Suppr超能文献

在中等发达地区,哺乳动物群落的规模更大,种类也更多。

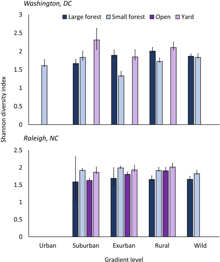
Mammal communities are larger and more diverse in moderately developed areas.

机构信息

North Carolina Museum of Natural Sciences, Raleigh, United States.

Department of Forestry & Environmental Resources, North Carolina State University, Raleigh, United States.

出版信息

Elife. 2018 Oct 2;7:e38012. doi: 10.7554/eLife.38012.

Abstract

Developed areas are thought to have low species diversity, low animal abundance, few native predators, and thus low resilience and ecological function. Working with citizen scientist volunteers to survey mammals at 1427 sites across two development gradients (wild-rural-exurban-suburban-urban) and four plot types (large forests, small forest fragments, open areas and residential yards) in the eastern US, we show that developed areas actually had significantly higher or statistically similar mammalian occupancy, relative abundance, richness and diversity compared to wild areas. However, although some animals can thrive in suburbia, conservation of wild areas and preservation of green space within cities are needed to protect sensitive species and to give all species the chance to adapt and persist in the Anthropocene.

摘要

发达地区被认为物种多样性低、动物数量少、本地捕食者少,因此恢复力和生态功能也低。通过与公民科学家志愿者合作,在美国东部的两条发展梯度(野生-农村-近郊区-郊区-城市)和四种样地类型(大型森林、小型森林片段、开阔地和居民区)的 1427 个地点对哺乳动物进行调查,我们发现,与野生地区相比,发达地区的哺乳动物实际占有量、相对丰度、丰富度和多样性更高,或者具有统计学上的相似性。然而,尽管有些动物可以在郊区茁壮成长,但仍需要保护野生地区和城市中的绿色空间,以保护敏感物种,并让所有物种有机会在人类世中适应和生存。

https://cdn.ncbi.nlm.nih.gov/pmc/blobs/ac7b/6168282/a1b9d1834440/elife-38012-fig1.jpg

文献AI研究员

20分钟写一篇综述,助力文献阅读效率提升50倍。

立即体验

用中文搜PubMed

大模型驱动的PubMed中文搜索引擎

马上搜索

文档翻译

学术文献翻译模型,支持多种主流文档格式。

立即体验