• 文献检索
  • 文档翻译
  • 深度研究
  • 学术资讯
  • Suppr Zotero 插件Zotero 插件
  • 邀请有礼
  • 套餐&价格
  • 历史记录
应用&插件
Suppr Zotero 插件Zotero 插件浏览器插件Mac 客户端Windows 客户端微信小程序
定价
高级版会员购买积分包购买API积分包
服务
文献检索文档翻译深度研究API 文档MCP 服务
关于我们
关于 Suppr公司介绍联系我们用户协议隐私条款
关注我们

Suppr 超能文献

核心技术专利:CN118964589B侵权必究
粤ICP备2023148730 号-1Suppr @ 2026

文献检索

告别复杂PubMed语法,用中文像聊天一样搜索,搜遍4000万医学文献。AI智能推荐,让科研检索更轻松。

立即免费搜索

文件翻译

保留排版,准确专业,支持PDF/Word/PPT等文件格式,支持 12+语言互译。

免费翻译文档

深度研究

AI帮你快速写综述,25分钟生成高质量综述,智能提取关键信息,辅助科研写作。

立即免费体验

底物积累和细胞外基质重塑促进黏多糖贮积症患者酶替代治疗后持续性上气道疾病。

Substrate accumulation and extracellular matrix remodelling promote persistent upper airway disease in mucopolysaccharidosis patients on enzyme replacement therapy.

机构信息

Department of Paediatric Otolaryngology, Royal Manchester Children's Hospital, Manchester, United Kingdom.

Stem Cell and Neurotherapies, Division of Cell Matrix Biology & Regenerative Medicine, Faculty of Biology, Medicine and Health, Manchester Academic Health Science Centre, University of Manchester, Manchester, United Kingdom.

出版信息

PLoS One. 2018 Sep 18;13(9):e0203216. doi: 10.1371/journal.pone.0203216. eCollection 2018.

DOI:10.1371/journal.pone.0203216
PMID:30226843
原文链接:https://pmc.ncbi.nlm.nih.gov/articles/PMC6143186/
Abstract

INTRODUCTION

Mucopolysaccharide diseases are a group of lysosomal storage disorders caused by deficiencies of hydrolase enzymes, leading to pathological glycosaminoglycan accumulation. A number of mucopolysaccharidosis (MPS) types are characterised by severe airway disease, the aetiology of which is poorly understood. There is ongoing evidence of significant clinical disease in the long-term despite disease modifying therapeutic strategies, including enzyme-replacement therapy (ERT). To provide a better understanding of this aspect of disease, we have characterised extracellular matrix (ECM) and inflammatory alterations in adenotonsillar tissue samples from 8 MPS patients.

METHODS

Adenotonsillar samples from MPS I, IVA and VI ERT treated patients and from a single enzyme naïve MPS IIIA individual were compared to non-affected control samples using quantitative immunohistochemistry, qPCR and biochemical analysis.

RESULTS

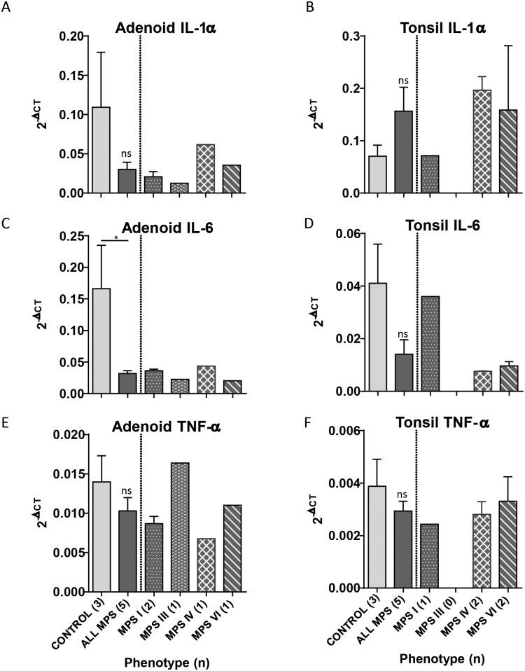
Significantly increased lysosomal compartment size and total sulphated glycosaminoglycan (p = 0.0007, 0.02) were identified in patient samples despite ERT. Heparan sulphate glycosaminoglycan was significantly elevated in MPS I and IIIA (p = 0.002), confirming incomplete reversal of disease. Collagen IV and laminin α-5 (p = 0.002, 0.0004) staining demonstrated increased ECM deposition within the reticular and capillary network of MPS samples. No significant change in the expression of the pro-inflammatory cytokines IL-1α, IL-6 or TNF-α was seen compared to control.

CONCLUSION

This study suggests a role for ECM remodelling contributing to the obstructive phenotype of airway disease in MPS. Current therapeutic strategies with ERT fail to normalise these pathological alterations within adenotonsillar samples. Our findings lend novel insight into the pathological cascade of events, with primarily structural rather than inflammatory changes contributing to the continuing phenotype seen in patients despite current therapeutic regimes.

摘要

简介

黏多糖贮积症是一组由水解酶缺乏引起的溶酶体贮积症,导致病理性糖胺聚糖积累。许多黏多糖贮积症(MPS)类型的特征是严重的气道疾病,其病因尚不清楚。尽管有疾病修饰治疗策略,包括酶替代疗法(ERT),但仍有持续的证据表明长期存在显著的临床疾病。为了更好地了解疾病的这一方面,我们对 8 名 MPS 患者的腺样体组织样本中的细胞外基质(ECM)和炎症改变进行了特征描述。

方法

使用定量免疫组织化学、qPCR 和生化分析,比较 MPS I、IVA 和 VI ERT 治疗患者以及单个未经酶治疗的 MPS IIIA 个体的腺样体样本与非受累对照样本。

结果

尽管进行了 ERT,但在患者样本中仍发现溶酶体腔大小和总硫酸化糖胺聚糖显著增加(p = 0.0007,0.02)。MPS I 和 IIIA 中的肝素硫酸糖胺聚糖显著升高(p = 0.002),证实疾病未完全逆转。IV 型胶原和层粘连蛋白α-5(p = 0.002,0.0004)染色显示 MPS 样本中的 ECM 沉积在网状和毛细血管网络内增加。与对照相比,促炎细胞因子 IL-1α、IL-6 或 TNF-α 的表达没有明显变化。

结论

本研究表明 ECM 重塑在 MPS 气道疾病的阻塞表型中起作用。ERT 目前的治疗策略未能使腺样体样本中的这些病理改变正常化。我们的发现为病理级联事件提供了新的见解,主要是结构改变而不是炎症改变导致尽管目前的治疗方案,但患者仍持续出现表型。

https://cdn.ncbi.nlm.nih.gov/pmc/blobs/a8f7/6143186/82eb72779665/pone.0203216.g006.jpg
https://cdn.ncbi.nlm.nih.gov/pmc/blobs/a8f7/6143186/726d29454b64/pone.0203216.g001.jpg
https://cdn.ncbi.nlm.nih.gov/pmc/blobs/a8f7/6143186/e799b923fac0/pone.0203216.g002.jpg
https://cdn.ncbi.nlm.nih.gov/pmc/blobs/a8f7/6143186/796ab8bfc0df/pone.0203216.g003.jpg
https://cdn.ncbi.nlm.nih.gov/pmc/blobs/a8f7/6143186/19626f37d0be/pone.0203216.g004.jpg
https://cdn.ncbi.nlm.nih.gov/pmc/blobs/a8f7/6143186/d993079ebd9d/pone.0203216.g005.jpg
https://cdn.ncbi.nlm.nih.gov/pmc/blobs/a8f7/6143186/82eb72779665/pone.0203216.g006.jpg
https://cdn.ncbi.nlm.nih.gov/pmc/blobs/a8f7/6143186/726d29454b64/pone.0203216.g001.jpg
https://cdn.ncbi.nlm.nih.gov/pmc/blobs/a8f7/6143186/e799b923fac0/pone.0203216.g002.jpg
https://cdn.ncbi.nlm.nih.gov/pmc/blobs/a8f7/6143186/796ab8bfc0df/pone.0203216.g003.jpg
https://cdn.ncbi.nlm.nih.gov/pmc/blobs/a8f7/6143186/19626f37d0be/pone.0203216.g004.jpg
https://cdn.ncbi.nlm.nih.gov/pmc/blobs/a8f7/6143186/d993079ebd9d/pone.0203216.g005.jpg
https://cdn.ncbi.nlm.nih.gov/pmc/blobs/a8f7/6143186/82eb72779665/pone.0203216.g006.jpg

相似文献

1
Substrate accumulation and extracellular matrix remodelling promote persistent upper airway disease in mucopolysaccharidosis patients on enzyme replacement therapy.底物积累和细胞外基质重塑促进黏多糖贮积症患者酶替代治疗后持续性上气道疾病。
PLoS One. 2018 Sep 18;13(9):e0203216. doi: 10.1371/journal.pone.0203216. eCollection 2018.
2
Characterization of pulmonary function impairments in patients with mucopolysaccharidoses--changes with age and treatment.黏多糖贮积症患者肺功能损害的特征——随年龄和治疗的变化
Pediatr Pulmonol. 2014 Mar;49(3):277-84. doi: 10.1002/ppul.22774. Epub 2013 Feb 8.
3
Management of infusion-related reactions to enzyme replacement therapy in a cohort of patients with mucopolysaccharidosis disorders.黏多糖贮积症患者队列中酶替代疗法相关输液反应的管理。
Int J Clin Pharmacol Ther. 2009;47 Suppl 1:S100-6. doi: 10.5414/cpp47100.
4
Inflammatory process and oxidative/nitrative stress: in vivo study in mucopolysaccharidosis type IV A patients under long-term enzyme replacement therapy.炎症过程与氧化/硝化应激:长期酶替代疗法治疗IV A型黏多糖贮积症患者的体内研究
Arch Biochem Biophys. 2023 Mar 15;737:109541. doi: 10.1016/j.abb.2023.109541. Epub 2023 Feb 6.
5
Cerebral magnetic resonance findings during enzyme replacement therapy in mucopolysaccharidosis.黏多糖贮积症酶替代治疗期间的脑磁共振成像结果
Pediatr Radiol. 2017 Nov;47(12):1659-1669. doi: 10.1007/s00247-017-3935-5. Epub 2017 Jul 21.
6
Oxidative stress and inflammation in mucopolysaccharidosis type IVA patients treated with enzyme replacement therapy.接受酶替代疗法治疗的IVA型黏多糖贮积症患者的氧化应激与炎症
Biochim Biophys Acta. 2015 May;1852(5):1012-9. doi: 10.1016/j.bbadis.2015.02.004. Epub 2015 Feb 19.
7
[Enzyme replacement therapy for mucopolysaccharidoses I, II and VI: recommendations from a group of Brazilian F experts].[黏多糖贮积症 I、II 和 VI 的酶替代疗法:一组巴西专家的建议]
Rev Assoc Med Bras (1992). 2010 May-Jun;56(3):271-7. doi: 10.1590/s0104-42302010000300009.
8
Retrospective chart review of urinary glycosaminoglycan excretion and long-term clinical outcomes of enzyme replacement therapy in patients with mucopolysaccharidoses.回顾性分析黏多糖贮积症患者尿糖胺聚糖排泄与酶替代治疗长期临床结局
Mol Genet Metab. 2020 Aug;130(4):255-261. doi: 10.1016/j.ymgme.2020.06.004. Epub 2020 Jun 11.
9
Mucopolysaccharidosis: Otolaryngologic findings, obstructive sleep apnea and accumulation of glucosaminoglycans in lymphatic tissue of the upper airway.黏多糖贮积症:耳鼻喉科检查结果、阻塞性睡眠呼吸暂停以及上气道淋巴组织中糖胺聚糖的蓄积
Int J Pediatr Otorhinolaryngol. 2014 Jun;78(6):944-9. doi: 10.1016/j.ijporl.2014.03.021. Epub 2014 Mar 27.
10
Glycosaminoglycans analysis in blood and urine of patients with mucopolysaccharidosis.糖胺聚糖分析在黏多糖贮积症患者的血液和尿液。
Mol Genet Metab. 2018 Sep;125(1-2):44-52. doi: 10.1016/j.ymgme.2018.04.011. Epub 2018 May 17.

引用本文的文献

1
Endocannabinoid receptor 2 is a potential biomarker and therapeutic target for the lysosomal storage disorders.内源性大麻素受体2是溶酶体贮积症的潜在生物标志物和治疗靶点。
J Inherit Metab Dis. 2025 Jan;48(1):e12813. doi: 10.1002/jimd.12813. Epub 2024 Nov 21.
2
Combining angiotensin receptor blockade and enzyme replacement therapy for vascular disease in mucopolysaccharidosis type I.联合血管紧张素受体阻断和酶替代疗法治疗Ⅰ型黏多糖贮积症中的血管疾病。
Mol Genet Metab Rep. 2023 Dec 14;38:101036. doi: 10.1016/j.ymgmr.2023.101036. eCollection 2024 Mar.
3
Adenotonsillar pathology in mucopolysaccharidoses - lysosomal storage predominates in paracortical CD63+ cells.

本文引用的文献

1
The impact of laronidase treatment in otolaryngological manifestations of patients with mucopolysaccharidosis.拉罗尼酶治疗对黏多糖贮积症患者耳鼻喉科表现的影响。
Braz J Otorhinolaryngol. 2016 Sep-Oct;82(5):522-8. doi: 10.1016/j.bjorl.2015.09.006. Epub 2015 Dec 17.
2
IL-6 as a keystone cytokine in health and disease.IL-6 作为健康与疾病中的关键细胞因子。
Nat Immunol. 2015 May;16(5):448-57. doi: 10.1038/ni.3153.
3
Sleep disordered breathing in mucopolysaccharidosis I: a multivariate analysis of patient, therapeutic and metabolic correlators modifying long term clinical outcome.
黏多糖贮积症的咽扁桃体病理学——溶酶体贮积主要见于副皮质区 CD63+细胞。
Virchows Arch. 2024 Jan;484(1):135-140. doi: 10.1007/s00428-023-03662-y. Epub 2023 Oct 3.
4
Non-cardiac Manifestations in Adult Patients With Mucopolysaccharidosis.成人黏多糖贮积症患者的非心脏表现
Front Cardiovasc Med. 2022 Mar 7;9:839391. doi: 10.3389/fcvm.2022.839391. eCollection 2022.
5
Innate Immunity in Mucopolysaccharide Diseases.黏多糖贮积症中的先天性免疫
Int J Mol Sci. 2022 Feb 11;23(4):1999. doi: 10.3390/ijms23041999.
6
The cell surface hyaluronidase TMEM2 is essential for systemic hyaluronan catabolism and turnover.细胞表面透明质酸酶 TMEM2 对于全身透明质酸的分解代谢和周转是必需的。
J Biol Chem. 2021 Nov;297(5):101281. doi: 10.1016/j.jbc.2021.101281. Epub 2021 Oct 6.
7
Airway Abnormalities in Adult Mucopolysaccharidosis and Development of Salford Mucopolysaccharidosis Airway Score.成人黏多糖贮积症的气道异常与索尔福德黏多糖贮积症气道评分的发展
J Clin Med. 2021 Jul 24;10(15):3275. doi: 10.3390/jcm10153275.
8
Intravenous Enzyme Replacement Therapy in Mucopolysaccharidoses: Clinical Effectiveness and Limitations.静脉内酶替代疗法治疗黏多糖贮积症:临床疗效和局限性。
Int J Mol Sci. 2020 Apr 23;21(8):2975. doi: 10.3390/ijms21082975.
黏多糖贮积症 I 型中的睡眠呼吸障碍:对影响长期临床结局的患者、治疗及代谢相关因素的多变量分析
Orphanet J Rare Dis. 2015 Apr 10;10:42. doi: 10.1186/s13023-015-0255-4.
4
Long-term outcome of Hurler syndrome patients after hematopoietic cell transplantation: an international multicenter study.Hurler 综合征患者造血细胞移植后的长期结果:一项国际多中心研究。
Blood. 2015 Mar 26;125(13):2164-72. doi: 10.1182/blood-2014-11-608075. Epub 2015 Jan 26.
5
Adenoids of patients with mucopolysaccharidoses demonstrate typical alterations.黏多糖贮积症患者的腺样体表现出典型的改变。
Int J Pediatr Otorhinolaryngol. 2015 Feb;79(2):115-8. doi: 10.1016/j.ijporl.2014.11.014. Epub 2014 Nov 24.
6
Extracellular matrix disruption is an early event in the pathogenesis of skeletal disease in mucopolysaccharidosis I.细胞外基质破坏是黏多糖贮积症I型骨骼疾病发病机制中的早期事件。
Mol Genet Metab. 2015 Feb;114(2):146-55. doi: 10.1016/j.ymgme.2014.09.012. Epub 2014 Oct 7.
7
Multi-domain impact of elosufase alfa in Morquio A syndrome in the pivotal phase III trial.在关键的III期试验中,艾洛硫酸酯酶α对黏多糖贮积症IVA型的多领域影响。
Mol Genet Metab. 2015 Feb;114(2):178-85. doi: 10.1016/j.ymgme.2014.08.012. Epub 2014 Sep 6.
8
Airway-related symptoms and surgeries in patients with mucopolysaccharidosis I.黏多糖贮积症 I 型患者的气道相关症状及手术
Ann Otol Rhinol Laryngol. 2015 Mar;124(3):198-205. doi: 10.1177/0003489414550154. Epub 2014 Sep 11.
9
Efficacy and safety of enzyme replacement therapy with BMN 110 (elosulfase alfa) for Morquio A syndrome (mucopolysaccharidosis IVA): a phase 3 randomised placebo-controlled study.BMN 110(艾洛硫酸酯酶α)酶替代疗法治疗莫氏综合征A(黏多糖贮积症IVA)的疗效和安全性:一项3期随机安慰剂对照研究。
J Inherit Metab Dis. 2014 Nov;37(6):979-90. doi: 10.1007/s10545-014-9715-6. Epub 2014 May 9.
10
Mucopolysaccharidosis: Otolaryngologic findings, obstructive sleep apnea and accumulation of glucosaminoglycans in lymphatic tissue of the upper airway.黏多糖贮积症:耳鼻喉科检查结果、阻塞性睡眠呼吸暂停以及上气道淋巴组织中糖胺聚糖的蓄积
Int J Pediatr Otorhinolaryngol. 2014 Jun;78(6):944-9. doi: 10.1016/j.ijporl.2014.03.021. Epub 2014 Mar 27.