Suppr超能文献

长春农村地区井水伤寒沙门氏菌的持续存在。

Persistence of Typhimurium in Well Waters from a Rural Area of Changchun City, China.

机构信息

Key Laboratory of Ground Water Resource and Environment, Ministry of Education, Jilin University, Changchun 130021, China.

College of Environmental and Resources, Jilin University, Changchun 130021, China.

出版信息

Int J Environ Res Public Health. 2018 May 28;15(6):1090. doi: 10.3390/ijerph15061090.

Abstract

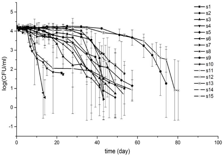
-contaminated well water could cause major infection outbreaks worldwide, thus, it is crucial to understand their persistence in those waters. In this study, we investigated the persistence of serovar Typhimurium in 15 well waters from a rural area of Changchun City, China. Results illustrated that the time to reach detection limit (), first decimal reduction time (), and the shape parameter () ranged from 15 to 80 days, from 5.6 to 66.9 days, and from 0.6 to 6.6, respectively. Principal component analysis showed that s of were positively correlated with total organic carbon, pH, NH₄⁺⁻N, and total phosphate. Multiple stepwise regression analysis revealed that s could be best predicted by NH₄⁺⁻N and pH. Canonical correspondence analysis and variation partition analysis revealed that NH₄⁺⁻N and pH, and the rest of the water parameters, could explain 27.60% and 28.15% of overall variation of the survival behavior, respectively. In addition, s were found to be correlated ( < 0.01) with and . Our results showed that the longer survival (>2.5 months) could constitute an increased health risk to the local communities, and provided insights into the close linkage between well water quality and survival of .

摘要

受污染的井水可能会在全球范围内引发重大感染爆发,因此,了解它们在这些水中的持久性至关重要。在这项研究中,我们调查了 15 份来自中国长春市农村地区井水样本中鼠伤寒血清型沙门氏菌的持久性。结果表明,达到检测限的时间()、第一个十进制减少时间()和形状参数()范围分别为 15 至 80 天、5.6 至 66.9 天和 0.6 至 6.6。主成分分析表明,的 s 值与总有机碳、pH 值、NH₄⁺⁻N 和总磷酸盐呈正相关。多元逐步回归分析表明,s 值可以通过 NH₄⁺⁻N 和 pH 值来最佳预测。典范对应分析和变异划分分析表明,NH₄⁺⁻N 和 pH 值以及其余的水质参数可以分别解释生存行为总体变化的 27.60%和 28.15%。此外,s 值与和呈显著相关(<0.01)。我们的研究结果表明,较长的生存时间(>2.5 个月)可能会对当地社区构成更高的健康风险,并深入了解了井水质量与生存之间的紧密联系。

https://cdn.ncbi.nlm.nih.gov/pmc/blobs/43a4/6025466/d643c94352b7/ijerph-15-01090-g001.jpg

文献检索

告别复杂PubMed语法,用中文像聊天一样搜索,搜遍4000万医学文献。AI智能推荐,让科研检索更轻松。

立即免费搜索

文件翻译

保留排版,准确专业,支持PDF/Word/PPT等文件格式,支持 12+语言互译。

免费翻译文档

深度研究

AI帮你快速写综述,25分钟生成高质量综述,智能提取关键信息,辅助科研写作。

立即免费体验