Suppr超能文献

经皮左心耳封堵术对心功能和结构重构的影响:倾向评分匹配样本的差异分析。

Impact of left atrial appendage closure on cardiac functional and structural remodeling: A difference-in-difference analysis of propensity score matched samples.

机构信息

Cardiovascular Center, Chung-Ang University Hospital, Seoul, South Korea.

Intervention Center, Quang Nam Central General Hospital, Quang Nam, Vietnam.

出版信息

Cardiol J. 2019;26(5):519-528. doi: 10.5603/CJ.a2018.0047. Epub 2018 May 2.

Abstract

BACKGROUND

Although the safety and efficacy of left atrial (LA) appendage (LAA) closure (LAAC) in nonvalvular atrial fibrillation (NVAF) patients have been well documented in randomized controlled trials and real-world experience, there are limited data in the literature about the impact of LAAC on cardiac remodeling. The aim of the study was to examine the impact of LAAC on cardiac functional and structural remodeling in NVAF patients.

METHODS

Between March 2014 and November 2016, 47 NVAF patients who underwent LAAC were included in this study (LAAC group). A control group (non-LAAC group) was formed from 141 NVAF patients without LAAC using propensity score matching. The difference-in-difference analysis was used to evaluate the difference in cardiac remodeling between the two groups at baseline and follow-up evaluations.

RESULTS

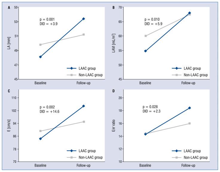
The LAAC group had a larger increase in LA dimension, volume and volume index than the non-LAAC group (+3.9 mm, p = 0.001; +9.7 mL, p = 0.006 and +5.9 mL/m2, p = 0.011, respectively). Besides, a significant increase in E and E/e' ratio was also observed in the LAAC group (+14.6 cm/s, p = 0.002 and +2.3, p = 0.028, respectively). Compared with the non-LAAC group, left ventricular (LV) ejection fraction and fractional shortening decreased in LAAC patients, but were statistically insignificant (-3.5%, p = 0.109 and -2.0%, p = 0.167, respectively).

CONCLUSIONS

There were significant increases in LA size and LV filling pressure among NVAF patients after LAAC. These impacts of LAAC on cardiac functional and structural remodeling may have some clinical implications that need to be addressed in future studies.

摘要

背景

尽管左心耳(LAA)封堵术(LAAC)在非瓣膜性心房颤动(NVAF)患者中的安全性和有效性已在随机对照试验和真实世界经验中得到充分证实,但关于 LAAC 对心脏重构影响的文献数据有限。本研究旨在探讨 LAAC 对 NVAF 患者心脏功能和结构重构的影响。

方法

2014 年 3 月至 2016 年 11 月,47 例接受 LAAC 的 NVAF 患者纳入本研究(LAAC 组)。使用倾向评分匹配法从 141 例未行 LAAC 的 NVAF 患者中组成对照组(非 LAAC 组)。采用差值分析评估两组在基线和随访评估时心脏重构的差异。

结果

LAAC 组的左心房(LA)内径、容积和容积指数较非 LAAC 组增加更多(+3.9mm,p=0.001;+9.7mL,p=0.006;+5.9mL/m2,p=0.011)。此外,LAAC 组的 E 波和 E/e'比值也显著增加(+14.6cm/s,p=0.002;+2.3,p=0.028)。与非 LAAC 组相比,LAAC 患者的左心室射血分数和左心室缩短分数降低,但无统计学意义(-3.5%,p=0.109;-2.0%,p=0.167)。

结论

NVAF 患者行 LAAC 后 LA 大小和 LV 充盈压显著增加。LAAC 对心脏功能和结构重构的这些影响可能具有一些临床意义,需要在未来的研究中进一步探讨。

https://cdn.ncbi.nlm.nih.gov/pmc/blobs/65dd/8084400/b64ca87bcca6/cardj-26-5-519f1.jpg

文献AI研究员

20分钟写一篇综述,助力文献阅读效率提升50倍。

立即体验

用中文搜PubMed

大模型驱动的PubMed中文搜索引擎

马上搜索

文档翻译

学术文献翻译模型,支持多种主流文档格式。

立即体验