• 文献检索
  • 文档翻译
  • 深度研究
  • 学术资讯
  • Suppr Zotero 插件Zotero 插件
  • 邀请有礼
  • 套餐&价格
  • 历史记录
应用&插件
Suppr Zotero 插件Zotero 插件浏览器插件Mac 客户端Windows 客户端微信小程序
定价
高级版会员购买积分包购买API积分包
服务
文献检索文档翻译深度研究API 文档MCP 服务
关于我们
关于 Suppr公司介绍联系我们用户协议隐私条款
关注我们

Suppr 超能文献

核心技术专利:CN118964589B侵权必究
粤ICP备2023148730 号-1Suppr @ 2026

文献检索

告别复杂PubMed语法,用中文像聊天一样搜索,搜遍4000万医学文献。AI智能推荐,让科研检索更轻松。

立即免费搜索

文件翻译

保留排版,准确专业,支持PDF/Word/PPT等文件格式,支持 12+语言互译。

免费翻译文档

深度研究

AI帮你快速写综述,25分钟生成高质量综述,智能提取关键信息,辅助科研写作。

立即免费体验

线性泛素组装复合物三个组成部分在乳腺癌中的表达。

Expression of the three components of linear ubiquitin assembly complex in breast cancer.

机构信息

Cancer Research Center, Cancer Institute of Iran, Tehran University of Medical Sciences, Tehran, Iran.

Department of Biosciences and Nutrition, Karolinska Institutet, Huddinge, Stockholm, Sweden.

出版信息

PLoS One. 2018 May 15;13(5):e0197183. doi: 10.1371/journal.pone.0197183. eCollection 2018.

DOI:10.1371/journal.pone.0197183
PMID:29763465
原文链接:https://pmc.ncbi.nlm.nih.gov/articles/PMC5953448/
Abstract

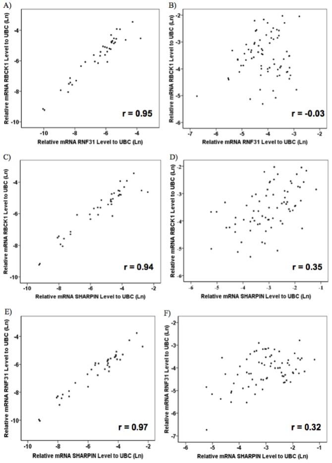
Proteins belonging to the linear ubiquitin assembly complex (LUBAC) are believed to be important in tumorigenesis. LUBAC has been demonstrated to be composed of RBCK1, RNF31 and SHARPIN. The aim of this study was to explore all members of the LUBAC complex as novel biomarkers in breast cancer. We have already reported that RNF31 mRNA levels are higher in breast cancer samples compared to adjacent non-tumor tissue. In this study we extend these findings by demonstrating that the mRNA levels of RBCK1 and SHARPIN are also higher in tumors compared to adjacent non-tumor tissue in the same cross sectional study of samples (p < 0.001). In addition, up-regulated mRNA expression of all three members of the LUBAC complex displayed high predictive value in distinguishing tumor tissues from adjacent non-tumor tissue as determined by ROC curve analysis. Furthermore, we investigated whether there is an association between the mRNA and protein expression levels of RBCK1, RNF31 and SHARPIN and clinicopathological parameters including estrogen receptor (ER), progesterone receptor (PR) and human epidermal growth factor receptor (HER2) status and found that RNF31 protein is significantly higher in ERalpha-negative tumors than ERalpha-positive tumors (p = 0.034). Collectively, our findings indicate that up-regulated mRNA expression of RNF31, RBCK1 and SHARPIN could potentially be diagnostic biomarkers of breast cancer and RNF31 might be a drug target for ERalpha-negative breast cancers.

摘要

属于线性泛素连接酶复合物(LUBAC)的蛋白质被认为在肿瘤发生中很重要。已经证明 LUBAC 由 RBCK1、RNF31 和 SHARPIN 组成。本研究旨在探索 LUBAC 复合物的所有成员作为乳腺癌的新型生物标志物。我们已经报道过,与相邻非肿瘤组织相比,乳腺癌样本中的 RNF31 mRNA 水平更高。在这项研究中,我们通过证明在相同的样本横断面研究中,与相邻非肿瘤组织相比,RBCK1 和 SHARPIN 的 mRNA 水平在肿瘤中也更高,扩展了这些发现(p < 0.001)。此外,通过 ROC 曲线分析,LUBAC 复合物所有三个成员的上调 mRNA 表达在区分肿瘤组织与相邻非肿瘤组织方面具有很高的预测价值。此外,我们还研究了 RBCK1、RNF31 和 SHARPIN 的 mRNA 和蛋白表达水平与包括雌激素受体(ER)、孕激素受体(PR)和人类表皮生长因子受体(HER2)状态在内的临床病理参数之间是否存在关联,并发现 RNF31 蛋白在 ERalpha-阴性肿瘤中的表达明显高于 ERalpha-阳性肿瘤(p = 0.034)。综上所述,我们的研究结果表明,RNF31、RBCK1 和 SHARPIN 的上调 mRNA 表达可能是乳腺癌的潜在诊断生物标志物,而 RNF31 可能是 ERalpha-阴性乳腺癌的药物靶点。

https://cdn.ncbi.nlm.nih.gov/pmc/blobs/f75e/5953448/5c2300b0b6a6/pone.0197183.g006.jpg
https://cdn.ncbi.nlm.nih.gov/pmc/blobs/f75e/5953448/05fe6dea762e/pone.0197183.g001.jpg
https://cdn.ncbi.nlm.nih.gov/pmc/blobs/f75e/5953448/e9598b200f64/pone.0197183.g002.jpg
https://cdn.ncbi.nlm.nih.gov/pmc/blobs/f75e/5953448/6d310da45fdf/pone.0197183.g003.jpg
https://cdn.ncbi.nlm.nih.gov/pmc/blobs/f75e/5953448/b9a23c193262/pone.0197183.g004.jpg
https://cdn.ncbi.nlm.nih.gov/pmc/blobs/f75e/5953448/e1fcd4921525/pone.0197183.g005.jpg
https://cdn.ncbi.nlm.nih.gov/pmc/blobs/f75e/5953448/5c2300b0b6a6/pone.0197183.g006.jpg
https://cdn.ncbi.nlm.nih.gov/pmc/blobs/f75e/5953448/05fe6dea762e/pone.0197183.g001.jpg
https://cdn.ncbi.nlm.nih.gov/pmc/blobs/f75e/5953448/e9598b200f64/pone.0197183.g002.jpg
https://cdn.ncbi.nlm.nih.gov/pmc/blobs/f75e/5953448/6d310da45fdf/pone.0197183.g003.jpg
https://cdn.ncbi.nlm.nih.gov/pmc/blobs/f75e/5953448/b9a23c193262/pone.0197183.g004.jpg
https://cdn.ncbi.nlm.nih.gov/pmc/blobs/f75e/5953448/e1fcd4921525/pone.0197183.g005.jpg
https://cdn.ncbi.nlm.nih.gov/pmc/blobs/f75e/5953448/5c2300b0b6a6/pone.0197183.g006.jpg

相似文献

1
Expression of the three components of linear ubiquitin assembly complex in breast cancer.线性泛素组装复合物三个组成部分在乳腺癌中的表达。
PLoS One. 2018 May 15;13(5):e0197183. doi: 10.1371/journal.pone.0197183. eCollection 2018.
2
Resonance assignments of the PUB domain of the RNF31 protein.RNF31 蛋白 PUB 结构域的共振峰分配。
Biomol NMR Assign. 2023 Dec;17(2):189-192. doi: 10.1007/s12104-023-10139-1. Epub 2023 Jul 3.
3
RBCK1 promotes hepatocellular carcinoma metastasis and growth by stabilizing RNF31.RBCK1通过稳定RNF31促进肝细胞癌转移和生长。
Cell Death Discov. 2022 Jul 22;8(1):334. doi: 10.1038/s41420-022-01126-x.
4
Elevation of SIPL1 (SHARPIN) Increases Breast Cancer Risk.SIPL1(SHARPIN)水平升高会增加患乳腺癌的风险。
PLoS One. 2015 May 19;10(5):e0127546. doi: 10.1371/journal.pone.0127546. eCollection 2015.
5
Essential role of the linear ubiquitin chain assembly complex in lymphoma revealed by rare germline polymorphisms.罕见种系多态性揭示线性泛素链组装复合体在淋巴瘤中的重要作用。
Cancer Discov. 2014 Apr;4(4):480-93. doi: 10.1158/2159-8290.CD-13-0915. Epub 2014 Feb 3.
6
RING finger protein 31 promotes p53 degradation in breast cancer cells.环状结构域蛋白31促进乳腺癌细胞中p53的降解。
Oncogene. 2016 Apr 14;35(15):1955-64. doi: 10.1038/onc.2015.260. Epub 2015 Jul 6.
7
RBCK1 is an endogenous inhibitor for triple negative breast cancer via hippo/YAP axis.RBCK1 是通过 hippo/YAP 轴抑制三阴性乳腺癌的内源性抑制剂。
Cell Commun Signal. 2022 Oct 24;20(1):164. doi: 10.1186/s12964-022-00963-8.
8
Atypical ubiquitin ligase RNF31: the nuclear factor modulator in breast cancer progression.非典型泛素连接酶RNF31:乳腺癌进展中的核因子调节剂
BMC Cancer. 2016 Jul 26;16:538. doi: 10.1186/s12885-016-2575-8.
9
Mutually Exclusive Roles of SHARPIN in Integrin Inactivation and NF-κB Signaling.SHARPIN在整合素失活和NF-κB信号传导中的相互排斥作用
PLoS One. 2015 Nov 23;10(11):e0143423. doi: 10.1371/journal.pone.0143423. eCollection 2015.
10
RNF31 inhibition sensitizes tumors to bystander killing by innate and adaptive immune cells.RNF31 抑制使肿瘤对先天和适应性免疫细胞的旁观者杀伤敏感。
Cell Rep Med. 2022 Jun 21;3(6):100655. doi: 10.1016/j.xcrm.2022.100655. Epub 2022 Jun 9.

引用本文的文献

1
Crosstalk between SUMOylation and other post-translational modifications in breast cancer.SUMOylation 与乳腺癌中其他翻译后修饰的串扰。
Cell Mol Biol Lett. 2024 Aug 10;29(1):107. doi: 10.1186/s11658-024-00624-3.
2
RNF31 promotes proliferation and invasion of hepatocellular carcinoma via nuclear factor kappaB activation.RNF31 通过核因子 κB 的激活促进肝癌的增殖和侵袭。
Sci Rep. 2024 Jan 3;14(1):346. doi: 10.1038/s41598-023-50594-3.
3
Mechanisms underlying linear ubiquitination and implications in tumorigenesis and drug discovery.

本文引用的文献

1
Cell type-specific properties and environment shape tissue specificity of cancer genes.细胞类型特异性特性和环境塑造癌症基因的组织特异性。
Sci Rep. 2016 Feb 9;6:20707. doi: 10.1038/srep20707.
2
Tumor Heterogeneity in Breast Cancer.乳腺癌中的肿瘤异质性。
Adv Anat Pathol. 2015 Sep;22(5):294-302. doi: 10.1097/PAP.0000000000000074.
3
Elevation of SIPL1 (SHARPIN) Increases Breast Cancer Risk.SIPL1(SHARPIN)水平升高会增加患乳腺癌的风险。
线性泛素化的作用机制及其在肿瘤发生和药物发现中的意义。
Cell Commun Signal. 2023 Nov 28;21(1):340. doi: 10.1186/s12964-023-01239-5.
4
Identification of biomarkers associated with diagnosis of postmenopausal osteoporosis patients based on bioinformatics and machine learning.基于生物信息学和机器学习识别与绝经后骨质疏松症患者诊断相关的生物标志物
Front Genet. 2023 Jul 3;14:1198417. doi: 10.3389/fgene.2023.1198417. eCollection 2023.
5
Linear ubiquitination of PTEN impairs its function to promote prostate cancer progression.PTEN 的线性泛素化使其功能受损,从而促进前列腺癌的进展。
Oncogene. 2022 Oct;41(44):4877-4892. doi: 10.1038/s41388-022-02485-6. Epub 2022 Oct 3.
6
RBCK1 promotes hepatocellular carcinoma metastasis and growth by stabilizing RNF31.RBCK1通过稳定RNF31促进肝细胞癌转移和生长。
Cell Death Discov. 2022 Jul 22;8(1):334. doi: 10.1038/s41420-022-01126-x.
7
Comprehensive analysis of the expression and prognosis for RBR E3 ubiquitin ligases in lung adenocarcinoma.肺腺癌中 RBR E3 泛素连接酶的表达与预后的综合分析。
Thorac Cancer. 2022 Sep;13(17):2459-2472. doi: 10.1111/1759-7714.14577. Epub 2022 Jul 12.
8
Unconventional protein post-translational modifications: the helmsmen in breast cancer.非常规蛋白质翻译后修饰:乳腺癌中的舵手
Cell Biosci. 2022 Feb 25;12(1):22. doi: 10.1186/s13578-022-00756-z.
9
Proteomics and its applications in breast cancer.蛋白质组学及其在乳腺癌中的应用。
Am J Cancer Res. 2021 Sep 15;11(9):4006-4049. eCollection 2021.
10
SHARPIN: Role in Finding NEMO and in Amyloid-Beta Clearance and Degradation (ABCD) Pathway in Alzheimer's Disease?SHARPIN:在阿尔茨海默病中寻找 NEMO 和在淀粉样β清除和降解(ABCD)途径中的作用?
Cell Mol Neurobiol. 2022 Jul;42(5):1267-1281. doi: 10.1007/s10571-020-01023-w. Epub 2021 Jan 5.
PLoS One. 2015 May 19;10(5):e0127546. doi: 10.1371/journal.pone.0127546. eCollection 2015.
4
The atypical ubiquitin ligase RNF31 stabilizes estrogen receptor α and modulates estrogen-stimulated breast cancer cell proliferation.非典型泛素连接酶RNF31可稳定雌激素受体α并调节雌激素刺激的乳腺癌细胞增殖。
Oncogene. 2014 Aug 21;33(34):4340-51. doi: 10.1038/onc.2013.573. Epub 2014 Jan 20.
5
Expression of activator protein-1 (AP-1) family members in breast cancer.活化蛋白-1(AP-1)家族成员在乳腺癌中的表达。
BMC Cancer. 2013 Sep 28;13:441. doi: 10.1186/1471-2407-13-441.
6
Linear ubiquitination-mediated NF-κB regulation and its related disorders.线性泛素化介导的 NF-κB 调节及其相关疾病。
J Biochem. 2013 Oct;154(4):313-23. doi: 10.1093/jb/mvt079. Epub 2013 Aug 21.
7
Estrogen receptor beta in breast cancer.乳腺癌中的雌激素受体β。
Mol Cell Endocrinol. 2014 Jan 25;382(1):665-672. doi: 10.1016/j.mce.2013.08.005. Epub 2013 Aug 15.
8
Identification of RBCK1 as a novel regulator of FKBPL: implications for tumor growth and response to tamoxifen.鉴定 RBCK1 为 FKBPL 的新型调节因子:对肿瘤生长和他莫昔芬反应的影响。
Oncogene. 2014 Jun 26;33(26):3441-50. doi: 10.1038/onc.2013.306. Epub 2013 Aug 5.
9
Linear ubiquitination: a newly discovered regulator of cell signalling.线性泛素化:一种新发现的细胞信号调节因子。
Trends Biochem Sci. 2013 Feb;38(2):94-102. doi: 10.1016/j.tibs.2012.11.007. Epub 2013 Jan 17.
10
RBCK1, an E3 ubiquitin ligase, interacts with and ubiquinates the human pregnane X receptor.RBCK1,一种 E3 泛素连接酶,与人妊娠相关 X 受体相互作用并泛素化该受体。
Drug Metab Dispos. 2013 Feb;41(2):398-405. doi: 10.1124/dmd.112.048728. Epub 2012 Nov 15.