Suppr超能文献

晚期非小细胞肺癌患者对联合免疫治疗反应的基因组特征。

Genomic Features of Response to Combination Immunotherapy in Patients with Advanced Non-Small-Cell Lung Cancer.

机构信息

Department of Medicine, Memorial Sloan Kettering Cancer Center, 885 2(nd) Avenue, New York, NY 10017, USA; Weill Cornell School of Medicine, New York, NY, USA; Druckenmiller Center for Lung Cancer Research, Memorial Sloan Kettering Cancer Center, New York, NY, USA; Parker Institute for Cancer Immunotherapy, Memorial Sloan Kettering Cancer Center, New York, NY, USA.

Department of Genetics and Genomic Sciences, Icahn School of Medicine at Mount Sinai, New York, NY, USA.

出版信息

Cancer Cell. 2018 May 14;33(5):843-852.e4. doi: 10.1016/j.ccell.2018.03.018. Epub 2018 Apr 12.

Abstract

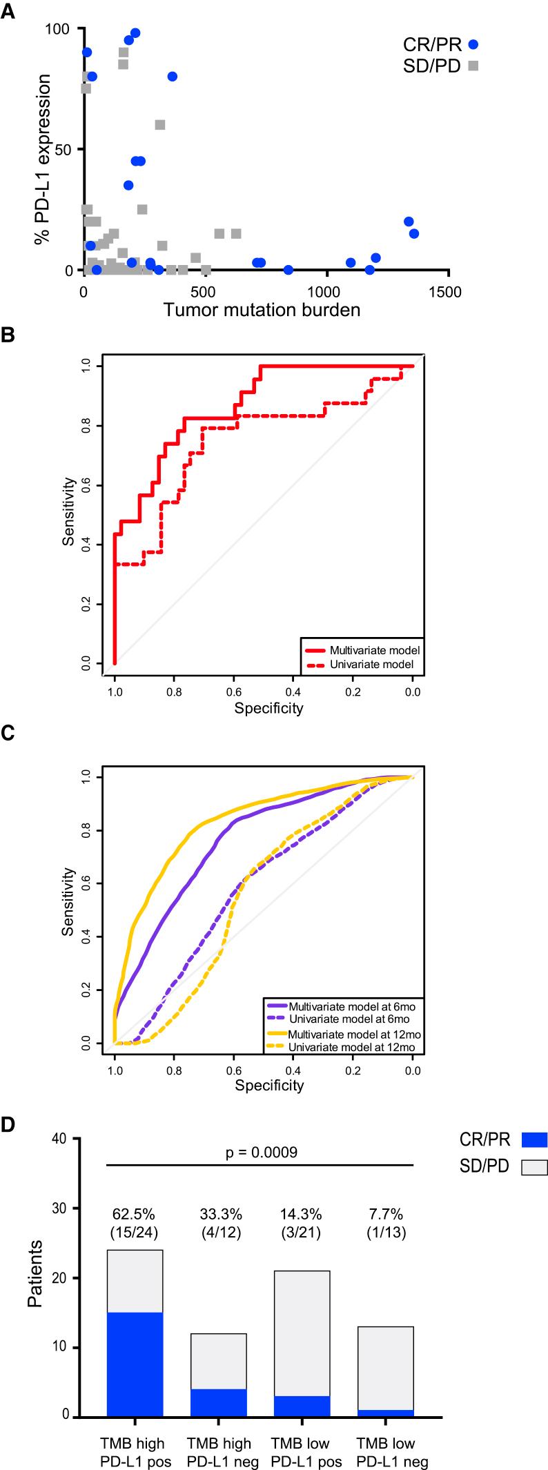
Combination immune checkpoint blockade has demonstrated promising benefit in lung cancer, but predictors of response to combination therapy are unknown. Using whole-exome sequencing to examine non-small-cell lung cancer (NSCLC) treated with PD-1 plus CTLA-4 blockade, we found that high tumor mutation burden (TMB) predicted improved objective response, durable benefit, and progression-free survival. TMB was independent of PD-L1 expression and the strongest feature associated with efficacy in multivariable analysis. The low response rate in TMB low NSCLCs demonstrates that combination immunotherapy does not overcome the negative predictive impact of low TMB. This study demonstrates the association between TMB and benefit to combination immunotherapy in NSCLC. TMB should be incorporated in future trials examining PD-(L)1 with CTLA-4 blockade in NSCLC.

摘要

联合免疫检查点阻断在肺癌中显示出有前景的疗效,但对联合治疗反应的预测因素尚不清楚。本研究采用全外显子组测序,分析接受 PD-1 联合 CTLA-4 阻断治疗的非小细胞肺癌(NSCLC)患者,发现高肿瘤突变负担(TMB)预示着客观缓解率、持久获益和无进展生存期的改善。TMB 与 PD-L1 表达无关,是多变量分析中与疗效最相关的特征。TMB 低的 NSCLC 患者的低反应率表明,联合免疫疗法并不能克服 TMB 低的负面预测影响。这项研究证明了 TMB 与 NSCLC 中联合免疫治疗获益之间的关联。TMB 应纳入未来在 NSCLC 中检查 PD-(L)1 联合 CTLA-4 阻断的临床试验。

https://cdn.ncbi.nlm.nih.gov/pmc/blobs/049a/6168828/9c8784fff847/gr1.jpg

文献检索

告别复杂PubMed语法,用中文像聊天一样搜索,搜遍4000万医学文献。AI智能推荐,让科研检索更轻松。

立即免费搜索

文件翻译

保留排版,准确专业,支持PDF/Word/PPT等文件格式,支持 12+语言互译。

免费翻译文档

深度研究

AI帮你快速写综述,25分钟生成高质量综述,智能提取关键信息,辅助科研写作。

立即免费体验