Suppr超能文献

比较15 - 20毫米汞柱与20 - 30毫米汞柱压力的弹力袜对站立和坐着的健康个体减轻职业性水肿的效果

Comparison of 15-20 mmHg versus 20-30 mmHg Compression Stockings in Reducing Occupational Oedema in Standing and Seated Healthy Individuals.

作者信息

Quilici Belczak Cleusa Ema, Pereira de Godoy José Maria, Seidel Amélia Cristina, Belczak Sergio, Neves Ramos Rubiana, Caffaro Roberto Augusto

机构信息

João Belczak Vascular Center, Maringá, PR, Brazil.

Department of Cardiology and Cardiovascular Surgery, Medicine School of São José do Rio Preto and Research CNPq (National Council for Research and Development ), SP, Brazil, Brazil.

出版信息

Int J Vasc Med. 2018 Oct 1;2018:2053985. doi: 10.1155/2018/2053985. eCollection 2018.

Abstract

BACKGROUND

Elastic compression stockings (ECS) are effective in preventing and reducing occupational edema (OE), but the optimal pressure according to the prevalent working position during the day is still controversial.

OBJECTIVE

To compare the effectiveness of ECS with different pressures (15-20 mmHg or 20-30 mmHg) for reducing OE in individuals working in different prolonged postures.

METHODS

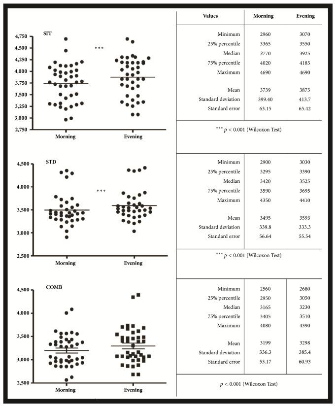
This cross-sectional study comprised 116 lower limbs of 58 individuals divided into three groups according to their prevalent postures over the day (sitting, standing, or combination). Volumetric measurements were taken at the beginning and at the end of three consecutive days. On the first day, individuals did not use compression stockings; on the second and third days, they used, respectively, 15-20 mmHg and 20-30 mmHg knee-length stockings. Differences between morning and evening volumes (measured edema) were calculated, compared, and correlated.

RESULTS

Volumetric variations were significantly lower on the second compared to the first day when individuals in all three groups used 15-20 mmHg compression stockings (p-value < 0.001). Measurements were even lower when they used 20-30 mmHg stockings: this decrease was more significant for the sitting (p-value < 0.001) than the standing (p-value < 0.05) and combined groups (p-value < 0.05). Reduction of measured edema was more significant in individuals working in a prolonged seated position. No significant difference was found only on comparing sitting and standing groups after the use of the 15-20 mmHg compression stockings.

CONCLUSIONS

The use of ECS over a working day reduces OE in prolonged sitting, standing, and combined positions, with the reductions being greater with the higher pressure.

摘要

背景

弹力袜对预防和减轻职业性水肿有效,但根据白天主要工作姿势确定的最佳压力仍存在争议。

目的

比较不同压力(15 - 20 mmHg或20 - 30 mmHg)的弹力袜对不同长时间姿势工作个体减轻职业性水肿的效果。

方法

这项横断面研究纳入了58名个体的116条下肢,根据其白天的主要姿势(坐着、站着或两者兼有)分为三组。在连续三天的开始和结束时进行体积测量。第一天,个体不穿弹力袜;第二天和第三天,他们分别穿着15 - 20 mmHg和20 - 30 mmHg的膝长弹力袜。计算、比较并关联早晚体积差异(测量的水肿)。

结果

当三组个体都使用15 - 20 mmHg弹力袜时,第二天的体积变化明显低于第一天(p值<0.001)。当他们使用20 - 30 mmHg弹力袜时,测量值更低:这种降低在坐着的组中比站着的组(p值<0.05)和两者兼有组(p值<0.05)更显著。长时间坐着工作的个体测量的水肿减少更显著。在使用15 - 20 mmHg弹力袜后,仅比较坐着和站着的组时未发现显著差异。

结论

在工作日使用弹力袜可减轻长时间坐着、站着及两者兼有姿势下的职业性水肿,压力越高减轻效果越好。

https://cdn.ncbi.nlm.nih.gov/pmc/blobs/90ba/6188858/7a254b2d035c/IJVM2018-2053985.001.jpg

文献检索

告别复杂PubMed语法,用中文像聊天一样搜索,搜遍4000万医学文献。AI智能推荐,让科研检索更轻松。

立即免费搜索

文件翻译

保留排版,准确专业,支持PDF/Word/PPT等文件格式,支持 12+语言互译。

免费翻译文档

深度研究

AI帮你快速写综述,25分钟生成高质量综述,智能提取关键信息,辅助科研写作。

立即免费体验