Suppr超能文献

采用与溴百里酚蓝形成离子对络合物的萃取分光光度法测定药物制剂中的氟喹诺酮类药物。

Determination of Fluoroquinolones in Pharmaceutical Formulations by Extractive Spectrophotometric Methods Using Ion-Pair Complex Formation with Bromothymol Blue.

作者信息

Nguyen Trung Dung, Le Hoc Bau, Dong Thi Oanh, Pham Tien Duc

机构信息

Faculty of Physics and Chemical Engineering, Le Quy Don Technical University, 236 Hoang Quoc Viet, Hanoi, Vietnam.

Faculty of Chemistry, VNU-University of Science, Vietnam National University Hanoi, 19 Le Thanh Tong, Hoan Kiem, Hanoi, Vietnam.

出版信息

J Anal Methods Chem. 2018 Oct 4;2018:8436948. doi: 10.1155/2018/8436948. eCollection 2018.

Abstract

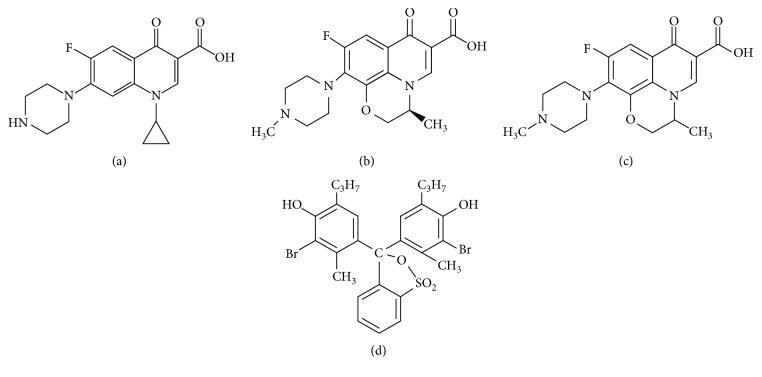
In this paper, we reported a new, simple, accurate, and precise extractive spectrophotometric method for the determination of fluoroquinolones (FQs) including ciprofloxacin (CFX), levofloxacin (LFX), and ofloxacin (OFX) in pharmaceutical formulations. The proposed method is based on the ion-pair formation complexes between FQs and an anionic dye, bromothymol blue (BTB), in acidic medium. The yellow-colored complexes which were extracted into chloroform were measured at the wavelengths of 420, 415, and 418 nm for CFX, LFX, and OFX, respectively. Some effective conditions such as pH, dye concentration, shaking time, and organic solvents were also systematically studied. Very good limit of detection (LOD) of 0.084 g/mL, 0.101 g/mL, and 0.105 g/mL were found for CFX, LFX, and OFX, respectively. The stoichiometry of the complexes formed between FQs and BTB determined by Job's method of continuous variation was 1 : 1. No interference was observed from common excipients occurred in pharmaceutical formulations. The proposed method has been successfully applied to determine the FQs in some pharmaceutical products. A good agreement between extractive spectrophotometric method with high-performance liquid chromatography mass spectrometry (HPLC-MS) for the determination of FQs in some real samples demonstrates that the proposed method is suitable to quantify FQs in pharmaceutical formulations.

摘要

在本文中,我们报道了一种用于测定药物制剂中氟喹诺酮类药物(FQs)的新型、简便、准确且精密的萃取分光光度法,该类药物包括环丙沙星(CFX)、左氧氟沙星(LFX)和氧氟沙星(OFX)。所提出的方法基于在酸性介质中,FQs与阴离子染料溴百里酚蓝(BTB)形成离子对络合物。将萃取至氯仿中的黄色络合物分别在420、415和418 nm波长下测定CFX、LFX和OFX。还系统研究了一些有效条件,如pH值、染料浓度、振荡时间和有机溶剂。CFX、LFX和OFX的检测限(LOD)分别为0.084 μg/mL、0.101 μg/mL和0.105 μg/mL,结果非常好。通过连续变量的Job法测定的FQs与BTB形成的络合物的化学计量比为1∶1。未观察到药物制剂中常见辅料产生干扰。所提出的方法已成功应用于测定一些药品中的FQs。在一些实际样品中,萃取分光光度法与高效液相色谱质谱联用(HPLC-MS)法测定FQs的结果具有良好的一致性,这表明所提出的方法适用于定量测定药物制剂中的FQs。

https://cdn.ncbi.nlm.nih.gov/pmc/blobs/4058/6193353/c431e7b28bd4/JAMC2018-8436948.001.jpg

相似文献

3
Spectrophotometric determination of gatifloxacin in pure form and in pharmaceutical formulation.
Spectrochim Acta A Mol Biomol Spectrosc. 2007 Aug;67(5):1306-12. doi: 10.1016/j.saa.2006.09.041. Epub 2006 Oct 14.
4
Spectrophotometric determination of hyoscine butylbromide and famciclovir in pure form and in pharmaceutical formulations.
Spectrochim Acta A Mol Biomol Spectrosc. 2008 Sep;70(4):785-92. doi: 10.1016/j.saa.2007.09.010. Epub 2007 Sep 22.
6
Sensitive and selective spectrophotometric assay of piroxicam in pure form, capsule and human blood serum samples via ion-pair complex formation.
Spectrochim Acta A Mol Biomol Spectrosc. 2014 Sep 15;130:238-44. doi: 10.1016/j.saa.2014.03.074. Epub 2014 Apr 2.
8
A new spectrophotometric method for the determination of tianeptine in tablets using ion-pair reagents.
Chem Pharm Bull (Tokyo). 2008 Dec;56(12):1635-8. doi: 10.1248/cpb.56.1635.

引用本文的文献

5
Green adherent spectrophotometric determination of molnupiravir based on computational calculations; application to a recently FDA-approved pharmaceutical dosage form.
Spectrochim Acta A Mol Biomol Spectrosc. 2023 Jan 15;285:121911. doi: 10.1016/j.saa.2022.121911. Epub 2022 Sep 22.
6
Spectrophotometric quantitative analysis of remdesivir using acid dye reagent selected by computational calculations.
Spectrochim Acta A Mol Biomol Spectrosc. 2022 Aug 5;276:121188. doi: 10.1016/j.saa.2022.121188. Epub 2022 Mar 31.
7
Quinolone Resistance of Revealed through Genome and Transcriptome Analyses.
Int J Mol Sci. 2021 Sep 17;22(18):10036. doi: 10.3390/ijms221810036.
8
Synthesis of Iron Oxide Nanoparticle Functionalized Activated Carbon and Its Applications in Arsenic Adsorption.
J Anal Methods Chem. 2021 Apr 27;2021:6668490. doi: 10.1155/2021/6668490. eCollection 2021.
9
Removal of Tetracycline from Aqueous Solution Using Nanocomposite Based on Polyanion-Modified Laterite Material.
J Anal Methods Chem. 2020 Dec 11;2020:6623511. doi: 10.1155/2020/6623511. eCollection 2020.
10
Removal of Heavy Metal Ion Using Polymer-Functionalized Activated Carbon: Aspects of Environmental Economic and Chemistry Education.
J Anal Methods Chem. 2020 Sep 7;2020:8887488. doi: 10.1155/2020/8887488. eCollection 2020.

本文引用的文献

1
3
Spectrofluorimetric determination of fluoroquinolones in pharmaceutical preparations.
Spectrochim Acta A Mol Biomol Spectrosc. 2009 Feb;72(1):138-43. doi: 10.1016/j.saa.2008.08.017. Epub 2008 Sep 19.
4
Simultaneous determination of three fluoroquinolones by linear sweep stripping voltammetry with the aid of chemometrics.
Talanta. 2006 Mar 15;69(1):216-25. doi: 10.1016/j.talanta.2005.09.032. Epub 2005 Oct 27.
5
Spectrophotometric and polarographic investigation of the Ofloxacin-Cu(II) complexes.
Talanta. 1996 Dec;43(12):2123-30. doi: 10.1016/S0039-9140(96)01999-6.
7
Extractive-spectrophotometric determination of disopyramide and irbesartan in their pharmaceutical formulation.
Spectrochim Acta A Mol Biomol Spectrosc. 2007 Apr;66(4-5):1248-54. doi: 10.1016/j.saa.2006.06.015. Epub 2006 Jun 27.

文献AI研究员

20分钟写一篇综述,助力文献阅读效率提升50倍。

立即体验

用中文搜PubMed

大模型驱动的PubMed中文搜索引擎

马上搜索

文档翻译

学术文献翻译模型,支持多种主流文档格式。

立即体验