• 文献检索
  • 文档翻译
  • 深度研究
  • 学术资讯
  • Suppr Zotero 插件Zotero 插件
  • 邀请有礼
  • 套餐&价格
  • 历史记录
应用&插件
Suppr Zotero 插件Zotero 插件浏览器插件Mac 客户端Windows 客户端微信小程序
定价
高级版会员购买积分包购买API积分包
服务
文献检索文档翻译深度研究API 文档MCP 服务
关于我们
关于 Suppr公司介绍联系我们用户协议隐私条款
关注我们

Suppr 超能文献

核心技术专利:CN118964589B侵权必究
粤ICP备2023148730 号-1Suppr @ 2026

文献检索

告别复杂PubMed语法,用中文像聊天一样搜索,搜遍4000万医学文献。AI智能推荐,让科研检索更轻松。

立即免费搜索

文件翻译

保留排版,准确专业,支持PDF/Word/PPT等文件格式,支持 12+语言互译。

免费翻译文档

深度研究

AI帮你快速写综述,25分钟生成高质量综述,智能提取关键信息,辅助科研写作。

立即免费体验

温和加热与高压巴氏杀菌对磷酸盐缓冲盐水和原料乳中嗜冷菌及天然微生物的协同作用

Synergism of Mild Heat and High-Pressure Pasteurization Against and Natural Microflora in Phosphate-Buffered Saline and Raw Milk.

作者信息

Allison Abimbola, Chowdhury Shahid, Fouladkhah Aliyar

机构信息

Public Health Microbiology Laboratory, Tennessee State University, Nashville, TN 37209, USA.

Cooperative Extension Program, Tennessee State University, Nashville, TN 37209, USA.

出版信息

Microorganisms. 2018 Oct 3;6(4):102. doi: 10.3390/microorganisms6040102.

DOI:10.3390/microorganisms6040102
PMID:30282934
原文链接:https://pmc.ncbi.nlm.nih.gov/articles/PMC6313472/
Abstract

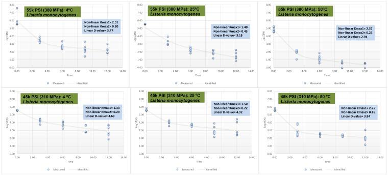
As many as 99% of illnesses caused by are foodborne in nature, leading to 94% hospitalizations, and are responsible for the collective annual deaths of 266 American adults. The current study is a summary of microbiological hurdle validation studies to investigate synergism of mild heat (up to 55 °C) and elevated hydrostatic pressure (up to 380 MPa) for decontamination of and natural background microflora in raw milk and phosphate-buffered saline. At 380 MPa, for treatments of 0 to 12 min, -values of 3.47, 3.15, and 2.94 were observed for inactivation of the pathogen at 4, 25, and 50 °C. Up to 3.73 and >4.26 log CFU/mL reductions ( 0.05) of habituated were achieved using pressure at 380 MPa for 3 and 12 min, respectively. Similarly, background microflora counts were reduced ( 0.05) by 1.3 and >2.4 log CFU/mL after treatments at 380 MPa for 3 and 12 min, respectively. Treatments below three min were less efficacious ( ≥ 0.05) against the pathogen and background microflora, in the vast majority of time and pressure combinations. Results of this study could be incorporated as part of a risk-based food safety management system and risk assessment analyses for mitigating the public health burden of listeriosis.

摘要

高达99%由[病原体名称未给出]引起的疾病本质上是食源性的,导致94%的住院治疗,并造成每年266名美国成年人的死亡。本研究是微生物障碍验证研究的总结,旨在调查温和加热(最高55°C)和升高的静水压力(最高380 MPa)对生牛奶和磷酸盐缓冲盐水中[病原体名称未给出]及天然背景微生物的去污协同作用。在380 MPa下,对于0至12分钟的处理,在4、25和50°C时观察到该病原体失活的-log值分别为3.47、3.15和2.94。使用380 MPa的压力分别处理3分钟和12分钟,可使适应性[病原体名称未给出]分别减少高达3.73和>4.26 log CFU/mL(P<0.05)。同样,在380 MPa下分别处理3分钟和12分钟后,背景微生物数量分别减少了1.3和>2.4 log CFU/mL(P<0.05)。在绝大多数时间和压力组合下,低于3分钟的处理对病原体和背景微生物的效果较差(P≥0.05)。本研究结果可纳入基于风险的食品安全管理系统和风险评估分析中,以减轻李斯特菌病对公共卫生的负担。

https://cdn.ncbi.nlm.nih.gov/pmc/blobs/2c1d/6313472/a61d7ede2138/microorganisms-06-00102-g004.jpg
https://cdn.ncbi.nlm.nih.gov/pmc/blobs/2c1d/6313472/dd5dd078776f/microorganisms-06-00102-g001.jpg
https://cdn.ncbi.nlm.nih.gov/pmc/blobs/2c1d/6313472/2cf3b7b0953d/microorganisms-06-00102-g002.jpg
https://cdn.ncbi.nlm.nih.gov/pmc/blobs/2c1d/6313472/67b89c4e4f52/microorganisms-06-00102-g003.jpg
https://cdn.ncbi.nlm.nih.gov/pmc/blobs/2c1d/6313472/a61d7ede2138/microorganisms-06-00102-g004.jpg
https://cdn.ncbi.nlm.nih.gov/pmc/blobs/2c1d/6313472/dd5dd078776f/microorganisms-06-00102-g001.jpg
https://cdn.ncbi.nlm.nih.gov/pmc/blobs/2c1d/6313472/2cf3b7b0953d/microorganisms-06-00102-g002.jpg
https://cdn.ncbi.nlm.nih.gov/pmc/blobs/2c1d/6313472/67b89c4e4f52/microorganisms-06-00102-g003.jpg
https://cdn.ncbi.nlm.nih.gov/pmc/blobs/2c1d/6313472/a61d7ede2138/microorganisms-06-00102-g004.jpg

相似文献

1
Synergism of Mild Heat and High-Pressure Pasteurization Against and Natural Microflora in Phosphate-Buffered Saline and Raw Milk.温和加热与高压巴氏杀菌对磷酸盐缓冲盐水和原料乳中嗜冷菌及天然微生物的协同作用
Microorganisms. 2018 Oct 3;6(4):102. doi: 10.3390/microorganisms6040102.
2
Inactivation of foodborne pathogens in milk using dynamic high pressure.利用动态高压使牛奶中的食源性病原体失活。
J Food Prot. 2002 Feb;65(2):345-52. doi: 10.4315/0362-028x-65.2.345.
3
Augmenting the Pressure-Based Pasteurization of by Synergism with Nisin and Mild Heat.通过与乳链菌肽协同作用并结合温和加热增强基于压力的巴氏杀菌。
Int J Environ Res Public Health. 2020 Jan 15;17(2):563. doi: 10.3390/ijerph17020563.
4
Use of mild-heat treatment following high-pressure processing to prevent recovery of pressure-injured Listeria monocytogenes in milk.在高压处理后采用温和热处理以防止牛奶中压力损伤的单核细胞增生李斯特菌复苏。
Food Microbiol. 2008 Apr;25(2):288-93. doi: 10.1016/j.fm.2007.10.009. Epub 2007 Oct 22.
5
Effects of Elevated Hydrostatic Pressure against Mesophilic Background Microflora and Habituated Salmonella Serovars in Orange Juice.静水压力升高对橙汁中嗜温性背景微生物群和适应性沙门氏菌血清型的影响。
Microorganisms. 2018 Mar 9;6(1):23. doi: 10.3390/microorganisms6010023.
6
Effect of high-pressure processing on reduction of Listeria monocytogenes in packaged Queso Fresco.高压处理对包装新鲜奶酪中单核细胞增生李斯特菌的减少效果。
J Dairy Sci. 2014 Mar;97(3):1281-95. doi: 10.3168/jds.2013-7538. Epub 2014 Jan 17.
7
Inactivation of Shiga toxin-producing Escherichia coli O157: H7 and mesophilic background microbiota of meat homogenate using elevated hydrostatic pressure, mild heat, and thymol.采用超高压、温和热处理和百里香酚灭活产志贺毒素大肠杆菌 O157:H7 及肉匀浆中嗜温背景菌群
J Food Sci. 2020 Dec;85(12):4335-4341. doi: 10.1111/1750-3841.15526. Epub 2020 Nov 14.
8
Effects of High Pressure Processing and Hot Water Pasteurization of Cooked Sausages on Inactivation of Inoculated Listeria monocytogenes, Natural Populations of Lactic Acid Bacteria, Pseudomonas spp., and Coliforms and Their Recovery during Storage at 4 and 10°C.高压处理和热水巴氏杀菌对 cooked sausages 中接种的李斯特菌、天然乳酸菌、假单胞菌和大肠菌群的灭活效果及其在 4°C 和 10°C 储存期间的恢复情况。
J Food Prot. 2018 Aug;81(8):1245-1251. doi: 10.4315/0362-028X.JFP-18-024.
9
Heat Inactivation of Listeria monocytogenes on Pecans, Macadamia Nuts, and Sunflower Seeds.美洲山核桃、澳洲坚果和葵花籽上单核细胞增生李斯特菌的热失活动力学。
Microbiol Spectr. 2021 Oct 31;9(2):e0113421. doi: 10.1128/Spectrum.01134-21. Epub 2021 Oct 13.
10
Lactose oxidase: An enzymatic approach to inhibit Listeria monocytogenes in milk.乳糖氧化酶:一种抑制牛奶中单核细胞增生李斯特菌的酶法。
J Dairy Sci. 2021 Oct;104(10):10594-10608. doi: 10.3168/jds.2021-20450. Epub 2021 Jul 30.

引用本文的文献

1
Effects of Thermally-Assisted and High-Pressure Processing on Background Microbiota and the Load of a Minimally Processed Commodity.热辅助和高压处理对最低限度加工商品的背景微生物群和负荷的影响。
Microorganisms. 2024 Sep 7;12(9):1858. doi: 10.3390/microorganisms12091858.
2
The efficacy and safety of high-pressure processing of food.食品高压处理的功效与安全性。
EFSA J. 2022 Mar 8;20(3):e07128. doi: 10.2903/j.efsa.2022.7128. eCollection 2022 Mar.
3
Synergistic Effects of Nisin, Lysozyme, Lactic Acid, and Citricidal for Enhancing Pressure-Based Inactivation of , , and Endospores.

本文引用的文献

1
Effects of Elevated Hydrostatic Pressure against Mesophilic Background Microflora and Habituated Salmonella Serovars in Orange Juice.静水压力升高对橙汁中嗜温性背景微生物群和适应性沙门氏菌血清型的影响。
Microorganisms. 2018 Mar 9;6(1):23. doi: 10.3390/microorganisms6010023.
2
Antimicrobial Efficacy of Cinnamaldehyde Against Escherichia coli O157:H7 and Salmonella enterica in Carrot Juice and Mixed Berry Juice Held at 4°C and 12°C.肉桂醛对4°C和12°C下保存的胡萝卜汁和混合浆果汁中大肠杆菌O157:H7和肠炎沙门氏菌的抗菌效果
Foodborne Pathog Dis. 2017 May;14(5):302-307. doi: 10.1089/fpd.2016.2214. Epub 2017 Feb 21.
3
乳链菌肽、溶菌酶、乳酸和柠檬酸对增强基于压力的、、和芽孢失活的协同作用。
Microorganisms. 2021 Mar 21;9(3):653. doi: 10.3390/microorganisms9030653.
4
Sensitivity of wild-type and rifampicin-resistant O157 and non-O157 Shiga toxin-producing Escherichia coli to elevated hydrostatic pressure and lactic acid in ground meat and meat homogenate.野生型及耐利福平的O157和非O157产志贺毒素大肠杆菌在绞碎肉和肉匀浆中对静水压力升高及乳酸的敏感性。
PLoS One. 2021 Feb 18;16(2):e0246735. doi: 10.1371/journal.pone.0246735. eCollection 2021.
5
Sensitivity of Planktonic Cells of to Elevated Hydrostatic Pressure as Affected by Mild Heat, Carvacrol, Nisin, and Caprylic Acid.浮游细胞对升高的静压的敏感性受温和热、香芹酚、乳链菌肽和辛酸的影响。
Int J Environ Res Public Health. 2020 Sep 25;17(19):7033. doi: 10.3390/ijerph17197033.
6
Fate and Biofilm Formation of Wild-Type and Pressure-Stressed Pathogens of Public Health Concern in Surface Water and on Abiotic Surfaces.地表水和非生物表面上具有公共卫生意义的野生型和压力应激病原体的命运及生物膜形成
Microorganisms. 2020 Mar 13;8(3):408. doi: 10.3390/microorganisms8030408.
7
Augmenting the Pressure-Based Pasteurization of by Synergism with Nisin and Mild Heat.通过与乳链菌肽协同作用并结合温和加热增强基于压力的巴氏杀菌。
Int J Environ Res Public Health. 2020 Jan 15;17(2):563. doi: 10.3390/ijerph17020563.
8
Interactions of Carvacrol, Caprylic Acid, Habituation, and Mild Heat for Pressure-Based Inactivation of O157 and Non-O157 Serogroups of Shiga Toxin-Producing in Acidic Environment.香芹酚、辛酸、适应性及温和加热对酸性环境中基于压力的产志贺毒素大肠杆菌O157和非O157血清型的灭活作用
Microorganisms. 2019 May 23;7(5):145. doi: 10.3390/microorganisms7050145.
An assessment of the human health impact of seven leading foodborne pathogens in the United States using disability adjusted life years.
使用伤残调整生命年对美国七种主要食源性病原体对人类健康的影响进行评估。
Epidemiol Infect. 2015 Oct;143(13):2795-804. doi: 10.1017/S0950268814003185. Epub 2015 Jan 30.
4
Recent Advances in Food Processing Using High Hydrostatic Pressure Technology.高压处理技术在食品加工中的最新进展。
Crit Rev Food Sci Nutr. 2016;56(4):527-40. doi: 10.1080/10408398.2012.745479.
5
Lactic acid resistance of Shiga toxin-producing Escherichia coli and multidrug-resistant and susceptible Salmonella Typhimurium and Salmonella Newport in meat homogenate.肉匀浆中产志贺毒素大肠杆菌和多重耐药及敏感鼠伤寒沙门氏菌和纽波特沙门氏菌的耐乳酸能力。
Food Microbiol. 2013 Dec;36(2):260-6. doi: 10.1016/j.fm.2013.06.005. Epub 2013 Jun 19.
6
Kinetics of Bacillus cereus spore inactivation in cooked rice by combined pressure-heat treatment.复合压力-热处理对米饭中蜡样芽孢杆菌孢子失活动力学的影响。
J Food Prot. 2013 Apr;76(4):616-23. doi: 10.4315/0362-028X.JFP-12-447.
7
Antilisterial properties of marinades during refrigerated storage and microwave oven reheating against post-cooking inoculated chicken breast meat.腌制液在冷藏和微波炉复热过程中对经烹调接种鸡胸肉的抗李斯特菌性能。
J Food Sci. 2013 Feb;78(2):M285-9. doi: 10.1111/1750-3841.12009. Epub 2013 Jan 11.
8
Foodborne illness acquired in the United States--major pathogens.食源性疾病在美国的感染情况——主要病原体。
Emerg Infect Dis. 2011 Jan;17(1):7-15. doi: 10.3201/eid1701.p11101.
9
The effects of growth temperature and growth phase on the inactivation of Listeria monocytogenes in whole milk subject to high pressure processing.生长温度和生长阶段对全脂牛奶中经高压处理的单核细胞增生李斯特菌失活的影响。
Int J Food Microbiol. 2007 Apr 10;115(2):220-6. doi: 10.1016/j.ijfoodmicro.2006.10.019. Epub 2006 Dec 14.
10
GInaFiT, a freeware tool to assess non-log-linear microbial survivor curves.GInaFiT,一款用于评估非对数线性微生物存活曲线的免费软件工具。
Int J Food Microbiol. 2005 Jun 25;102(1):95-105. doi: 10.1016/j.ijfoodmicro.2004.11.038.