Suppr超能文献

变应性鼻炎患者外周血B细胞亚群分析

Analysis of Peripheral B Cell Subsets in Patients With Allergic Rhinitis.

作者信息

Luo Jing, Guo Huanhuan, Liu Zhuofu, Peng Tao, Hu Xianting, Han Miaomiao, Yang Xiangping, Zhou Xuhong, Li Huabin

机构信息

Department of Immunology, Tongji Medical College, Huazhong University of Science and Technology, Wuhan, China.

Department of Otolaryngology, Zhongnan Hospital of Wuhan University, Wuhan, China.

出版信息

Allergy Asthma Immunol Res. 2018 May;10(3):236-243. doi: 10.4168/aair.2018.10.3.236.

Abstract

PURPOSE

Recent evidence suggests that B cells can both promote and inhibit the development and progression of allergic disease. However, the characteristics of B cell subsets in patients with allergic rhinitis (AR) have not been well documented. This study aimed to analyze the characteristics of B cell subsets in the peripheral blood of AR patients.

METHODS

Forty-seven AR patients and 54 healthy controls were enrolled in this study, and the B cell subsets in peripheral blood of all subjects were analyzed by flow cytometry. Moreover, the serum total immunoglobulin E (IgE) and IgE concentrations secreted into the cultured peripheral blood mononuclear cells (PBMCs) were measured by using enzyme-linked immunosorbent assay.

RESULTS

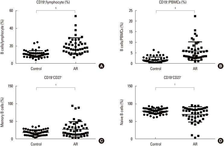
We found the peripheral blood of AR patients contained higher percentages of memory B cells, plasma cells, and CD19⁺CD24(hi)CD27⁺ regulatory B cells (Bregs) than those of age-matched healthy controls (P<0.05), while the percentages of naïve B cells and CD19⁺CD24(hi)CD38(hi) Bregs were significantly lower in AR patients than in healthy individuals (P<0.05). In addition, the serum total IgE and IgE concentrations secreted into the cultured PBMCs were elevated in AR patients than in the healthy controls (P<0.05).

CONCLUSIONS

Our findings indicate that AR patients were characterized by increase in terminally differentiated memory B cells or plasma cells and decreases in CD19⁺CD24(hi)CD38(hi) Breg cells in the peripheral blood.

摘要

目的

最近的证据表明,B细胞既能促进也能抑制变应性疾病的发生和发展。然而,变应性鼻炎(AR)患者B细胞亚群的特征尚未得到充分记录。本研究旨在分析AR患者外周血中B细胞亚群的特征。

方法

本研究纳入47例AR患者和54例健康对照,采用流式细胞术分析所有受试者外周血中的B细胞亚群。此外,采用酶联免疫吸附测定法检测血清总免疫球蛋白E(IgE)以及培养的外周血单个核细胞(PBMC)分泌的IgE浓度。

结果

我们发现,与年龄匹配的健康对照相比,AR患者外周血中记忆B细胞、浆细胞和CD19⁺CD24(高表达)CD27⁺调节性B细胞(Bregs)的百分比更高(P<0.05),而AR患者中幼稚B细胞和CD19⁺CD24(高表达)CD38(高表达)Bregs的百分比显著低于健康个体(P<0.05)。此外,AR患者血清总IgE以及培养的PBMC分泌的IgE浓度均高于健康对照(P<0.05)。

结论

我们的研究结果表明,AR患者的特征是外周血中终末分化的记忆B细胞或浆细胞增加,而CD19⁺CD24(高表达)CD38(高表达)Breg细胞减少。

https://cdn.ncbi.nlm.nih.gov/pmc/blobs/bd7a/5911442/9cc4f1ec718a/aair-10-236-g001.jpg

文献AI研究员

20分钟写一篇综述,助力文献阅读效率提升50倍。

立即体验

用中文搜PubMed

大模型驱动的PubMed中文搜索引擎

马上搜索

文档翻译

学术文献翻译模型,支持多种主流文档格式。

立即体验