Suppr超能文献

基于转录因子分析的伴鼻息肉和不伴鼻息肉慢性鼻-鼻窦炎的表型分型。

Endotyping of Chronic Rhinosinusitis With and Without Polyp Using Transcription Factor Analysis.

机构信息

Division of Rhinology and Allergy, Department of Otorhinolaryngology, Faculty of Medicine Siriraj Hospital, Mahidol University, Bangkok, Thailand.

Office of Research and Development, Faculty of Medicine Siriraj Hospital, Mahidol University, Bangkok, Thailand.

出版信息

Front Cell Infect Microbiol. 2018 Mar 27;8:82. doi: 10.3389/fcimb.2018.00082. eCollection 2018.

Abstract

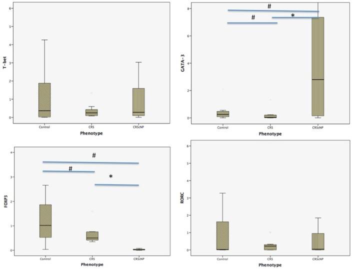
Inflammation of the nose and paranasal sinus or rhinosinusitis (RS) is a significant global health problem that is both very common and very costly to treat. Previous reports reveal variability in histology and mechanism of inflammation in patients with chronic rhinosinusitis with and without polyp (CRScNP and CRSsNP, respectively). There are various methods and hypothesis that try to explain this variability. Accordingly, the aim of this study was to investigate the incidence of each type of sinonasal inflammation among patients diagnosed with CRScNP or CRSsNP using transcription factor analysis (TFA). This study included mucosa specimens from nose/paranasal sinuses from patients with chronic rhinitis (CR), CRSsNP, or CRScNP that were obtained at the Department of Otorhinolaryngology, Faculty of Medicine Siriraj Hospital, Mahidol University, Bangkok, Thailand during the June 2009 to May 2012 study period. TFA was employed to measure the following transcription factors: T-box transcription factor (T-bet) for Th1, GATA binding protein 3 (GATA-3) for Th2, retinoic acid-related orphan receptor C (RORC) for Th17, and forkhead box P3 (FOXP3) for Treg. Forty-one subjects (22 males, 19 females) were enrolled, with a mean age of 45.93 ± 13 years. Twenty-six patients were diagnosed with CRScNP, 7 with CRSsNP, and 8 with CR (controls). The majority of CRScNP specimens (76.9%) had eosinophil count greater than 100 cells/high-power field (HPF). Mean eosinophil count was 930.08 ± 1,399 cells/HPF (range: 17-5,570). Th2 transcription factor (GATA-3) was statistically significantly higher in the CRScNP group than in the CRS and control groups ( < 0.001); whereas, Treg transcription factor (FOXP3) was statistically significantly lower in the CRScNP group than in the CRSsNP and control groups ( < 0.001). The transcription factors for Th1 and Th17 (T-bet and RORC, respectively) were not significantly different among the three groups. The result of transcription factor analysis revealed hyperfunction of Th2 in patients with CRScNP, which might result in hypereosinophilic infliltration in the polyps. One explanation for this finding is the decreased activity of Treg. Although environment-host interaction is the most probable hypothesis, the etiology of aberrant adaptive immunity needs to be elucidated.

摘要

鼻腔和鼻旁窦炎或鼻鼻窦炎(RS)的炎症是一个重大的全球健康问题,它非常普遍,治疗费用也非常高。先前的报告显示,慢性鼻鼻窦炎伴和不伴息肉(CRScNP 和 CRSsNP)患者的组织病理学和炎症机制存在差异。有各种方法和假说试图解释这种可变性。因此,本研究旨在通过转录因子分析(TFA)研究诊断为 CRScNP 或 CRSsNP 的患者中每种鼻内炎症的发生率。本研究包括 2009 年 6 月至 2012 年 5 月期间在泰国玛希隆大学诗里拉吉医院耳鼻喉科获得的慢性鼻炎(CR)、CRSsNP 或 CRScNP 患者的鼻/鼻旁窦黏膜标本。采用 TFA 测量以下转录因子:Th1 的 T 盒转录因子(T-bet)、Th2 的 GATA 结合蛋白 3(GATA-3)、Th17 的维甲酸相关孤儿受体 C(RORC)和 Treg 的叉头框 P3(FOXP3)。共纳入 41 名受试者(22 名男性,19 名女性),平均年龄为 45.93 ± 13 岁。26 名患者被诊断为 CRScNP,7 名患有 CRSsNP,8 名患有 CR(对照组)。大多数 CRScNP 标本(76.9%)嗜酸性粒细胞计数大于 100 个细胞/高倍视野(HPF)。嗜酸性粒细胞计数平均值为 930.08 ± 1,399 个/HPF(范围:17-5,570)。CRScNP 组的 Th2 转录因子(GATA-3)明显高于 CRS 组和对照组( < 0.001);而 CRScNP 组的 Treg 转录因子(FOXP3)明显低于 CRSsNP 组和对照组( < 0.001)。三组之间 Th1 和 Th17 的转录因子(T-bet 和 RORC)无显著差异。转录因子分析的结果显示,CRScNP 患者的 Th2 功能亢进,可能导致息肉中嗜酸性粒细胞浸润。这一发现的一个解释是 Treg 的活性降低。尽管环境-宿主相互作用是最有可能的假设,但需要阐明异常适应性免疫的病因。

https://cdn.ncbi.nlm.nih.gov/pmc/blobs/d62b/5880998/5c62caddfa21/fcimb-08-00082-g0001.jpg

文献检索

告别复杂PubMed语法,用中文像聊天一样搜索,搜遍4000万医学文献。AI智能推荐,让科研检索更轻松。

立即免费搜索

文件翻译

保留排版,准确专业,支持PDF/Word/PPT等文件格式,支持 12+语言互译。

免费翻译文档

深度研究

AI帮你快速写综述,25分钟生成高质量综述,智能提取关键信息,辅助科研写作。

立即免费体验