• 文献检索
  • 文档翻译
  • 深度研究
  • 学术资讯
  • Suppr Zotero 插件Zotero 插件
  • 邀请有礼
  • 套餐&价格
  • 历史记录
应用&插件
Suppr Zotero 插件Zotero 插件浏览器插件Mac 客户端Windows 客户端微信小程序
定价
高级版会员购买积分包购买API积分包
服务
文献检索文档翻译深度研究API 文档MCP 服务
关于我们
关于 Suppr公司介绍联系我们用户协议隐私条款
关注我们

Suppr 超能文献

核心技术专利:CN118964589B侵权必究
粤ICP备2023148730 号-1Suppr @ 2026

文献检索

告别复杂PubMed语法,用中文像聊天一样搜索,搜遍4000万医学文献。AI智能推荐,让科研检索更轻松。

立即免费搜索

文件翻译

保留排版,准确专业,支持PDF/Word/PPT等文件格式,支持 12+语言互译。

免费翻译文档

深度研究

AI帮你快速写综述,25分钟生成高质量综述,智能提取关键信息,辅助科研写作。

立即免费体验

哮喘-慢性阻塞性肺疾病重叠综合征患者尿中L-组氨酸水平升高:一项初步研究。

Increased urinary l-histidine in patients with asthma-COPD overlap: a pilot study.

作者信息

Oh Jee Youn, Lee Young Seok, Min Kyung Hoon, Hur Gyu Young, Lee Sung Yong, Kang Kyung Ho, Rhee Chin Kook, Park Seoung Ju, Khan Adnan, Na Jinhyuk, Park Youngja H, Shim Jae Jeong

机构信息

Division of Pulmonary, Allergy and Critical Care Medicine, Department of Internal Medicine, Korea University Guro Hospital, Seoul, Republic of Korea.

Division of Pulmonary Medicine, Department of Internal Medicine, Catholic University Seoul Hospital, Seoul, Republic of Korea.

出版信息

Int J Chron Obstruct Pulmon Dis. 2018 Jun 5;13:1809-1818. doi: 10.2147/COPD.S163189. eCollection 2018.

DOI:10.2147/COPD.S163189
PMID:29892192
原文链接:https://pmc.ncbi.nlm.nih.gov/articles/PMC5993031/
Abstract

PURPOSE

Asthma-COPD overlap (ACO) is heterogeneous in nature and requires a unified diagnostic approach. We investigated the urinary levels of l-histidine, a precursor of histamine related to inflammatory responses, as a new candidate biomarker for diagnosing this condition.

PATIENTS AND METHODS

We performed a prospective multicenter cohort study with retrospective analysis of 107 patients, who were divided into three groups: asthma, COPD, and ACO, according to the Spanish guidelines algorithm. Urinary l-histidine levels were measured using liquid chromatography-mass spectrometry. High-resolution metabolomic analysis, coupled with liquid chromatography-mass spectrometry and followed by multivariate statistical analysis, was performed on urine samples to discriminate between the metabolic profiles of the groups.

RESULTS

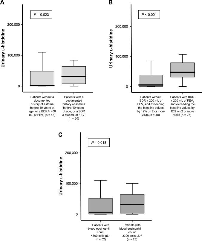
Urinary l-histidine levels were significantly higher in patients with ACO than in those with asthma or COPD, but the subgroups of ACO, classified according to disease origin, did not differ significantly. High urinary l-histidine level was a significant factor for the diagnosis of ACO even after adjusting for age, sex, and smoking amount. Among patients with airflow obstruction, the urinary l-histidine levels were elevated in patients with a documented history of asthma before the age of 40 years or bronchodilator responsiveness ≥400 mL; bronchodilator responsiveness ≥200 mL of forced expiratory volume in 1 second and exceeding baseline values by 12% on two or more visits; blood eosinophil count ≥300 cells·mm; and frequent exacerbations ( < 0.05).

CONCLUSION

Urinary l-histidine could be a potential biomarker for ACO, regardless of the diversity of diagnostic definitions used.

摘要

目的

哮喘-慢性阻塞性肺疾病重叠综合征(ACO)本质上具有异质性,需要统一的诊断方法。我们研究了与炎症反应相关的组胺前体L-组氨酸的尿水平,将其作为诊断该疾病的一种新的候选生物标志物。

患者与方法

我们进行了一项前瞻性多中心队列研究,并对107例患者进行回顾性分析,根据西班牙指南算法将患者分为三组:哮喘组、慢性阻塞性肺疾病组和ACO组。采用液相色谱-质谱法测定尿L-组氨酸水平。对尿样进行高分辨率代谢组学分析,结合液相色谱-质谱法,随后进行多变量统计分析,以区分各组的代谢谱。

结果

ACO患者的尿L-组氨酸水平显著高于哮喘或慢性阻塞性肺疾病患者,但根据疾病起源分类的ACO亚组之间无显著差异。即使在调整年龄、性别和吸烟量后,高尿L-组氨酸水平仍是ACO诊断的一个重要因素。在气流受限患者中,有40岁前哮喘病史或支气管扩张剂反应性≥400 mL;支气管扩张剂反应性≥1秒用力呼气量200 mL且在两次或更多次就诊时超过基线值12%;血嗜酸性粒细胞计数≥300个细胞·mm;以及频繁急性加重的患者尿L-组氨酸水平升高(P<0.05)。

结论

无论使用何种诊断定义,尿L-组氨酸都可能是ACO的潜在生物标志物。

https://cdn.ncbi.nlm.nih.gov/pmc/blobs/64bd/5993031/af85f4d3550b/copd-13-1809Fig4.jpg
https://cdn.ncbi.nlm.nih.gov/pmc/blobs/64bd/5993031/3ac907dc3007/copd-13-1809Fig1.jpg
https://cdn.ncbi.nlm.nih.gov/pmc/blobs/64bd/5993031/9710df45ccc8/copd-13-1809Fig2.jpg
https://cdn.ncbi.nlm.nih.gov/pmc/blobs/64bd/5993031/3a8222f5e096/copd-13-1809Fig3.jpg
https://cdn.ncbi.nlm.nih.gov/pmc/blobs/64bd/5993031/af85f4d3550b/copd-13-1809Fig4.jpg
https://cdn.ncbi.nlm.nih.gov/pmc/blobs/64bd/5993031/3ac907dc3007/copd-13-1809Fig1.jpg
https://cdn.ncbi.nlm.nih.gov/pmc/blobs/64bd/5993031/9710df45ccc8/copd-13-1809Fig2.jpg
https://cdn.ncbi.nlm.nih.gov/pmc/blobs/64bd/5993031/3a8222f5e096/copd-13-1809Fig3.jpg
https://cdn.ncbi.nlm.nih.gov/pmc/blobs/64bd/5993031/af85f4d3550b/copd-13-1809Fig4.jpg

相似文献

1
Increased urinary l-histidine in patients with asthma-COPD overlap: a pilot study.哮喘-慢性阻塞性肺疾病重叠综合征患者尿中L-组氨酸水平升高:一项初步研究。
Int J Chron Obstruct Pulmon Dis. 2018 Jun 5;13:1809-1818. doi: 10.2147/COPD.S163189. eCollection 2018.
2
Decreased serum club cell secretory protein in asthma and chronic obstructive pulmonary disease overlap: a pilot study.哮喘与慢性阻塞性肺疾病重叠综合征患者血清克拉拉细胞分泌蛋白降低:一项初步研究
Int J Chron Obstruct Pulmon Dis. 2018 Oct 18;13:3411-3417. doi: 10.2147/COPD.S174545. eCollection 2018.
3
Accuracy of a New Algorithm to Identify Asthma-COPD Overlap (ACO) Patients in a Cohort of Patients with Chronic Obstructive Airway Disease.一种用于识别慢性阻塞性气道疾病队列中哮喘-慢性阻塞性肺疾病重叠(ACO)患者的新算法的准确性。
Arch Bronconeumol (Engl Ed). 2018 Apr;54(4):198-204. doi: 10.1016/j.arbres.2017.10.007. Epub 2017 Dec 9.
4
Identification and distribution of COPD phenotypes in clinical practice according to Spanish COPD Guidelines: the FENEPOC study.根据西班牙慢性阻塞性肺疾病指南在临床实践中对慢性阻塞性肺疾病表型的识别与分布:FENEPOC研究
Int J Chron Obstruct Pulmon Dis. 2017 Aug 9;12:2373-2383. doi: 10.2147/COPD.S137872. eCollection 2017.
5
Phenotype of Asthma-COPD Overlap in COPD and Severe Asthma Cohorts.COPD 和重度哮喘队列中 COPD-哮喘重叠患者的表型。
J Korean Med Sci. 2022 Aug 1;37(30):e236. doi: 10.3346/jkms.2022.37.e236.
6
Prevalence and Characteristics of Asthma-Chronic Obstructive Pulmonary Disease Overlap in Routine Primary Care Practices.在常规初级保健实践中哮喘-慢性阻塞性肺疾病重叠的流行情况和特征。
Ann Am Thorac Soc. 2019 Sep;16(9):1143-1150. doi: 10.1513/AnnalsATS.201809-607OC.
7
Eicosanoids metabolized through LOX distinguish asthma-COPD overlap from COPD by metabolomics study.通过代谢组学研究,通过 LOX 代谢的类二十烷代谢物可区分哮喘-COPD 重叠与 COPD。
Int J Chron Obstruct Pulmon Dis. 2019 Aug 6;14:1769-1778. doi: 10.2147/COPD.S207023. eCollection 2019.
8
Metabolomic signatures of asthma-COPD overlap (ACO) are different from asthma and COPD.哮喘-慢性阻塞性肺疾病重叠(ACO)的代谢组学特征与哮喘和 COPD 不同。
Metabolomics. 2019 Jun 4;15(6):87. doi: 10.1007/s11306-019-1552-z.
9
Favorable longitudinal change of lung function in patients with asthma-COPD overlap from a COPD cohort.从 COPD 队列中观察到哮喘-COPD 重叠患者的肺功能有良好的纵向变化。
Respir Res. 2018 Mar 2;19(1):36. doi: 10.1186/s12931-018-0737-8.
10
Mixed Th2 and non-Th2 inflammatory pattern in the asthma-COPD overlap: a network approach.哮喘-慢性阻塞性肺疾病重叠综合征中Th2与非Th2混合性炎症模式:一种网络分析方法
Int J Chron Obstruct Pulmon Dis. 2018 Feb 12;13:591-601. doi: 10.2147/COPD.S153694. eCollection 2018.

引用本文的文献

1
Integrative analysis of transcriptome and metabolome profiles reveals immune-metabolic alterations in pulmonary sarcoidosis.转录组和代谢组图谱的综合分析揭示了结节病中的免疫代谢改变。
Metabolomics. 2025 Aug 29;21(5):131. doi: 10.1007/s11306-025-02325-0.
2
Body mass index trajectories from birth to early adulthood and lung function development.从出生到成年早期的体重指数轨迹与肺功能发育
Eur Respir J. 2025 Jan 2;65(1). doi: 10.1183/13993003.00298-2024. Print 2025 Jan.
3
Update on metabolomic findings in COPD patients.慢性阻塞性肺疾病(COPD)患者代谢组学研究结果的最新进展。

本文引用的文献

1
Diagnosis of asthma-COPD overlap: the five commandments.哮喘-慢性阻塞性肺疾病重叠综合征的诊断:五条准则
Eur Respir J. 2017 May 1;49(5). doi: 10.1183/13993003.00506-2017. Print 2017 May.
2
Algorithm for identification of asthma-COPD overlap: consensus between the Spanish COPD and asthma guidelines.哮喘-慢性阻塞性肺疾病重叠综合征的识别算法:西班牙慢性阻塞性肺疾病与哮喘指南之间的共识
Eur Respir J. 2017 May 1;49(5). doi: 10.1183/13993003.00068-2017. Print 2017 May.
3
Th-2 signature in chronic airway diseases: towards the extinction of asthma-COPD overlap syndrome?
ERJ Open Res. 2023 Oct 30;9(5). doi: 10.1183/23120541.00180-2023. eCollection 2023 Sep.
4
Asthma-COPD Overlap in Clinical Practice (ACO_CP 2023): Toward Precision Medicine.临床实践中的哮喘-慢性阻塞性肺疾病重叠(ACO_CP 2023):迈向精准医学
J Pers Med. 2023 Apr 18;13(4):677. doi: 10.3390/jpm13040677.
5
Clinical Indicators for Asthma-COPD Overlap: A Systematic Review and Meta-Analysis.哮喘-慢阻肺重叠临床指标:系统评价和荟萃分析。
Int J Chron Obstruct Pulmon Dis. 2022 Oct 12;17:2567-2575. doi: 10.2147/COPD.S374079. eCollection 2022.
6
Air pollution, metabolites and respiratory health across the life-course.空气污染、代谢物与全生命周期的呼吸健康。
Eur Respir Rev. 2022 Aug 10;31(165). doi: 10.1183/16000617.0038-2022. Print 2022 Sep 30.
7
Comprehensive Targeted Metabolomic Study in the Lung, Plasma, and Urine of PPE/LPS-Induced COPD Mice Model.全面靶向代谢组学研究在 PPE/LPS 诱导 COPD 小鼠模型的肺、血浆和尿液中的应用。
Int J Mol Sci. 2022 Mar 2;23(5):2748. doi: 10.3390/ijms23052748.
8
Status of Studies Investigating Asthma-Chronic Obstructive Pulmonary Disease Overlap in Korea: A Review.韩国哮喘-慢性阻塞性肺疾病重叠综合征的研究现状:综述
Tuberc Respir Dis (Seoul). 2022 Apr;85(2):101-110. doi: 10.4046/trd.2021.0140. Epub 2021 Dec 6.
9
ACO (Asthma-COPD Overlap) Is Independent from COPD, a Case in Favor: A Systematic Review.哮喘-慢性阻塞性肺疾病重叠综合征(ACO)独立于慢性阻塞性肺疾病:一项支持性病例的系统评价
Diagnostics (Basel). 2021 May 11;11(5):859. doi: 10.3390/diagnostics11050859.
10
Metabolic Fingerprinting Uncovers the Distinction Between the Phenotypes of Tuberculosis Associated COPD and Smoking-Induced COPD.代谢指纹图谱揭示了肺结核相关慢性阻塞性肺疾病与吸烟所致慢性阻塞性肺疾病表型之间的差异。
Front Med (Lausanne). 2021 May 14;8:619077. doi: 10.3389/fmed.2021.619077. eCollection 2021.
慢性气道疾病中的 Th-2 特征:哮喘-COPD 重叠综合征的终结?
Eur Respir J. 2017 May 1;49(5). doi: 10.1183/13993003.02397-2016. Print 2017 May.
4
High resolution metabolomics to discriminate compounds in serum of male lung cancer patients in South Korea.高分辨率代谢组学用于鉴别韩国男性肺癌患者血清中的化合物。
Respir Res. 2016 Aug 9;17(1):100. doi: 10.1186/s12931-016-0419-3.
5
Do we really need asthma-chronic obstructive pulmonary disease overlap syndrome?我们真的需要哮喘-慢性阻塞性肺疾病重叠综合征吗?
J Allergy Clin Immunol. 2016 Oct;138(4):977-983. doi: 10.1016/j.jaci.2016.04.028. Epub 2016 Jun 4.
6
Predictors of Hospitalized Exacerbations and Mortality in Chronic Obstructive Pulmonary Disease.慢性阻塞性肺疾病住院加重和死亡的预测因素
PLoS One. 2016 Jun 30;11(6):e0158727. doi: 10.1371/journal.pone.0158727. eCollection 2016.
7
What is asthma-COPD overlap syndrome? Towards a consensus definition from a round table discussion.哮喘-慢阻肺重叠综合征是什么?圆桌会议上的共识定义。
Eur Respir J. 2016 Sep;48(3):664-73. doi: 10.1183/13993003.00436-2016. Epub 2016 Jun 23.
8
Emerging applications of metabolomics in drug discovery and precision medicine.代谢组学在药物发现和精准医学中的新兴应用。
Nat Rev Drug Discov. 2016 Jul;15(7):473-84. doi: 10.1038/nrd.2016.32. Epub 2016 Mar 11.
9
Treatable traits: toward precision medicine of chronic airway diseases.可治疗性状:迈向慢性气道疾病的精准医学。
Eur Respir J. 2016 Feb;47(2):410-9. doi: 10.1183/13993003.01359-2015.
10
Applying the wisdom of stepping down inhaled corticosteroids in patients with COPD: a proposed algorithm for clinical practice.在慢性阻塞性肺疾病患者中应用逐步减少吸入性糖皮质激素的策略:一种临床实践的建议算法。
Int J Chron Obstruct Pulmon Dis. 2015 Nov 20;10:2535-48. doi: 10.2147/COPD.S93321. eCollection 2015.