Suppr超能文献

采用溶胶-凝胶法制备含绿原酸的硅/聚乙二醇杂化材料。

Silica/Polyethylene Glycol Hybrid Materials Prepared by a Sol-Gel Method and Containing Chlorogenic Acid.

机构信息

Department of Engineering, University of Campania "Luigi Vanvitelli", Via Roma 29, I-81031 Aversa, Italy.

Department of Precision Medicine, University of Campania "Luigi Vanvitelli" Via L. De Crecchio 7, 80138 Naples, Italy.

出版信息

Molecules. 2018 Sep 25;23(10):2447. doi: 10.3390/molecules23102447.

Abstract

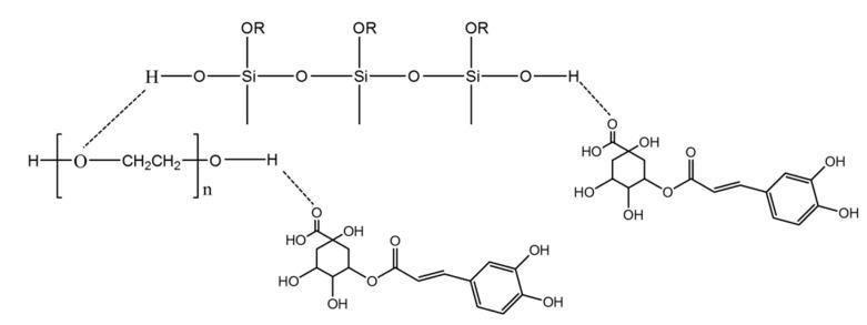
Chlorogenic acid (CGA) is a very common dietary polyphenolic compound. CGA is becoming very attractive due to its potential use as preventive and therapeutic agent in many diseases, including cancer. Inorganic/organic hybrid materials are gaining considerable attention in the biomedical field. The sol-gel process provides a useful way to obtain functional organic/inorganic hybrids. The aim of this study was to synthesize silica/polyethylene glycol (PEG) hybrids with different percentages of CGA by sol-gel technique and to investigate their impact on the cancer cell proliferation. Synthesized materials have been chemically characterized through the FTIR spectroscopy and their bioactivity evaluated looking by SEM at their ability to produce a hydroxyapatite layer on their surface upon incubation with simulated body fluid (SBF). Finally, their effects on cell proliferation were studied in cell lines by direct cell number counting, MTT, flow cytometry-based cell-cycle and cell death assays, and immunoblotting experiments. Notably, we found that SiO₂/PEG/CGA hybrids exhibit clear antiproliferative effects in different tumor, including breast cancer and osteosarcoma, cell lines in a CGA dependent manner, but not in normal cells. Overall, our results increase the evidence of CGA as a possible anticancer agent and illustrate the potential for clinical applications of sol-gel synthesized SiO₂/PEG/CGA materials.

摘要

绿原酸(CGA)是一种非常常见的饮食多酚化合物。由于其在许多疾病(包括癌症)中的预防和治疗作用,CGA 变得非常有吸引力。无机/有机杂化材料在生物医学领域引起了相当大的关注。溶胶-凝胶法提供了一种获得功能性有机/无机杂化材料的有用方法。本研究的目的是通过溶胶-凝胶技术合成具有不同 CGA 百分比的硅石/聚乙二醇(PEG)杂化材料,并研究它们对癌细胞增殖的影响。通过傅里叶变换红外光谱(FTIR)对合成材料进行了化学表征,并通过扫描电子显微镜(SEM)观察其在与模拟体液(SBF)孵育时在表面上生成羟基磷灰石层的能力来评估其生物活性。最后,通过直接细胞计数、MTT、基于流式细胞术的细胞周期和细胞死亡测定以及免疫印迹实验研究了它们在细胞系中的增殖作用。值得注意的是,我们发现 SiO₂/PEG/CGA 杂化材料以 CGA 依赖性方式在不同的肿瘤(包括乳腺癌和骨肉瘤)细胞系中表现出明显的抗增殖作用,但在正常细胞中则没有。总的来说,我们的结果增加了 CGA 作为一种潜在的抗癌剂的证据,并说明了溶胶-凝胶合成的 SiO₂/PEG/CGA 材料在临床应用中的潜力。

https://cdn.ncbi.nlm.nih.gov/pmc/blobs/8885/6222366/3065664462a6/molecules-23-02447-g001.jpg

文献AI研究员

20分钟写一篇综述,助力文献阅读效率提升50倍。

立即体验

用中文搜PubMed

大模型驱动的PubMed中文搜索引擎

马上搜索

文档翻译

学术文献翻译模型,支持多种主流文档格式。

立即体验