICP备2023148730 号-1Suppr @ 2026

文献检索

告别复杂PubMed语法,用中文像聊天一样搜索,搜遍4000万医学文献。AI智能推荐,让科研检索更轻松。

立即免费搜索

文件翻译

保留排版,准确专业,支持PDF/Word/PPT等文件格式,支持 12+语言互译。

免费翻译文档

深度研究

AI帮你快速写综述,25分钟生成高质量综述,智能提取关键信息,辅助科研写作。

立即免费体验

环境暴露儿童头发中锰、铅、镉和砷含量的决定因素

Determinants of Hair Manganese, Lead, Cadmium and Arsenic Levels in Environmentally Exposed Children.

作者信息

Jursa Thomas, Stein Cheryl R, Smith Donald R

机构信息

Department of Microbiology and Environmental Toxicology, University of California, Santa Cruz, CA 95064, USA.

Department of Child and Adolescent Psychiatry, Hassenfeld Children's Hospital at NYU Langone, Child Study Center, New York University, New York, NY 10016, USA.

出版信息

Toxics. 2018 Mar 22;6(2):19. doi: 10.3390/toxics6020019.

DOI:10.3390/toxics6020019
PMID:29565296
原文链接:https://pmc.ncbi.nlm.nih.gov/articles/PMC6027252/
Abstract

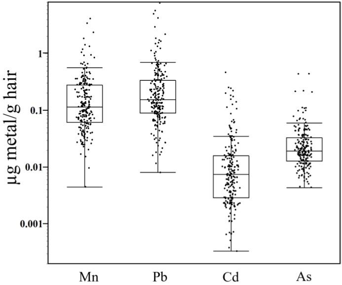
Biomarkers of environmental metal exposure in children are important for elucidating exposure and health risk. While exposure biomarkers for As, Cd, and Pb are relatively well defined, there are not yet well-validated biomarkers of Mn exposure. Here, we measured hair Mn, Pb, Cd, and As levels in children from the Mid-Ohio Valley to determine within and between-subject predictors of hair metal levels. Occipital scalp hair was collected in 2009-2010 from 222 children aged 6-12 years (169 female, 53 male) participating in a study of chemical exposure and neurodevelopment in an industrial region of the Mid-Ohio Valley. Hair samples from females were divided into three two centimeter segments, while males provided a single segment. Hair was cleaned and processed in a trace metal clean laboratory, and analyzed for As, Cd, Mn, and Pb by magnetic sector inductively coupled plasma mass spectrometry. Hair Mn and Pb levels were comparable (median 0.11 and 0.15 µg/g, respectively) and were ~10-fold higher than hair Cd and As levels (0.007 and 0.018 µg/g, respectively). Hair metal levels were higher in males compared to females, and varied by ~100-1000-fold between all subjects, and substantially less (<40-70%) between segments within female subjects. Hair Mn, Pb, and Cd, but not As levels systematically increased by ~40-70% from the proximal to distal hair segments of females. There was a significant effect of season of hair sample collection on hair Mn, Pb, and Cd, but not As levels. Finally, hair metal levels reported here are ~2 to >10-fold lower than levels reported in other studies in children, most likely because of more rigorous hair cleaning methodology used in the present study, leading to lower levels of unresolved exogenous metal contamination of hair.

摘要

儿童环境金属暴露生物标志物对于阐明暴露情况和健康风险至关重要。虽然砷、镉和铅的暴露生物标志物相对明确,但锰暴露的生物标志物尚未得到充分验证。在此,我们测量了俄亥俄州中部山谷地区儿童头发中的锰、铅、镉和砷水平,以确定个体内和个体间头发金属水平的预测因素。2009年至2010年,从参与俄亥俄州中部山谷工业区化学暴露与神经发育研究的222名6至12岁儿童(169名女性,53名男性)中收集枕部头皮头发。女性的头发样本被分成三个两厘米长的段,而男性提供一个段。头发在痕量金属清洁实验室进行清洗和处理,并通过磁扇形电感耦合等离子体质谱法分析砷、镉、锰和铅。头发中的锰和铅水平相当(中位数分别为0.11和0.15微克/克),比头发中的镉和砷水平高约10倍(分别为0.007和0.018微克/克)。男性的头发金属水平高于女性,所有受试者之间的差异约为100至1000倍,而女性受试者不同段之间的差异则小得多(<40-70%)。女性头发从近端到远端段,锰、铅和镉(但砷水平未)系统地增加了约40-70%。头发样本采集季节对头发中的锰、铅和镉水平有显著影响,但对砷水平无影响。最后,此处报告的头发金属水平比其他儿童研究中报告的水平低约2至>10倍,这很可能是因为本研究采用了更严格的头发清洗方法,导致头发中未解决的外源性金属污染水平较低。

https://cdn.ncbi.nlm.nih.gov/pmc/blobs/cb5a/6027252/e55628417d91/toxics-06-00019-g003.jpg
https://cdn.ncbi.nlm.nih.gov/pmc/blobs/cb5a/6027252/4d77bc175e8a/toxics-06-00019-g001.jpg
https://cdn.ncbi.nlm.nih.gov/pmc/blobs/cb5a/6027252/2cec2264c5ff/toxics-06-00019-g002a.jpg
https://cdn.ncbi.nlm.nih.gov/pmc/blobs/cb5a/6027252/e55628417d91/toxics-06-00019-g003.jpg
https://cdn.ncbi.nlm.nih.gov/pmc/blobs/cb5a/6027252/4d77bc175e8a/toxics-06-00019-g001.jpg
https://cdn.ncbi.nlm.nih.gov/pmc/blobs/cb5a/6027252/2cec2264c5ff/toxics-06-00019-g002a.jpg
https://cdn.ncbi.nlm.nih.gov/pmc/blobs/cb5a/6027252/e55628417d91/toxics-06-00019-g003.jpg

相似文献

1
Determinants of Hair Manganese, Lead, Cadmium and Arsenic Levels in Environmentally Exposed Children.环境暴露儿童头发中锰、铅、镉和砷含量的决定因素
Toxics. 2018 Mar 22;6(2):19. doi: 10.3390/toxics6020019.
2
Prevalence and predictors of exposure to multiple metals in preschool children from Montevideo, Uruguay.乌拉圭蒙得维的亚学龄前儿童接触多种金属的流行情况及其预测因素。
Sci Total Environ. 2010 Sep 15;408(20):4488-94. doi: 10.1016/j.scitotenv.2010.06.041. Epub 2010 Jul 8.
3
Short- and long-term exposure to trace metal(loid)s from the production of ferromanganese alloys by personal sampling and biomarkers.通过个人采样和生物标志物研究生产铁锰合金过程中痕量金属(类金属)的短期和长期暴露情况。
Environ Geochem Health. 2022 Dec;44(12):4595-4618. doi: 10.1007/s10653-022-01218-8. Epub 2022 Feb 22.
4
Multi-matrix biomonitoring approach to assess exposure to metals and trace elements in the Lebanese population and associations with drinking water consumption.多基质生物监测方法评估黎巴嫩人群接触金属和微量元素的情况及其与饮用水消费的关系。
Environ Res. 2022 Nov;214(Pt 3):113982. doi: 10.1016/j.envres.2022.113982. Epub 2022 Aug 8.
5
[Blood and hair arsenic, lead and cadmium analysis of adults and correlation analysis with special reference to eating habits and other behavioral influences].[成人血液和头发中砷、铅、镉分析及其与饮食习惯和其他行为影响的相关性分析]
Gesundheitswesen. 1996 Aug-Sep;58(8-9):459-64.
6
Evaluation of the status and the relationship between essential and toxic elements in the hair of occupationally exposed workers.职业暴露工人头发中必需和有毒元素的状况及其关系评估。
Environ Monit Assess. 2018 Nov 19;190(12):731. doi: 10.1007/s10661-018-7088-2.
7
Analysis of metal content in soils near abandoned mines of Bashkir Trans-Urals and in the hair of children living in this territory.分析巴什基尔跨乌拉尔地区废弃矿山附近土壤和居住在该地区的儿童头发中的金属含量。
J Trace Elem Med Biol. 2018 Dec;50:664-670. doi: 10.1016/j.jtemb.2018.06.017. Epub 2018 Jun 20.
8
Hair as a biomarker of environmental manganese exposure.头发作为环境锰暴露的生物标志物。
Environ Sci Technol. 2013 Feb 5;47(3):1629-37. doi: 10.1021/es3035297. Epub 2013 Jan 17.
9
"Assessing exposure of printing factory workers in thailand to selected heavy metals using urine and hair as non-invasive matrices".“利用尿液和头发作为非侵入性基质评估泰国印刷厂工人接触选定重金属的情况”。
BMC Public Health. 2023 Jan 5;23(1):31. doi: 10.1186/s12889-022-14807-0.
10
Maternal and neonatal scalp hair concentrations of zinc, copper, cadmium, and lead: relationship to some lifestyle factors.母婴头皮头发中锌、铜、镉和铅的含量:与一些生活方式因素的关系。
Biol Trace Elem Res. 2005 Jul;106(1):1-28. doi: 10.1385/BTER:106:1:001.

引用本文的文献

1
Arsenic, mercury, manganese, and lead exposure in Mexican adults aged 50 and older.50岁及以上墨西哥成年人砷、汞、锰和铅暴露情况。
Biometals. 2025 Sep 4. doi: 10.1007/s10534-025-00739-w.
2
Quality assurance and quality control for human biomonitoring data-focus on matrix reference materials.人类生物监测数据的质量保证和质量控制——以基质标准物质为重点
Anal Bioanal Chem. 2025 Apr 22. doi: 10.1007/s00216-025-05859-3.
3
Impact of manganese and metal mixtures in blood, hair, and soil on child adaptive behaviors in Southeast Side Chicago.

本文引用的文献

1
Major Limitations in Using Element Concentrations in Hair as Biomarkers of Exposure to Toxic and Essential Trace Elements in Children.将头发中的元素浓度用作儿童接触有毒和必需微量元素的生物标志物的主要局限性。
Environ Health Perspect. 2017 Jun 29;125(6):067021. doi: 10.1289/EHP1239.
2
Biomarkers of mercury toxicity: Past, present, and future trends.汞毒性的生物标志物:过去、现在及未来趋势
J Toxicol Environ Health B Crit Rev. 2017;20(3):119-154. doi: 10.1080/10937404.2017.1289834. Epub 2017 Apr 5.
3
Trace Element Levels in Scalp Hair of School Children in Shigatse, Tibet, an Endemic Area for Kaschin-Beck Disease (KBD).
芝加哥东南部血液、头发和土壤中的锰及金属混合物对儿童适应行为的影响。
Environ Res. 2025 Aug 1;278:121637. doi: 10.1016/j.envres.2025.121637. Epub 2025 Apr 16.
4
Genetic Damage and Multi-Elemental Exposure in Populations in Proximity to Artisanal and Small-Scale Gold (ASGM) Mining Areas in North Colombia.哥伦比亚北部手工和小规模金矿(ASGM)开采区附近人群的基因损伤与多元素暴露
Toxics. 2025 Mar 11;13(3):202. doi: 10.3390/toxics13030202.
5
Assessing the mediating role of iron status on associations between an industry-relevant metal mixture and verbal learning and memory in Italian adolescents.评估铁状态在工业相关金属混合物与意大利青少年言语学习和记忆之间的关联中的中介作用。
Sci Total Environ. 2024 Jan 1;906:167435. doi: 10.1016/j.scitotenv.2023.167435. Epub 2023 Sep 28.
6
Linear hair growth rates in preschool children.学龄前儿童的线性头发生长速度。
Pediatr Res. 2024 Jan;95(1):359-366. doi: 10.1038/s41390-023-02791-z. Epub 2023 Sep 4.
7
Reference Values on Children's Hair for 28 Elements (Heavy Metals and Essential Elements) Based on a Pilot Study in a Representative Non-Contaminated Local Area.基于代表性非污染地区的初步研究,为 28 种元素(重金属和必需元素)制定儿童头发的参考值。
Int J Mol Sci. 2023 May 1;24(9):8127. doi: 10.3390/ijms24098127.
8
Animal Models of Childhood Exposure to Lead or Manganese: Evidence for Impaired Attention, Impulse Control, and Affect Regulation and Assessment of Potential Therapies.儿童期暴露于铅或锰的动物模型:注意力、冲动控制和情感调节受损的证据,以及潜在治疗方法的评估。
Neurotherapeutics. 2023 Jan;20(1):3-21. doi: 10.1007/s13311-023-01345-9. Epub 2023 Feb 28.
9
Associations of an industry-relevant metal mixture with verbal learning and memory in Italian adolescents: The modifying role of iron status.工业相关金属混合物与意大利青少年语言学习和记忆的关联:铁状态的调节作用。
Environ Res. 2023 May 1;224:115457. doi: 10.1016/j.envres.2023.115457. Epub 2023 Feb 10.
10
Exposure to metal mixtures and neuropsychological functioning in middle childhood.儿童中期金属混合物暴露与神经心理学功能。
Neurotoxicology. 2022 Dec;93:84-91. doi: 10.1016/j.neuro.2022.09.003. Epub 2022 Sep 16.
西藏日喀则地方性克山病(KBD)流行区学生发中微量元素水平
Biol Trace Elem Res. 2017 Nov;180(1):15-22. doi: 10.1007/s12011-017-0988-0. Epub 2017 Mar 10.
4
Reference levels of trace elements in hair samples from children and adolescents in Madrid, Spain.西班牙马德里儿童和青少年头发样本中微量元素的参考水平。
J Trace Elem Med Biol. 2017 Sep;43:113-120. doi: 10.1016/j.jtemb.2016.12.010. Epub 2016 Dec 29.
5
Trace element biomonitoring in hair of school children from a polluted area by sector field inductively coupled plasma mass spectrometry.利用扇形磁场电感耦合等离子体质谱法对污染地区学童头发中的微量元素进行生物监测。
J Trace Elem Med Biol. 2017 Jan;39:14-20. doi: 10.1016/j.jtemb.2016.07.004. Epub 2016 Jul 15.
6
Measuring the impact of manganese exposure on children's neurodevelopment: advances and research gaps in biomarker-based approaches.测量锰暴露对儿童神经发育的影响:基于生物标志物方法的进展与研究差距
Environ Health. 2016 Aug 30;15(1):91. doi: 10.1186/s12940-016-0174-4.
7
Perinatal and Childhood Exposure to Cadmium, Manganese, and Metal Mixtures and Effects on Cognition and Behavior: A Review of Recent Literature.围产期和儿童期接触镉、锰和金属混合物及其对认知和行为的影响:对近期文献的综述。
Curr Environ Health Rep. 2015 Sep;2(3):284-94. doi: 10.1007/s40572-015-0058-8.
8
Manganese Exposure and Neurocognitive Outcomes in Rural School-Age Children: The Communities Actively Researching Exposure Study (Ohio, USA).美国俄亥俄州农村学龄儿童的锰暴露与神经认知结果:社区积极研究暴露情况研究
Environ Health Perspect. 2015 Oct;123(10):1066-71. doi: 10.1289/ehp.1408993. Epub 2015 Apr 22.
9
Impact of ferromanganese alloy plants on household dust manganese levels: implications for childhood exposure.锰铁合金厂对家庭灰尘中锰含量的影响:对儿童暴露的影响
Environ Res. 2015 Apr;138:279-90. doi: 10.1016/j.envres.2015.01.019. Epub 2015 Mar 4.
10
Biomonitoring of arsenic, cadmium, lead, manganese and mercury in urine and hair of children living near mining and industrial areas.对生活在矿区和工业区附近儿童尿液和头发中砷、镉、铅、锰和汞的生物监测。
Chemosphere. 2015 Apr;124:83-91. doi: 10.1016/j.chemosphere.2014.11.016. Epub 2014 Nov 27.