• 文献检索
  • 文档翻译
  • 深度研究
  • 学术资讯
  • Suppr Zotero 插件Zotero 插件
  • 邀请有礼
  • 套餐&价格
  • 历史记录
应用&插件
Suppr Zotero 插件Zotero 插件浏览器插件Mac 客户端Windows 客户端微信小程序
定价
高级版会员购买积分包购买API积分包
服务
文献检索文档翻译深度研究API 文档MCP 服务
关于我们
关于 Suppr公司介绍联系我们用户协议隐私条款
关注我们

Suppr 超能文献

核心技术专利:CN118964589B侵权必究
粤ICP备2023148730 号-1Suppr @ 2026

文献检索

告别复杂PubMed语法,用中文像聊天一样搜索,搜遍4000万医学文献。AI智能推荐,让科研检索更轻松。

立即免费搜索

文件翻译

保留排版,准确专业,支持PDF/Word/PPT等文件格式,支持 12+语言互译。

免费翻译文档

深度研究

AI帮你快速写综述,25分钟生成高质量综述,智能提取关键信息,辅助科研写作。

立即免费体验

ABD 衍生的人白细胞介素 17 受体 A 蛋白阻断剂作为非免疫球蛋白替代物,调节白细胞介素 17 依赖的促炎轴。

ABD-Derived Protein Blockers of Human IL-17 Receptor A as Non-IgG Alternatives for Modulation of IL-17-Dependent Pro-Inflammatory Axis.

机构信息

Laboratory of Ligand Engineering, Institute of Biotechnology of the Czech Academy of Sciences, v. v. i., BIOCEV Research Center, Průmyslová 595, 252 50 Vestec, Czech Republic.

Laboratory of Molecular Biology of the Bacterial Pathogens, Institute of Microbiology, Czech Academy of Sciences, v. v. i., Vídeňská 1083, 142 20 Prague, Czech Republic.

出版信息

Int J Mol Sci. 2018 Oct 9;19(10):3089. doi: 10.3390/ijms19103089.

DOI:10.3390/ijms19103089
PMID:30304852
原文链接:https://pmc.ncbi.nlm.nih.gov/articles/PMC6213189/
Abstract

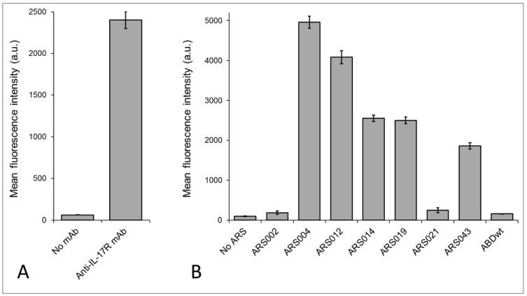
Interleukin 17 (IL-17) and its cognate receptor A (IL-17RA) play a crucial role in Th17 cells-mediated pro-inflammatory pathway and pathogenesis of several autoimmune disorders including psoriasis. IL-17 is mainly produced by activated Th-17 helper cells upon stimulation by IL-23 and, via binding to its receptors, mediates IL-17-driven cell signaling in keratinocytes. Hyper-proliferation of keratinocytes belongs to major clinical manifestations in psoriasis. To modulate IL-17-mediated inflammatory cascade, we generated a unique collection of IL-17RA-targeting protein binders that prevent from binding of human IL-17A cytokine to its cell-surface receptor. To this goal, we used a highly complex combinatorial library derived from scaffold of albumin-binding domain (ABD) of streptococcal protein G, and ribosome display selection, to yield a collection of ABD-derived high-affinity ligands of human IL-17RA, called ARS binders. From 67 analyzed ABD variants, 7 different sequence families were identified. Representatives of these groups competed with human IL-17A for binding to recombinant IL-17RA receptor as well as to IL-17RA-Immunoglobulin G chimera, as tested in enzyme-linked immunosorbent assay (ELISA). Five ARS variants bound to IL-17RA-expressing THP-1 cells and blocked binding of human IL-17 cytokine to the cell surface, as tested by flow cytometry. Three variants exhibited high-affinity binding with a nanomolar value to human keratinocyte HaCaT cells, as measured using Ligand Tracer Green Line. Upon IL-17-stimulated activation, ARS variants inhibited secretion of Gro-α (CXCL1) by normal human skin fibroblasts in vitro. Thus, we identified a novel class of inhibitory ligands that might serve as immunosuppressive IL-17RA-targeted non-IgG protein antagonists.

摘要

白细胞介素 17(IL-17)及其同源受体 A(IL-17RA)在 Th17 细胞介导的促炎途径和几种自身免疫性疾病的发病机制中发挥着关键作用,包括银屑病。IL-17 主要由激活的 Th-17 辅助细胞在 IL-23 的刺激下产生,通过与受体结合,介导角质形成细胞中的 IL-17 驱动的细胞信号转导。角质形成细胞的过度增殖是银屑病的主要临床表现之一。为了调节 IL-17 介导的炎症级联反应,我们生成了一组独特的 IL-17RA 靶向蛋白结合物,这些结合物可阻止人白细胞介素 17A 细胞因子与其细胞表面受体结合。为此,我们使用了源自链球菌蛋白 G 的白蛋白结合结构域(ABD)的高度复杂组合文库,并通过核糖体展示选择,产生了一组称为 ARS 结合物的 ABD 衍生的高亲和力人 IL-17RA 配体。从 67 个分析的 ABD 变体中,确定了 7 个不同的序列家族。这些组的代表与重组人 IL-17RA 受体以及 IL-17RA-免疫球蛋白 G 嵌合体竞争结合,如酶联免疫吸附测定(ELISA)所示。五种 ARS 变体与人 IL-17RA 表达的 THP-1 细胞结合,并阻断人白细胞介素 17 细胞因子与细胞表面的结合,如通过流式细胞术测试。三种变体与人角质形成细胞 HaCaT 细胞以纳摩尔亲和力结合,如使用 Ligand Tracer Green Line 测量。在 IL-17 刺激激活后,ARS 变体抑制体外正常人皮肤成纤维细胞分泌 Gro-α(CXCL1)。因此,我们鉴定了一类新型的抑制性配体,它们可能作为免疫抑制性的靶向 IL-17RA 的非免疫球蛋白 G 蛋白拮抗剂。

https://cdn.ncbi.nlm.nih.gov/pmc/blobs/ea69/6213189/a8d84902d522/ijms-19-03089-g010.jpg
https://cdn.ncbi.nlm.nih.gov/pmc/blobs/ea69/6213189/c2a0a297fe73/ijms-19-03089-g001.jpg
https://cdn.ncbi.nlm.nih.gov/pmc/blobs/ea69/6213189/681782c58fbf/ijms-19-03089-g002.jpg
https://cdn.ncbi.nlm.nih.gov/pmc/blobs/ea69/6213189/d7840530e8e0/ijms-19-03089-g003.jpg
https://cdn.ncbi.nlm.nih.gov/pmc/blobs/ea69/6213189/4d672f622819/ijms-19-03089-g004.jpg
https://cdn.ncbi.nlm.nih.gov/pmc/blobs/ea69/6213189/79f694fc50da/ijms-19-03089-g005.jpg
https://cdn.ncbi.nlm.nih.gov/pmc/blobs/ea69/6213189/180178850825/ijms-19-03089-g006.jpg
https://cdn.ncbi.nlm.nih.gov/pmc/blobs/ea69/6213189/d0c464e74cf1/ijms-19-03089-g007.jpg
https://cdn.ncbi.nlm.nih.gov/pmc/blobs/ea69/6213189/9da656e6e406/ijms-19-03089-g008.jpg
https://cdn.ncbi.nlm.nih.gov/pmc/blobs/ea69/6213189/8435d938b563/ijms-19-03089-g009.jpg
https://cdn.ncbi.nlm.nih.gov/pmc/blobs/ea69/6213189/a8d84902d522/ijms-19-03089-g010.jpg
https://cdn.ncbi.nlm.nih.gov/pmc/blobs/ea69/6213189/c2a0a297fe73/ijms-19-03089-g001.jpg
https://cdn.ncbi.nlm.nih.gov/pmc/blobs/ea69/6213189/681782c58fbf/ijms-19-03089-g002.jpg
https://cdn.ncbi.nlm.nih.gov/pmc/blobs/ea69/6213189/d7840530e8e0/ijms-19-03089-g003.jpg
https://cdn.ncbi.nlm.nih.gov/pmc/blobs/ea69/6213189/4d672f622819/ijms-19-03089-g004.jpg
https://cdn.ncbi.nlm.nih.gov/pmc/blobs/ea69/6213189/79f694fc50da/ijms-19-03089-g005.jpg
https://cdn.ncbi.nlm.nih.gov/pmc/blobs/ea69/6213189/180178850825/ijms-19-03089-g006.jpg
https://cdn.ncbi.nlm.nih.gov/pmc/blobs/ea69/6213189/d0c464e74cf1/ijms-19-03089-g007.jpg
https://cdn.ncbi.nlm.nih.gov/pmc/blobs/ea69/6213189/9da656e6e406/ijms-19-03089-g008.jpg
https://cdn.ncbi.nlm.nih.gov/pmc/blobs/ea69/6213189/8435d938b563/ijms-19-03089-g009.jpg
https://cdn.ncbi.nlm.nih.gov/pmc/blobs/ea69/6213189/a8d84902d522/ijms-19-03089-g010.jpg

相似文献

1
ABD-Derived Protein Blockers of Human IL-17 Receptor A as Non-IgG Alternatives for Modulation of IL-17-Dependent Pro-Inflammatory Axis.ABD 衍生的人白细胞介素 17 受体 A 蛋白阻断剂作为非免疫球蛋白替代物,调节白细胞介素 17 依赖的促炎轴。
Int J Mol Sci. 2018 Oct 9;19(10):3089. doi: 10.3390/ijms19103089.
2
p19-targeted ABD-derived protein variants inhibit IL-23 binding and exert suppressive control over IL-23-stimulated expansion of primary human IL-17+ T-cells.靶向p19的ABD衍生蛋白变体抑制IL-23结合,并对IL-23刺激的原代人IL-17 + T细胞扩增发挥抑制性控制作用。
Autoimmunity. 2017 Mar;50(2):102-113. doi: 10.1080/08916934.2016.1272598. Epub 2017 Jan 19.
3
Human interleukin-23 receptor antagonists derived from an albumin-binding domain scaffold inhibit IL-23-dependent ex vivo expansion of IL-17-producing T-cells.源自白蛋白结合域支架的人白细胞介素-23受体拮抗剂可抑制白细胞介素-23依赖的产生白细胞介素-17的T细胞的体外扩增。
Proteins. 2014 Jun;82(6):975-89. doi: 10.1002/prot.24472. Epub 2013 Nov 23.
4
Discovery of novel immunopharmacological ligands targeting the IL-17 inflammatory pathway.发现针对 IL-17 炎症途径的新型免疫药理学配体。
Int Immunopharmacol. 2020 Dec;89(Pt A):107026. doi: 10.1016/j.intimp.2020.107026. Epub 2020 Oct 9.
5
An Overview of Interleukin-17A and Interleukin-17 Receptor A Structure, Interaction and Signaling.白细胞介素-17A与白细胞介素-17受体A的结构、相互作用及信号传导概述
Protein Pept Lett. 2015;22(7):570-8. doi: 10.2174/0929866522666150520145554.
6
Involvement of corneal epithelial cells in the Th17 response in an in vitro bacterial inflammation model.在体外细菌炎症模型中角膜上皮细胞参与Th17反应。
Mol Vis. 2013;19:85-99. Epub 2013 Jan 17.
7
Molecular modeling and rational design of disulfide-stapled self-inhibitory peptides to target IL-17A/IL-17RA interaction.基于二硫键稳定的自抑制肽靶向 IL-17A/IL-17RA 相互作用的分子建模和合理设计。
J Mol Recognit. 2023 Aug;36(8):e3045. doi: 10.1002/jmr.3045. Epub 2023 Jul 6.
8
The human IL-17A/F heterodimer: a two-faced cytokine with unique receptor recognition properties.人白细胞介素 17A/F 异二聚体:一种两面性细胞因子,具有独特的受体识别特性。
Sci Rep. 2017 Aug 21;7(1):8906. doi: 10.1038/s41598-017-08360-9.
9
The human IL-17F/IL-17A heterodimeric cytokine signals through the IL-17RA/IL-17RC receptor complex.人IL-17F/IL-17A异二聚体细胞因子通过IL-17RA/IL-17RC受体复合物发出信号。
J Immunol. 2008 Aug 15;181(4):2799-805. doi: 10.4049/jimmunol.181.4.2799.
10
SELEX-discovered aptamer that inhibits cellular interleukin-17/interleukin-17 receptor interaction and antagonizes interleukin-17 signaling.通过 SELEX 技术发现的适体,可抑制细胞间白细胞介素-17/白细胞介素-17 受体相互作用,并拮抗白细胞介素-17 信号转导。
Biosci Biotechnol Biochem. 2024 Jan 24;88(2):147-153. doi: 10.1093/bbb/zbad170.

引用本文的文献

1
Innovative peptide therapeutics targeting IL17RA to regulate inflammatory responses.靶向白细胞介素17受体A调节炎症反应的新型肽疗法。
Sci Rep. 2025 Mar 22;15(1):8542. doi: 10.1038/s41598-025-92915-8.
2
Human IL-22 receptor-targeted small protein antagonist suppress murine DSS-induced colitis.靶向人白细胞介素-22受体的小分子蛋白拮抗剂可抑制小鼠葡聚糖硫酸钠诱导的结肠炎。
Cell Commun Signal. 2024 Oct 1;22(1):469. doi: 10.1186/s12964-024-01846-w.
3
Small protein blockers of human IL-6 receptor alpha inhibit proliferation and migration of cancer cells.

本文引用的文献

1
p19-Targeting ILP Protein Blockers of IL-23/Th-17 Pro-Inflammatory Axis Displayed on Engineered Bacteria of Food Origin.靶向 IL-23/Th17 促炎轴上的 ILP 蛋白阻滞剂,这些阻滞剂展示在源于食物的工程菌上。
Int J Mol Sci. 2018 Jul 1;19(7):1933. doi: 10.3390/ijms19071933.
2
Brodalumab: A Review in Moderate to Severe Plaque Psoriasis.布罗达芦单抗:治疗中重度斑块状银屑病的研究进展。
Drugs. 2018 Mar;78(4):495-504. doi: 10.1007/s40265-018-0888-4.
3
Impact of previous biologic use on the efficacy and safety of brodalumab and ustekinumab in patients with moderate-to-severe plaque psoriasis: integrated analysis of the randomized controlled trials AMAGINE-2 and AMAGINE-3.
人白细胞介素 6 受体 α 的小分子蛋白阻滞剂抑制癌细胞的增殖和迁移。
Cell Commun Signal. 2024 May 7;22(1):261. doi: 10.1186/s12964-024-01630-w.
4
Myomedin scaffold variants targeted to 10E8 HIV-1 broadly neutralizing antibody mimic gp41 epitope and elicit HIV-1 virus-neutralizing sera in mice.靶向 10E8 HIV-1 广谱中和抗体模拟表位的肌抑素支架变体,并在小鼠中引发 HIV-1 病毒中和血清。
Virulence. 2021 Dec;12(1):1271-1287. doi: 10.1080/21505594.2021.1920251.
5
Decoding IL-23 Signaling Cascade for New Therapeutic Opportunities.解析 IL-23 信号级联反应,寻找新的治疗机会。
Cells. 2020 Sep 7;9(9):2044. doi: 10.3390/cells9092044.
6
Identification and functional analysis of long non-coding RNAs in the synovial membrane of osteoarthritis patients.鉴定和功能分析骨关节炎患者滑膜中的长非编码 RNA。
Cell Biochem Funct. 2020 Jun;38(4):460-471. doi: 10.1002/cbf.3491. Epub 2020 Jan 20.
7
Targeting Human Thrombus by Liposomes Modified with Anti-Fibrin Protein Binders.用抗纤维蛋白蛋白结合剂修饰的脂质体靶向人类血栓
Pharmaceutics. 2019 Dec 2;11(12):642. doi: 10.3390/pharmaceutics11120642.
8
Proteins mimicking epitope of HIV-1 virus neutralizing antibody induce virus-neutralizing sera in mice.模拟 HIV-1 病毒中和抗体表位的蛋白质在小鼠中诱导产生病毒中和血清。
EBioMedicine. 2019 Sep;47:247-256. doi: 10.1016/j.ebiom.2019.07.015.
9
Engineered Secreting IL-23 Receptor-Targeted REX Protein Blockers for Modulation of IL-23/Th17-Mediated Inflammation.工程化分泌靶向白细胞介素-23受体的REX蛋白阻滞剂用于调节白细胞介素-23/辅助性T细胞17介导的炎症反应
Microorganisms. 2019 May 27;7(5):152. doi: 10.3390/microorganisms7050152.
在中重度斑块型银屑病患者中,既往生物制剂使用对布罗达umab 和乌司奴单抗疗效和安全性的影响:随机对照试验 AMAGINE-2 和 AMAGINE-3 的整合分析。
Br J Dermatol. 2018 Aug;179(2):320-328. doi: 10.1111/bjd.16464. Epub 2018 May 23.
4
Non-immunoglobulin scaffold proteins: Precision tools for studying protein-protein interactions in cancer.非免疫球蛋白支架蛋白:研究癌症中蛋白质-蛋白质相互作用的精准工具。
N Biotechnol. 2018 Oct 25;45:28-35. doi: 10.1016/j.nbt.2018.02.008. Epub 2018 Feb 21.
5
A new class of biologic agents facing the therapeutic paradigm in psoriasis: anti-IL-23 agents.一类新的生物制剂在银屑病的治疗模式上面临挑战:抗白细胞介素 23 制剂。
Expert Opin Biol Ther. 2018 Feb;18(2):135-148. doi: 10.1080/14712598.2018.1398729. Epub 2017 Nov 6.
6
A Review of the Use of Secukinumab for Psoriatic Arthritis.司库奇尤单抗用于银屑病关节炎的应用综述
Rheumatol Ther. 2017 Dec;4(2):233-246. doi: 10.1007/s40744-017-0076-0. Epub 2017 Aug 28.
7
Efficacy and safety of guselkumab in patients with psoriasis who have an inadequate response to ustekinumab: results of the randomized, double-blind, phase III NAVIGATE trial.古塞库单抗治疗乌司奴单抗应答不足的银屑病患者的疗效和安全性:随机、双盲、III 期 NAVIGATE 试验结果。
Br J Dermatol. 2018 Jan;178(1):114-123. doi: 10.1111/bjd.15750. Epub 2017 Oct 10.
8
Tildrakizumab versus placebo or etanercept for chronic plaque psoriasis (reSURFACE 1 and reSURFACE 2): results from two randomised controlled, phase 3 trials.替西单抗与安慰剂或依那西普治疗慢性斑块型银屑病(reSURFACE 1 和 reSURFACE 2):两项随机对照、3 期临床试验的结果。
Lancet. 2017 Jul 15;390(10091):276-288. doi: 10.1016/S0140-6736(17)31279-5. Epub 2017 Jun 6.
9
p19-targeted ABD-derived protein variants inhibit IL-23 binding and exert suppressive control over IL-23-stimulated expansion of primary human IL-17+ T-cells.靶向p19的ABD衍生蛋白变体抑制IL-23结合,并对IL-23刺激的原代人IL-17 + T细胞扩增发挥抑制性控制作用。
Autoimmunity. 2017 Mar;50(2):102-113. doi: 10.1080/08916934.2016.1272598. Epub 2017 Jan 19.
10
Efficacy and safety of guselkumab, an anti-interleukin-23 monoclonal antibody, compared with adalimumab for the treatment of patients with moderate to severe psoriasis with randomized withdrawal and retreatment: Results from the phase III, double-blind, placebo- and active comparator-controlled VOYAGE 2 trial. Guselkumab,一种抗白细胞介素-23 单克隆抗体,与阿达木单抗治疗中重度斑块状银屑病的疗效和安全性比较:来自 III 期、双盲、安慰剂和阳性对照的 VOYAGE 2 试验的结果。
J Am Acad Dermatol. 2017 Mar;76(3):418-431. doi: 10.1016/j.jaad.2016.11.042. Epub 2017 Jan 2.