Suppr超能文献

肌肉张力、短程硬度和感觉反馈增益增加之间的相互作用解释了痉挛性脑瘫中钟摆试验的关键运动学特征:一项模拟研究。

Interaction between muscle tone, short-range stiffness and increased sensory feedback gains explains key kinematic features of the pendulum test in spastic cerebral palsy: A simulation study.

机构信息

Department of Movement Sciences, KU Leuven, Leuven, Belgium.

Wallace H. Coulter Department of Biomedical Engineering, Emory University and Georgia Institute of Technology, Atlanta, Georgia, United States of America.

出版信息

PLoS One. 2018 Oct 18;13(10):e0205763. doi: 10.1371/journal.pone.0205763. eCollection 2018.

Abstract

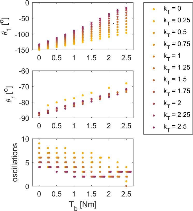
The pendulum test is a sensitive clinical assessment of spasticity where the lower leg is dropped from the horizontal position and features of limb motion are recorded. Three key kinematic features are associated with the degree of severity of spasticity in children with cerebral palsy: decreased initial limb excursion, reduced number of limb oscillations, and a non-vertical resting limb angle. While spasticity is attributed to increased velocity-dependent resistance to motion, prior models simulating increased sensorimotor feedback of muscle velocity fail to explain the key pendulum test kinematic outcomes in spastic individuals. Here we hypothesized that increased muscle tone, causing a transient increase in muscle force, i.e. short-range stiffness, could account for reduced first swing excursion and non-vertical resting limb angle. We further hypothesized that hyperreflexia modeled based on muscle fiber force, and not velocity, feedback would be necessary to reduce the number of oscillations because of its interaction with transiently increased muscle force due to short-range stiffness. We simulated the lower leg as a torque-driven single-link pendulum. Muscle tone was modeled as a constant baseline joint torque, short-range stiffness torque was dependent on the level of muscle tone, and delayed sensory feedback torque to simulate reflex activity was based on either muscle velocity or force. Muscle tone and transient short-range stiffness were necessary to simulate decreased initial swing excursion and non-vertical resting leg angle. Moreover, the reduction in the number of oscillations was best reproduced by simulating stretch reflex activity in terms of force, and not velocity, feedback. Varying only baseline muscle torque and reflex gain, we simulated a range of pendulum test kinematics observed across different levels of spasticity. Our model lends insight into physiological mechanisms of spasticity whose contributions can vary on an individual-specific basis, and potentially across different neurological disorders that manifest spasticity as a symptom.

摘要

摆锤试验是一种敏感的痉挛临床评估方法,即将小腿从水平位置放下,并记录肢体运动的特征。三个关键运动学特征与脑瘫儿童痉挛的严重程度相关:初始肢体摆动幅度减小、肢体摆动次数减少以及非垂直的静止肢体角度。虽然痉挛归因于运动速度依赖性阻力增加,但先前模拟肌肉速度增加的感觉运动反馈的模型无法解释痉挛个体摆锤试验的关键运动学结果。在这里,我们假设增加肌肉张力会导致肌肉力量的短暂增加,即短程刚度,这可以解释初始摆动幅度减小和非垂直静止肢体角度。我们进一步假设,基于肌肉纤维力而不是速度反馈的反射亢进可以减少摆动次数,因为它与短程刚度导致的短暂增加的肌肉力量相互作用。我们将小腿模拟为一个扭矩驱动的单连杆摆锤。肌肉张力被建模为恒定的关节基础扭矩,短程刚度扭矩取决于肌肉张力水平,延迟的感觉反馈扭矩用于模拟反射活动,其基础是肌肉速度或力。肌肉张力和短暂的短程刚度是模拟初始摆动幅度减小和非垂直静止腿部角度的必要条件。此外,通过模拟力而不是速度反馈的伸展反射活动,能够最好地再现摆动次数的减少。通过仅改变基础肌肉扭矩和反射增益,我们模拟了在不同痉挛程度下观察到的一系列摆锤试验运动学。我们的模型深入了解痉挛的生理机制,其贡献可能因个体而异,并且可能因表现出痉挛作为症状的不同神经障碍而有所不同。

https://cdn.ncbi.nlm.nih.gov/pmc/blobs/0be1/6193683/e7502f792d5b/pone.0205763.g001.jpg

文献AI研究员

20分钟写一篇综述,助力文献阅读效率提升50倍。

立即体验

用中文搜PubMed

大模型驱动的PubMed中文搜索引擎

马上搜索

文档翻译

学术文献翻译模型,支持多种主流文档格式。

立即体验