Suppr超能文献

PAPP-A2 缺乏并不会加重宫内生长受限小鼠模型的表型。

PAPP-A2 deficiency does not exacerbate the phenotype of a mouse model of intrauterine growth restriction.

机构信息

Department of Biological Sciences, Simon Fraser University, Burnaby, BC, Canada.

出版信息

Reprod Biol Endocrinol. 2018 Jun 12;16(1):58. doi: 10.1186/s12958-018-0376-4.

Abstract

BACKGROUND

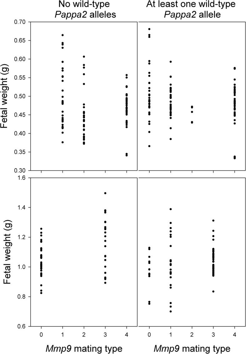
Pregnancy-associated plasma protein-A2 (PAPP-A2) is consistently upregulated in the placentae of pregnancies complicated by preeclampsia and fetal growth restriction. The causes and significance of this upregulation remain unknown, but it has been hypothesized that it is a compensatory response to improve placental growth and development. We predicted that, if the upregulation of PAPP-A2 in pregnancy complications reflects a compensatory response, then deletion of Pappa2 in mice would exacerbate the effects of a gene deletion previously reported to impair placental development: deficiency of matrix metalloproteinase-9 (MMP9).

METHODS

We crossed mice carrying deletions in Pappa2 and Mmp9 to produce pregnancies deficient in one, both, or neither of these genes. We measured pregnancy rates, number of conceptuses, fetal and placental growth, and the histological structure of the placenta.

RESULTS

We found no evidence of reduced fertility, increased pregnancy loss, or increased fetal demise in Mmp9 females. In pregnancies segregating for Mmp9, Mmp9 fetuses were lighter than their siblings with a functional Mmp9 allele. However, deletion of Pappa2 did not exacerbate or reveal any effects of Mmp9 deficiency. We observed some effects of Pappa2 deletion on placental structure that were independent of Mmp9 deficiency, but no effects on fetal growth. At G16, male fetuses were heavier than female fetuses and had heavier placentae with larger junctional zones and smaller labyrinths.

CONCLUSIONS

Effects of Mmp9 deficiency were not exacerbated by the deletion of Pappa2. Our results do not provide evidence that upregulation of placental PAPP-A2 represents a mechanism to compensate for impaired fetal growth.

摘要

背景

妊娠相关血浆蛋白 A2(PAPP-A2)在子痫前期和胎儿生长受限等妊娠并发症的胎盘组织中始终呈上调表达。这种上调的原因和意义尚不清楚,但据推测,它是改善胎盘生长和发育的代偿反应。我们推测,如果妊娠并发症中 PAPP-A2 的上调反映了代偿反应,那么先前报道的 MMP9 缺乏会损害胎盘发育,那么 MMP9 基因缺失的小鼠中 Pappa2 的缺失会加剧这种影响。

方法

我们将携带 Pappa2 和 Mmp9 缺失的小鼠进行杂交,以产生一种、两种或均不缺失这些基因的妊娠。我们测量妊娠率、胚胎数量、胎儿和胎盘生长以及胎盘的组织学结构。

结果

我们没有发现 MMP9 缺失的雌性小鼠生育力降低、妊娠丢失增加或胎儿死亡增加的证据。在分离出 Mmp9 的妊娠中,Mmp9 胎儿比其具有功能性 Mmp9 等位基因的兄弟姐妹轻。然而,Pappa2 的缺失并没有加剧或揭示 MMP9 缺乏的任何影响。我们观察到 Pappa2 缺失对胎盘结构的一些影响与 MMP9 缺乏无关,但对胎儿生长没有影响。在 G16,雄性胎儿比雌性胎儿重,胎盘较重,连接区较大,迷路区较小。

结论

Mmp9 缺乏的影响没有因 Pappa2 的缺失而加剧。我们的结果并未提供证据表明胎盘 PAPP-A2 的上调代表了补偿胎儿生长受损的机制。

https://cdn.ncbi.nlm.nih.gov/pmc/blobs/4ddc/5996520/fdc80fb8ba5a/12958_2018_376_Fig1_HTML.jpg

文献AI研究员

20分钟写一篇综述,助力文献阅读效率提升50倍。

立即体验

用中文搜PubMed

大模型驱动的PubMed中文搜索引擎

马上搜索

文档翻译

学术文献翻译模型,支持多种主流文档格式。

立即体验