State Key Laboratory of Crop Stress Biology for Arid Areas/Shaanxi Key Laboratory of Apple, College of Horticulture, Northwest A & F University, Yangling 712100, China.
Int J Mol Sci. 2018 Sep 14;19(9):2761. doi: 10.3390/ijms19092761.
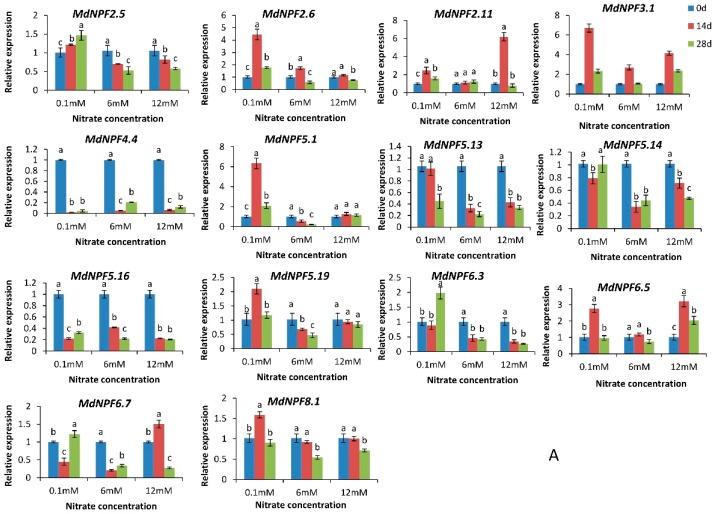
The NITRATE TRANSPORTER 1/PEPTIDE TRANSPORTER family (NPF) proteins play important roles in moving substrates such as nitrate, peptides, amino acids, dicarboxylates, malate, glucosinolates, indole acetic acid (IAA), abscisic acid (ABA), and jasmonic acid. Although a unified nomenclature of NPF members in plants has been reported, this gene family has not been studied as thoroughly in apple ( × Borkh.) as it has in other species. Our objective was to provide general information about apple s and analyze the transcriptional responses of some members to different levels of nitrate supplies. We identified 73 of these genes from the apple genome and used phylogenetic analysis to organize them into eight major groups. These apple NPFs are structurally conserved, based on alignment of amino acid sequences and analyses of phylogenetics and conserved domains. Examination of their genomic structures indicated that these genes are highly conserved among other species. We monitored 14 cloned s that showed varied expression patterns under different nitrate concentrations and in different tissues. Among them, was significantly induced by both low and high levels of nitrate. When compared with the wild type, transgenic apple calli were more tolerant to low-N stress, which demonstrated that this gene confers greater capacity for nitrogen uptake under those conditions. We also analyzed the expression patterns of those 73 genes in various tissues. Our findings benefit future research on this family of genes.
硝酸根转运蛋白 1/肽转运蛋白家族(NPF)蛋白在转运底物(如硝酸盐、肽、氨基酸、二羧酸、苹果酸、硫代葡萄糖苷、吲哚乙酸(IAA)、脱落酸(ABA)和茉莉酸)方面发挥着重要作用。虽然已经报道了植物中 NPF 成员的统一命名法,但与其他物种相比,苹果(×Borkh.)中对该基因家族的研究还不够深入。我们的目标是提供有关苹果的一般信息,并分析一些成员对不同水平硝酸盐供应的转录反应。我们从苹果基因组中鉴定出 73 个这样的基因,并使用系统发育分析将它们组织成八个主要组。这些苹果 NPF 基于氨基酸序列的比对和系统发育与保守结构域分析,在结构上是保守的。检查它们的基因组结构表明,这些基因在其他物种中高度保守。我们监测了 14 个克隆的基因,这些基因在不同的硝酸盐浓度和不同的组织中表现出不同的表达模式。其中, 被低浓度和高浓度的硝酸盐都显著诱导。与野生型相比, 转基因苹果愈伤组织对低氮胁迫的耐受性更强,这表明该基因在这些条件下具有更强的氮吸收能力。我们还分析了这 73 个基因在各种组织中的表达模式。我们的研究结果有助于对该基因家族的未来研究。