Facultad de Medicina, Benemérita Universidad Autónoma de Puebla, Puebla 72410, Mexico.
Hospital General del Sur, Puebla 72490, Mexico.
Int J Mol Sci. 2018 Sep 14;19(9):2758. doi: 10.3390/ijms19092758.
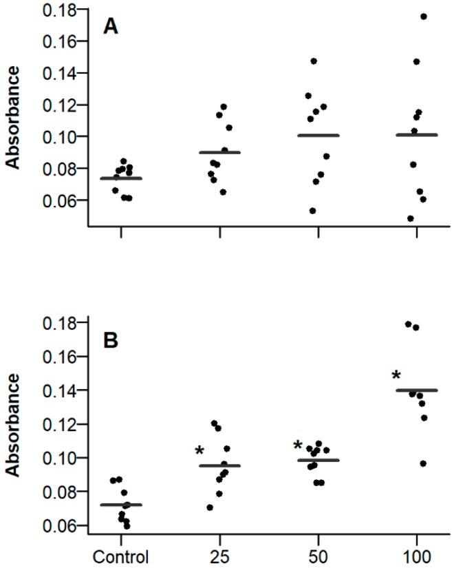
Lung surfactant is a complex mixture of phospholipids and specific proteins but its role in the pathogenesis of interstitial lung diseases is not established. Herein, we analyzed the effects of three representative phospholipid components, that is, dipalmitoilphosphatidylcoline (DPPC), phosphatidylglycerol (PG) and phosphatidylethanolamine (PE), on collagen expression, apoptosis and Ca signaling in normal human lung fibroblasts (NHLF) and probed their effect in an experimental model of lung fibrosis. Collagen expression was measured with RT-PCR, apoptosis was measured by using either the APOPercentage assay kit (Biocolor Ltd., Northern Ireland, UK) or the Caspase-Glo 3/7 assay (Promega, Madison, WI, USA) and Ca signaling by conventional epifluorescence imaging. The effect in vivo was tested in bleomycin-induced lung fibrosis in mice. DPPC and PG did not affect collagen expression, which was downregulated by PE. Furthermore, PE promoted apoptosis and induced a dose-dependent Ca signal. PE-induced Ca signal and apoptosis were both blocked by phospholipase C, endoplasmic reticulum pump and store-operated Ca entry inhibition. PE-induced decrease in collagen expression was attenuated by blocking phospholipase C. Finally, surfactant enriched with PE and PE itself attenuated bleomycin-induced lung fibrosis and decreased the soluble collagen concentration in mice lungs. This study demonstrates that PE strongly contributes to the surfactant-induced inhibition of collagen expression in NHLF through a Ca signal and that early administration of Beractant enriched with PE diminishes lung fibrosis in vivo.
肺表面活性剂是一种复杂的磷脂和特定蛋白质混合物,但它在间质性肺疾病发病机制中的作用尚未确定。在此,我们分析了三种代表性磷脂成分,即二棕榈酰磷脂酰胆碱(DPPC)、磷脂酰甘油(PG)和磷脂酰乙醇胺(PE)对正常人肺成纤维细胞(NHLF)胶原表达、凋亡和 Ca 信号的影响,并在肺纤维化的实验模型中研究了它们的作用。用 RT-PCR 测定胶原表达,用 APOPercentage 试剂盒(Biocolor Ltd.,北爱尔兰,英国)或 Caspase-Glo 3/7 测定试剂盒(Promega,麦迪逊,WI,美国)测定凋亡,用常规荧光显微镜成像测定 Ca 信号。在博来霉素诱导的小鼠肺纤维化模型中测试体内效果。DPPC 和 PG 不影响胶原表达,而 PE 则下调胶原表达。此外,PE 促进凋亡并诱导剂量依赖性 Ca 信号。PE 诱导的 Ca 信号和凋亡均被磷脂酶 C、内质网泵和储存操作的 Ca 内流抑制剂阻断。PE 诱导的胶原表达减少被磷脂酶 C 阻断所减弱。最后,富含 PE 的表面活性剂和 PE 本身可减轻博来霉素诱导的肺纤维化,并降低小鼠肺部可溶性胶原蛋白浓度。本研究表明,PE 通过 Ca 信号强烈促进肺表面活性剂诱导的 NHLF 胶原表达抑制,并且早期给予富含 PE 的 Beractant 可减少体内肺纤维化。