• 文献检索
  • 文档翻译
  • 深度研究
  • 学术资讯
  • Suppr Zotero 插件Zotero 插件
  • 邀请有礼
  • 套餐&价格
  • 历史记录
应用&插件
Suppr Zotero 插件Zotero 插件浏览器插件Mac 客户端Windows 客户端微信小程序
定价
高级版会员购买积分包购买API积分包
服务
文献检索文档翻译深度研究API 文档MCP 服务
关于我们
关于 Suppr公司介绍联系我们用户协议隐私条款
关注我们

Suppr 超能文献

核心技术专利:CN118964589B侵权必究
粤ICP备2023148730 号-1Suppr @ 2026

文献检索

告别复杂PubMed语法,用中文像聊天一样搜索,搜遍4000万医学文献。AI智能推荐,让科研检索更轻松。

立即免费搜索

文件翻译

保留排版,准确专业,支持PDF/Word/PPT等文件格式,支持 12+语言互译。

免费翻译文档

深度研究

AI帮你快速写综述,25分钟生成高质量综述,智能提取关键信息,辅助科研写作。

立即免费体验

比较 (龙胆科)属内种的叶绿体基因组分析及鉴定标记的开发。

Comparative Chloroplast Genome Analyses of Species in section (Gentianaceae) and the Development of Authentication Markers.

机构信息

School of Pharmacy, Xi'an Jiaotong University, Xi'an 710061, China.

Key Laboratory of Resource Biology and Biotechnology in Western China (Ministry of Education), School of Life Sciences, Northwest University, Xi'an 710069, China.

出版信息

Int J Mol Sci. 2018 Jul 5;19(7):1962. doi: 10.3390/ijms19071962.

DOI:10.3390/ijms19071962
PMID:29976857
原文链接:https://pmc.ncbi.nlm.nih.gov/articles/PMC6073106/
Abstract

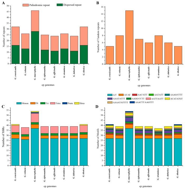
section is widely distributed across Eurasia at high altitudes, and some species in this section are used as traditional Chinese medicine. Accurate identification of these species is important for their utilization and conservation. Due to similar morphological and chemical characteristics, correct discrimination of these species still remains problematic. Here, we sequenced three complete chloroplast (cp) genomes (, and ). We further compared them with the previously published plastomes from sect. and developed highly polymorphic molecular markers for species authentication. The eight cp genomes shared the highly conserved structure and contained 112 unique genes arranged in the same order, including 78 protein-coding genes, 30 tRNAs, and 4 rRNAs. We analyzed the repeats and nucleotide substitutions in these plastomes and detected several highly variable regions. We found that four genes (, , and ) were subject to positive selection, and sixteen InDel-variable loci with high discriminatory powers were selected as candidate barcodes. Our phylogenetic analyses based on plastomes further confirmed the monophyly of sect. and primarily elucidated the phylogeny of Gentianales. This study indicated that cp genomes can provide more integrated information for better elucidating the phylogenetic pattern and improving discriminatory power during species authentication.

摘要

节在欧亚大陆高海拔地区广泛分布,其中一些物种被用作传统中药。准确识别这些物种对于它们的利用和保护非常重要。由于形态和化学成分相似,正确区分这些物种仍然存在问题。在这里,我们对三个完整的叶绿体 (cp) 基因组 (, 和 ) 进行了测序。我们进一步将它们与以前发表的节叶绿体基因组进行了比较,并开发了用于物种鉴定的高度多态性分子标记。这 8 个 cp 基因组具有高度保守的结构,包含以相同顺序排列的 112 个独特基因,包括 78 个蛋白质编码基因、30 个 tRNA 和 4 个 rRNA。我们分析了这些叶绿体基因组中的重复和核苷酸替换,并检测到几个高度可变的区域。我们发现四个基因 (, , 和 ) 受到正选择的影响,并选择了 16 个具有高鉴别力的 InDel 可变基因座作为候选条形码。我们基于 cp 基因组的系统发育分析进一步证实了节的单系性,并初步阐明了玄参目植物的系统发育。这项研究表明,叶绿体基因组可以为更好地阐明系统发育模式和提高物种鉴定的鉴别能力提供更综合的信息。

https://cdn.ncbi.nlm.nih.gov/pmc/blobs/b2fa/6073106/08d9b6d1ffc5/ijms-19-01962-g007.jpg
https://cdn.ncbi.nlm.nih.gov/pmc/blobs/b2fa/6073106/da158096299a/ijms-19-01962-g001.jpg
https://cdn.ncbi.nlm.nih.gov/pmc/blobs/b2fa/6073106/e2f42f5d5315/ijms-19-01962-g002.jpg
https://cdn.ncbi.nlm.nih.gov/pmc/blobs/b2fa/6073106/c763ea89e30b/ijms-19-01962-g003.jpg
https://cdn.ncbi.nlm.nih.gov/pmc/blobs/b2fa/6073106/c82dea1533a4/ijms-19-01962-g004.jpg
https://cdn.ncbi.nlm.nih.gov/pmc/blobs/b2fa/6073106/cb3761bbe104/ijms-19-01962-g005.jpg
https://cdn.ncbi.nlm.nih.gov/pmc/blobs/b2fa/6073106/762a677d24ef/ijms-19-01962-g006.jpg
https://cdn.ncbi.nlm.nih.gov/pmc/blobs/b2fa/6073106/08d9b6d1ffc5/ijms-19-01962-g007.jpg
https://cdn.ncbi.nlm.nih.gov/pmc/blobs/b2fa/6073106/da158096299a/ijms-19-01962-g001.jpg
https://cdn.ncbi.nlm.nih.gov/pmc/blobs/b2fa/6073106/e2f42f5d5315/ijms-19-01962-g002.jpg
https://cdn.ncbi.nlm.nih.gov/pmc/blobs/b2fa/6073106/c763ea89e30b/ijms-19-01962-g003.jpg
https://cdn.ncbi.nlm.nih.gov/pmc/blobs/b2fa/6073106/c82dea1533a4/ijms-19-01962-g004.jpg
https://cdn.ncbi.nlm.nih.gov/pmc/blobs/b2fa/6073106/cb3761bbe104/ijms-19-01962-g005.jpg
https://cdn.ncbi.nlm.nih.gov/pmc/blobs/b2fa/6073106/762a677d24ef/ijms-19-01962-g006.jpg
https://cdn.ncbi.nlm.nih.gov/pmc/blobs/b2fa/6073106/08d9b6d1ffc5/ijms-19-01962-g007.jpg

相似文献

1
Comparative Chloroplast Genome Analyses of Species in section (Gentianaceae) and the Development of Authentication Markers.比较 (龙胆科)属内种的叶绿体基因组分析及鉴定标记的开发。
Int J Mol Sci. 2018 Jul 5;19(7):1962. doi: 10.3390/ijms19071962.
2
Chloroplast genome structures in Gentiana (Gentianaceae), based on three medicinal alpine plants used in Tibetan herbal medicine.基于三种藏药高山药用植物的龙胆属(龙胆科)叶绿体基因组结构
Curr Genet. 2017 May;63(2):241-252. doi: 10.1007/s00294-016-0631-1. Epub 2016 Jul 15.
3
[A strategy for identifying six species of Sect.Cruciata(Gentiana) in Gansu using DNA barcode sequences].[利用DNA条形码序列鉴定甘肃龙胆属秦艽组6种植物的策略]
Yao Xue Xue Bao. 2016 May;51(5):821-7.
4
The complete chloroplast genome of Gentiana straminea (Gentianaceae), an endemic species to the Sino-Himalayan subregion.麻花艽(龙胆科)的完整叶绿体基因组,一种中国-喜马拉雅亚地区的特有物种。
Gene. 2016 Feb 15;577(2):281-8. doi: 10.1016/j.gene.2015.12.005. Epub 2015 Dec 9.
5
Comparative Genomic and Phylogenetic Analysis of Forty Chloroplast Genomes.四十个叶绿体基因组的比较基因组学和系统发育分析。
Front Biosci (Landmark Ed). 2022 Aug 9;27(8):236. doi: 10.31083/j.fbl2708236.
6
Comparative transcriptome analyses of three Gentiana species provides signals for the molecular footprints of selection effects and the phylogenetic relationships.三种龙胆属植物的比较转录组分析为选择效应的分子足迹和系统发育关系提供了线索。
Mol Genet Genomics. 2023 Mar;298(2):399-411. doi: 10.1007/s00438-022-01991-2. Epub 2023 Jan 2.
7
Comparative chloroplast genome analysis of Artemisia (Asteraceae) in East Asia: insights into evolutionary divergence and phylogenomic implications.东亚蒿属(菊科)叶绿体基因组比较分析:进化分歧与系统基因组学意义。
BMC Genomics. 2020 Jun 22;21(1):415. doi: 10.1186/s12864-020-06812-7.
8
[Comparative Study on Morphological Characteristics of Root of Six Species in Sect. Cruciata].[十字花科六个物种根的形态特征比较研究]
Zhong Yao Cai. 2015 Sep;38(9):1846-51.
9
Complete chloroplast genomes of Leptodermis scabrida complex: Comparative genomic analyses and phylogenetic relationships.黄麻复合种完整叶绿体基因组:比较基因组分析与系统发育关系。
Gene. 2021 Jul 30;791:145715. doi: 10.1016/j.gene.2021.145715. Epub 2021 May 11.
10
Comparative analysis of complete chloroplast genome sequences of four major Amorphophallus species.比较分析四种主要魔芋属物种的完整叶绿体基因组序列。
Sci Rep. 2019 Jan 28;9(1):809. doi: 10.1038/s41598-018-37456-z.

引用本文的文献

1
Comparative Genomics and Phylogenetics of Chloroplasts Reveal Lower Rates of Genetic Variation in Mango ().叶绿体的比较基因组学和系统发育学揭示了芒果较低的遗传变异率()。
Ecol Evol. 2025 Aug 8;15(8):e71957. doi: 10.1002/ece3.71957. eCollection 2025 Aug.
2
Molecular identification and phylogenetic analysis of confusing species based on DNA barcoding and chloroplast genome.基于DNA条形码和叶绿体基因组的易混淆物种的分子鉴定及系统发育分析
Front Pharmacol. 2025 Jul 11;16:1607947. doi: 10.3389/fphar.2025.1607947. eCollection 2025.
3
Comparative and phylogenetic analysis of Potentilla and Dasiphora (Rosaceae) based on plastid genome.

本文引用的文献

1
The complete chloroplast genome of ..的完整叶绿体基因组
Mitochondrial DNA B Resour. 2017 Jul 11;2(2):395-396. doi: 10.1080/23802359.2017.1347831.
2
The Complete Plastome Sequences of Seven Species in sect. (Gentianaceae): Insights Into Plastid Gene Loss and Molecular Evolution.龙胆科秦艽组七种植物的完整质体基因组序列:对质体基因丢失和分子进化的见解
Front Plant Sci. 2018 May 1;9:493. doi: 10.3389/fpls.2018.00493. eCollection 2018.
3
Authentication of Zanthoxylum Species Based on Integrated Analysis of Complete Chloroplast Genome Sequences and Metabolite Profiles.
基于质体基因组的委陵菜属和山莓草属(蔷薇科)的比较及系统发育分析
BMC Plant Biol. 2025 Feb 10;25(1):176. doi: 10.1186/s12870-025-06186-6.
4
Revealing the Dynamic History of Parasitic Plant Plastomes via Structural Characterization, Comparative Analysis, and Phylogenomics.通过结构表征、比较分析和系统发育基因组学揭示寄生植物质体基因组的动态历史
Genes (Basel). 2024 Dec 8;15(12):1577. doi: 10.3390/genes15121577.
5
Complete chloroplast genome of a montane plant Spathoglottis aurea Lindl.: Comparative analyses and phylogenetic relationships among members of tribe collabieae.山地植物金色匙唇兰(Spathoglottis aurea Lindl.)的完整叶绿体基因组:科拉比族成员间的比较分析和系统发育关系
PLoS One. 2024 Sep 16;19(9):e0291888. doi: 10.1371/journal.pone.0291888. eCollection 2024.
6
Comparative analysis of whole chloroplast genomes of three common species of Nekemias from vine tea.比较分析三种藤茶常见种的全叶绿体基因组。
Sci Rep. 2024 Aug 17;14(1):19107. doi: 10.1038/s41598-024-69932-0.
7
Insights from the first chromosome-level genome assembly of the alpine gentian Gentiana straminea Maxim.高山龙胆 Gentiana straminea Maxim. 的首个染色体水平基因组组装的研究进展
DNA Res. 2024 Oct 1;31(5). doi: 10.1093/dnares/dsae022.
8
An updated phylogeny and adaptive evolution within Amaranthaceae . inferred from multiple phylogenomic datasets.基于多个系统发育基因组数据集推断的苋科最新系统发育及适应性进化
Ecol Evol. 2024 Jul 14;14(7):e70013. doi: 10.1002/ece3.70013. eCollection 2024 Jul.
9
Characterization and phylogenetic analysis of the complete chloroplast genome of and .[物种名称1]和[物种名称2]完整叶绿体基因组的特征分析与系统发育分析
Heliyon. 2024 May 15;10(10):e31248. doi: 10.1016/j.heliyon.2024.e31248. eCollection 2024 May 30.
10
Comparative Analysis of Six Complete Plastomes of spp.六个[物种名称]完整质体基因组的比较分析
Int J Mol Sci. 2024 Feb 22;25(5):2534. doi: 10.3390/ijms25052534.
基于叶绿体全基因组序列和代谢物谱综合分析的花椒属物种鉴定
J Agric Food Chem. 2017 Nov 29;65(47):10350-10359. doi: 10.1021/acs.jafc.7b04167. Epub 2017 Nov 10.
4
HomBlocks: A multiple-alignment construction pipeline for organelle phylogenomics based on locally collinear block searching.HomBlocks:基于局部共线性块搜索的细胞器系统发育基因组学多重比对构建流水线。
Genomics. 2018 Jan;110(1):18-22. doi: 10.1016/j.ygeno.2017.08.001. Epub 2017 Aug 3.
5
Phylogenetic Resolution in Based on Complete Chloroplast Genomes and Nuclear DNA Sequences.基于完整叶绿体基因组和核DNA序列的系统发育分辨率
Front Plant Sci. 2017 Jun 30;8:1148. doi: 10.3389/fpls.2017.01148. eCollection 2017.
6
Phylogenetic studies and comparative chloroplast genome analyses elucidate the basal position of halophyte Nitraria sibirica (Nitrariaceae) in the Sapindales.系统发育研究和叶绿体基因组比较分析阐明了盐生植物西伯利亚白刺(蒺藜科)在无患子目中的基部位置。
Mitochondrial DNA A DNA Mapp Seq Anal. 2018 Jul;29(5):745-755. doi: 10.1080/24701394.2017.1350954. Epub 2017 Jul 15.
7
Chloroplast Genomic Resource of Paris for Species Discrimination.巴黎叶绿体基因组资源用于物种鉴别。
Sci Rep. 2017 Jun 13;7(1):3427. doi: 10.1038/s41598-017-02083-7.
8
Authentication Markers for Five Major Panax Species Developed via Comparative Analysis of Complete Chloroplast Genome Sequences.基于叶绿体全基因组序列比较分析的五种主要人参属物种鉴定标记的开发。
J Agric Food Chem. 2017 Aug 2;65(30):6298-6306. doi: 10.1021/acs.jafc.7b00925. Epub 2017 Jul 21.
9
Phylogenomic relationship of feijoa (Acca sellowiana (O.Berg) Burret) with other Myrtaceae based on complete chloroplast genome sequences.基于完整叶绿体基因组序列的费约果(Acca sellowiana (O.Berg) Burret)与其他桃金娘科植物的系统发育关系。
Genetica. 2017 Apr;145(2):163-174. doi: 10.1007/s10709-017-9954-1. Epub 2017 Feb 9.
10
Completion of the Chloroplast Genomes of Five Chinese and Their Contribution to Chloroplast Phylogeny.五个中国物种叶绿体基因组的完成及其对叶绿体系统发育的贡献。
Front Plant Sci. 2017 Jan 6;7:1955. doi: 10.3389/fpls.2016.01955. eCollection 2016.