• 文献检索
  • 文档翻译
  • 深度研究
  • 学术资讯
  • Suppr Zotero 插件Zotero 插件
  • 邀请有礼
  • 套餐&价格
  • 历史记录
应用&插件
Suppr Zotero 插件Zotero 插件浏览器插件Mac 客户端Windows 客户端微信小程序
定价
高级版会员购买积分包购买API积分包
服务
文献检索文档翻译深度研究API 文档MCP 服务
关于我们
关于 Suppr公司介绍联系我们用户协议隐私条款
关注我们

Suppr 超能文献

核心技术专利:CN118964589B侵权必究
粤ICP备2023148730 号-1Suppr @ 2026

文献检索

告别复杂PubMed语法,用中文像聊天一样搜索,搜遍4000万医学文献。AI智能推荐,让科研检索更轻松。

立即免费搜索

文件翻译

保留排版,准确专业,支持PDF/Word/PPT等文件格式,支持 12+语言互译。

免费翻译文档

深度研究

AI帮你快速写综述,25分钟生成高质量综述,智能提取关键信息,辅助科研写作。

立即免费体验

唾液α-淀粉酶的基础水平与对高糖食物的偏好以及心血管疾病风险的人体测量指标相关。

Basal Levels of Salivary Alpha-Amylase Are Associated with Preference for Foods High in Sugar and Anthropometric Markers of Cardiovascular Risk.

作者信息

Tarragon Ernesto, Stein Jakob, Meyer Jobst

机构信息

Institute of Psychobiology, Department of Neurobehavioral Genetics, University of Trier, 54290 Trier, Germany.

Department of Psychobiology, Faculty of Health Sciences, University Jaume I, 12071 Castellon, Spain.

出版信息

Behav Sci (Basel). 2018 Oct 16;8(10):94. doi: 10.3390/bs8100094.

DOI:10.3390/bs8100094
PMID:30332827
原文链接:https://pmc.ncbi.nlm.nih.gov/articles/PMC6210444/
Abstract

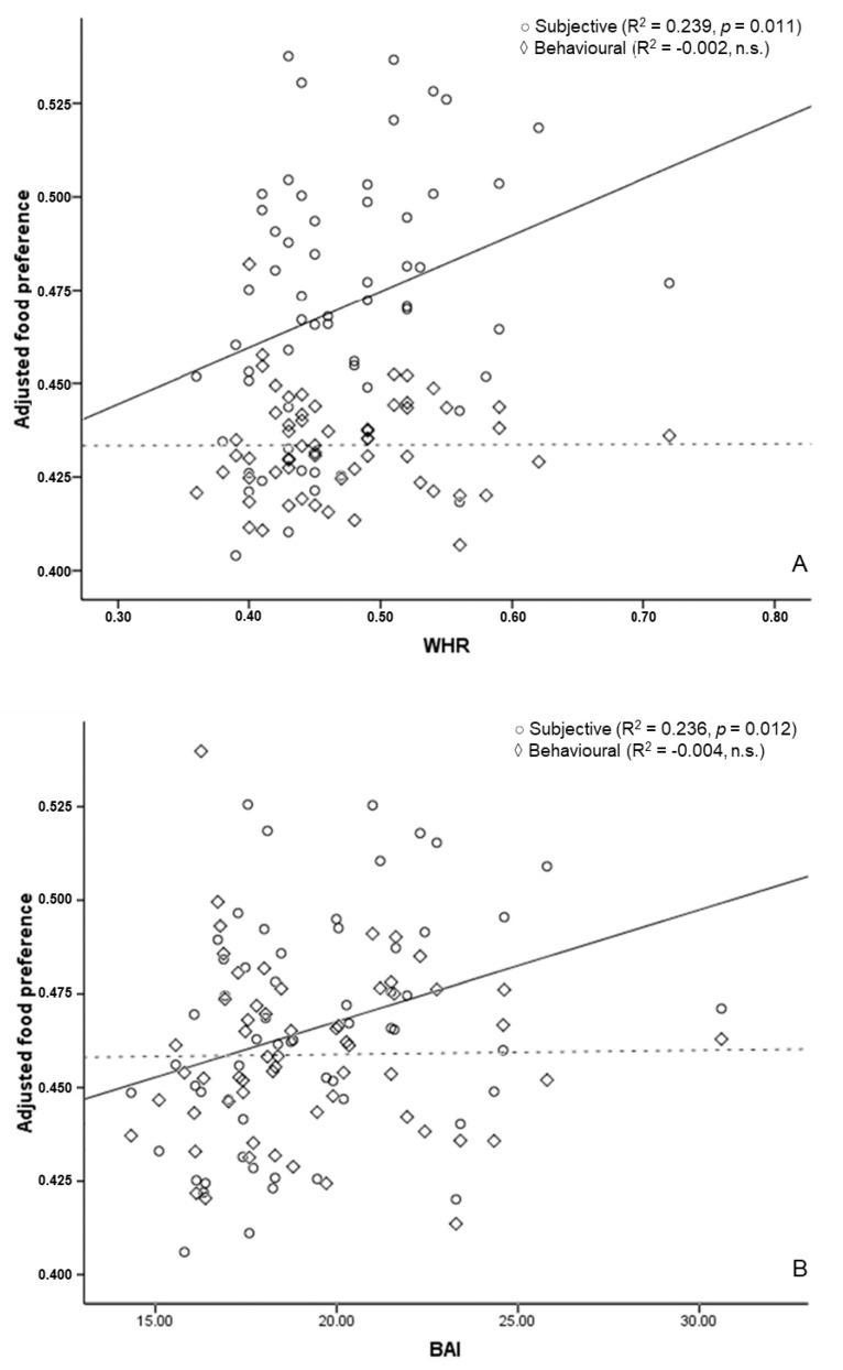
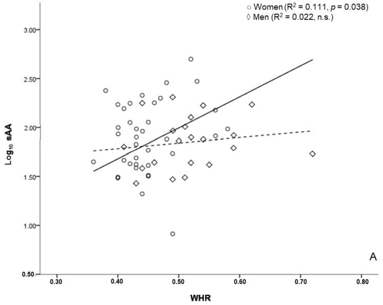
Salivary alpha-amylase (sAA) influences the perception of taste and texture, features both relevant in acquiring food liking and, with time, food preference. However, no studies have yet investigated the relationship between basal activity levels of sAA and food preference. We collected saliva from 57 volunteers (63% women) who we assessed in terms of their preference for different food items. These items were grouped into four categories according to their nutritional properties: high in starch, high in sugar, high glycaemic index, and high glycaemic load. Anthropometric markers of cardiovascular risk were also calculated. Our findings suggest that sAA influences food preference and body composition in women. Regression analysis showed that basal sAA activity is inversely associated with subjective but not self-reported behavioural preference for foods high in sugar. Additionally, sAA and subjective preference are associated with anthropometric markers of cardiovascular risk. We believe that this pilot study points to this enzyme as an interesting candidate to consider among the physiological factors that modulate eating behaviour.

摘要

唾液α-淀粉酶(sAA)会影响味觉和质地的感知,这两个特征在培养对食物的喜爱以及随着时间推移形成食物偏好方面都很重要。然而,尚无研究调查sAA的基础活性水平与食物偏好之间的关系。我们从57名志愿者(63%为女性)中收集了唾液,并评估了她们对不同食物的偏好。这些食物根据其营养特性分为四类:高淀粉、高糖、高血糖指数和高血糖负荷。还计算了心血管风险的人体测量指标。我们的研究结果表明,sAA会影响女性的食物偏好和身体组成。回归分析显示,基础sAA活性与对高糖食物的主观偏好呈负相关,但与自我报告的行为偏好无关。此外,sAA和主观偏好与心血管风险的人体测量指标有关。我们认为,这项初步研究表明,在调节饮食行为的生理因素中,这种酶是一个值得考虑的有趣候选因素。

https://cdn.ncbi.nlm.nih.gov/pmc/blobs/4a19/6210444/f5d8e26362d0/behavsci-08-00094-g004.jpg
https://cdn.ncbi.nlm.nih.gov/pmc/blobs/4a19/6210444/5761c2e77740/behavsci-08-00094-g001a.jpg
https://cdn.ncbi.nlm.nih.gov/pmc/blobs/4a19/6210444/358180c23ba1/behavsci-08-00094-g002.jpg
https://cdn.ncbi.nlm.nih.gov/pmc/blobs/4a19/6210444/b953d741032b/behavsci-08-00094-g003a.jpg
https://cdn.ncbi.nlm.nih.gov/pmc/blobs/4a19/6210444/f5d8e26362d0/behavsci-08-00094-g004.jpg
https://cdn.ncbi.nlm.nih.gov/pmc/blobs/4a19/6210444/5761c2e77740/behavsci-08-00094-g001a.jpg
https://cdn.ncbi.nlm.nih.gov/pmc/blobs/4a19/6210444/358180c23ba1/behavsci-08-00094-g002.jpg
https://cdn.ncbi.nlm.nih.gov/pmc/blobs/4a19/6210444/b953d741032b/behavsci-08-00094-g003a.jpg
https://cdn.ncbi.nlm.nih.gov/pmc/blobs/4a19/6210444/f5d8e26362d0/behavsci-08-00094-g004.jpg

相似文献

1
Basal Levels of Salivary Alpha-Amylase Are Associated with Preference for Foods High in Sugar and Anthropometric Markers of Cardiovascular Risk.唾液α-淀粉酶的基础水平与对高糖食物的偏好以及心血管疾病风险的人体测量指标相关。
Behav Sci (Basel). 2018 Oct 16;8(10):94. doi: 10.3390/bs8100094.
2
Salivary α-Amylase Activity and Starch-Related Sweet Taste Perception in Humans.唾液 α-淀粉酶活性与人类对淀粉相关甜味的感知。
Chem Senses. 2019 Apr 15;44(4):249-256. doi: 10.1093/chemse/bjz010.
3
[Study of the categorization process among patients with eating disorders: a new cognitive approach to psychopathology].[饮食失调患者分类过程的研究:精神病理学的一种新认知方法]
Encephale. 2005 Jan-Feb;31(1 Pt 1):82-91. doi: 10.1016/s0013-7006(05)82376-0.
4
Attenuated acute salivary α-amylase responses to gustatory stimulation with citric acid in thin children.瘦小孩对柠檬酸味觉刺激的急性唾液α-淀粉酶反应减弱。
Br J Nutr. 2015 Apr 14;113(7):1078-85. doi: 10.1017/S0007114515000446. Epub 2015 Mar 18.
5
Multiple time courses of salivary alpha-amylase and dimensions of affect in adolescence.青春期唾液α-淀粉酶的多次时间进程与情感维度
Psychoneuroendocrinology. 2014 Nov;49:47-53. doi: 10.1016/j.psyneuen.2014.06.007. Epub 2014 Jun 28.
6
Salivary alpha amylase diurnal pattern and stress response are associated with body mass index in low-income preschool-aged children.低收入学龄前儿童的唾液α淀粉酶昼夜模式和应激反应与体重指数相关。
Psychoneuroendocrinology. 2015 Mar;53:40-8. doi: 10.1016/j.psyneuen.2014.12.011. Epub 2014 Dec 22.
7
Oral Digestion and Perception of Starch: Effects of Cooking, Tasting Time, and Salivary α-Amylase Activity.淀粉的口腔消化与感知:烹饪、品尝时间及唾液α-淀粉酶活性的影响
Chem Senses. 2017 Oct 1;42(8):635-645. doi: 10.1093/chemse/bjx042.
8
Salivary alpha-amylase and hormones levels of young adults with different body composition.青年人群中不同身体成分个体的唾液 α-淀粉酶和激素水平。
J Texture Stud. 2019 Feb;50(1):45-52. doi: 10.1111/jtxs.12384. Epub 2019 Jan 17.
9
Low subjective social status in the police is linked to health-relevant changes in diurnal salivary alpha-amylase activity in Swiss police officers.瑞士警察中较低的主观社会地位与日常唾液α-淀粉酶活性的健康相关变化有关。
Stress. 2018 Jan;21(1):11-18. doi: 10.1080/10253890.2017.1389882. Epub 2017 Oct 16.
10
Sensory and hedonic associations with macronutrient and energy intakes of lean and obese consumers.瘦素和肥胖消费者的常量营养素及能量摄入的感官与享乐关联。
Int J Obes Relat Metab Disord. 1999 Apr;23(4):403-10. doi: 10.1038/sj.ijo.0800836.

引用本文的文献

1
Salivary α-Amylase as a Metabolic Biomarker: Analytical Tools, Challenges, and Clinical Perspectives.唾液α淀粉酶作为一种代谢生物标志物:分析工具、挑战及临床前景
Int J Mol Sci. 2025 Jul 30;26(15):7365. doi: 10.3390/ijms26157365.
2
Obesity Parameters in Women Is Associated With AMY1 Gene Copy Number, Nesfatin-1 Level, and Dietary Intake: A Case-Control Study.女性肥胖参数与AMY1基因拷贝数、Nesfatin-1水平及饮食摄入的相关性:一项病例对照研究
Mol Nutr Food Res. 2025 May;69(10):e70049. doi: 10.1002/mnfr.70049. Epub 2025 Apr 7.
3
Elevated levels of salivary α- amylase activity in saliva associated with reduced odds of obesity in adult Qatari citizens: A cross-sectional study.

本文引用的文献

1
Food groups and risk of type 2 diabetes mellitus: a systematic review and meta-analysis of prospective studies.食物类别与2型糖尿病风险:前瞻性研究的系统评价和荟萃分析
Eur J Epidemiol. 2017 May;32(5):363-375. doi: 10.1007/s10654-017-0246-y. Epub 2017 Apr 10.
2
Validity of body adiposity index in predicting body fat in Brazilians adults.身体肥胖指数在预测巴西成年人身体脂肪方面的有效性。
Am J Hum Biol. 2017 Jan;29(1). doi: 10.1002/ajhb.22901. Epub 2016 Aug 9.
3
The association of lean and fat mass with all-cause mortality in older adults: The Cardiovascular Health Study.
唾液α-淀粉酶活性升高与卡塔尔成年公民肥胖几率降低相关:一项横断面研究。
PLoS One. 2022 Mar 10;17(3):e0264692. doi: 10.1371/journal.pone.0264692. eCollection 2022.
4
Enzyme kinetic approach for mechanistic insight and predictions of starch digestibility and the glycaemic index of foods.用于深入了解淀粉消化机制及预测食物淀粉消化率和血糖生成指数的酶动力学方法。
Trends Food Sci Technol. 2022 Feb;120:254-264. doi: 10.1016/j.tifs.2021.11.015.
5
Impact of food texture modifications on oral processing behaviour, bolus properties and postprandial glucose responses.食物质地改良对口腔加工行为、食团特性及餐后血糖反应的影响。
Curr Res Food Sci. 2021 Dec 1;4:891-899. doi: 10.1016/j.crfs.2021.11.018. eCollection 2021.
6
Reduced odds of diabetes associated with high plasma salivary α-amylase activity in Qatari women: a cross-sectional study.卡塔尔女性血浆唾液 α-淀粉酶活性高与糖尿病风险降低相关:一项横断面研究。
Sci Rep. 2021 Jun 1;11(1):11495. doi: 10.1038/s41598-021-90977-y.
7
High plasma salivary α-amylase, but not high AMY1 copy number, associated with low obesity rate in Qatari adults: cross-sectional study.高血浆唾液α-淀粉酶,但不是高 AMY1 拷贝数,与卡塔尔成年人低肥胖率相关:横断面研究。
Sci Rep. 2020 Oct 21;10(1):17918. doi: 10.1038/s41598-020-74864-6.
老年人瘦体重和脂肪量与全因死亡率的关联:心血管健康研究。
Nutr Metab Cardiovasc Dis. 2016 Nov;26(11):1039-1047. doi: 10.1016/j.numecd.2016.06.011. Epub 2016 Jun 28.
4
Associations between dietary energy density and obesity: A systematic review and meta-analysis of observational studies.膳食能量密度与肥胖之间的关联:观察性研究的系统评价与荟萃分析
Nutrition. 2016 Oct;32(10):1037-47. doi: 10.1016/j.nut.2016.03.017. Epub 2016 Mar 31.
5
Visceral adiposity index and prognosis among patients with ischemic heart failure.缺血性心力衰竭患者的内脏脂肪指数与预后
Sao Paulo Med J. 2016 May 13;134(3):211-8. doi: 10.1590/1516-3180.2015.01452111.
6
Body Mass Index, the Most Widely Used But Also Widely Criticized Index: Would a Criterion Standard Measure of Total Body Fat Be a Better Predictor of Cardiovascular Disease Mortality?体重指数,最广泛使用但也广受批评的指标:全身脂肪的标准测量方法会是心血管疾病死亡率的更好预测指标吗?
Mayo Clin Proc. 2016 Apr;91(4):443-55. doi: 10.1016/j.mayocp.2016.01.008. Epub 2016 Mar 2.
7
Effects of low glycaemic index/low glycaemic load vs. high glycaemic index/ high glycaemic load diets on overweight/obesity and associated risk factors in children and adolescents: a systematic review and meta-analysis.低血糖生成指数/低血糖负荷饮食与高血糖生成指数/高血糖负荷饮食对儿童和青少年超重/肥胖及相关危险因素的影响:系统评价和荟萃分析。
Nutr J. 2015 Aug 25;14:87. doi: 10.1186/s12937-015-0077-1.
8
Sugar consumption, metabolic disease and obesity: The state of the controversy.糖的摄入、代谢性疾病与肥胖:争议现状
Crit Rev Clin Lab Sci. 2016;53(1):52-67. doi: 10.3109/10408363.2015.1084990. Epub 2015 Sep 17.
9
Low Copy Number of the AMY1 Locus Is Associated with Early-Onset Female Obesity in Finland.芬兰人群中AMY1基因座的低拷贝数与早发性女性肥胖有关。
PLoS One. 2015 Jul 1;10(7):e0131883. doi: 10.1371/journal.pone.0131883. eCollection 2015.
10
Changes in macronutrient, micronutrient, and food group intakes throughout the menstrual cycle in healthy, premenopausal women.健康绝经前女性在整个月经周期中常量营养素、微量营养素和食物组摄入量的变化。
Eur J Nutr. 2016 Apr;55(3):1181-8. doi: 10.1007/s00394-015-0931-0. Epub 2015 Jun 5.