Suppr超能文献

基于 ELISA 的方法检测人死后样本中的狂犬病病毒核蛋白特异性抗体。

An ELISA-based method for detection of rabies virus nucleoprotein-specific antibodies in human antemortem samples.

机构信息

Poxvirus and Rabies Branch, Centers for Disease Control and Prevention, Atlanta, Georgia, United States of America.

Immunology and Pathogenesis Branch, Influenza Division, Centers for Disease Control and Prevention, Atlanta, Georgia, United States of America.

出版信息

PLoS One. 2018 Nov 7;13(11):e0207009. doi: 10.1371/journal.pone.0207009. eCollection 2018.

Abstract

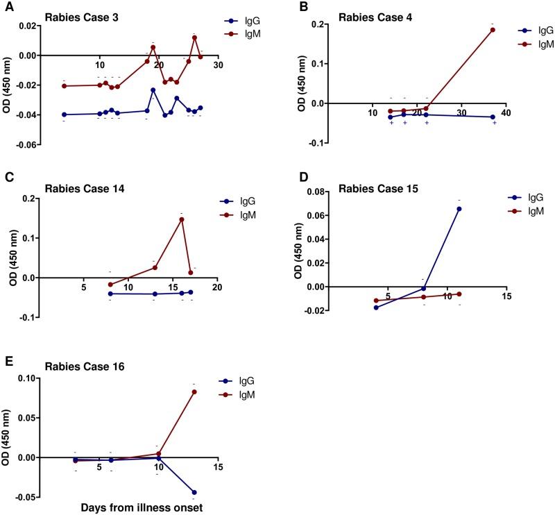
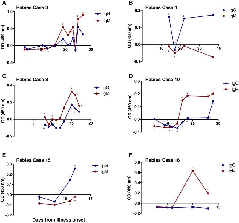
Rabies is a fatal encephalitic disease in humans and animals caused by lyssaviruses, most commonly rabies virus (RABV). Human antemortem diagnosis of rabies is a complex process involving multiple sample types and tests for the detection of antibodies, antigen (protein), and nucleic acids (genomic RNA). Serological diagnosis of human rabies includes the detection of either neutralizing or binding antibodies in the cerebrospinal fluid (CSF) or serum samples from unimmunized individuals without prior rabies vaccination or passive immunization with purified immunoglobulins. While neutralizing antibodies are targeted against the surface-expressed glycoprotein (G protein), binding antibodies to viral antigens are predominantly against the nucleoprotein (N protein), although there can be antibodies against all RABV-expressed proteins. To determine N protein-specific antibody responses in the CSF and serum during RABV infection, we developed an enzyme-linked immunosorbent assay (ELISA) with purified recombinant N protein expressed in E. coli. N protein-specific immunoglobulin (Ig) subtypes IgG and IgM were detected in the CSF or serum of previously diagnosed human rabies cases. In addition, anti-N protein seroconversion was demonstrated over the course of illness in individual rabies cases. We compared the N protein ELISA results to those of an indirect fluorescent antibody (IFA) test, the current binding antibody assay used in diagnosis, and show that our ELISA is consistent with the IFA test. Sensitivity and specificity of the N protein ELISA ranged from 78.38-100% and 75.76-96.77% with respect to the IFA results. Our data provide evidence for the use of an N protein ELISA as an additional option for the detection of RABV-specific IgG or IgM antibodies in human CSF or serum specimens.

摘要

狂犬病是一种由弹状病毒科狂犬病毒属病毒引起的致命性脑炎疾病,在人和动物中均可发生。人类狂犬病的生前诊断是一个复杂的过程,需要对多种样本类型进行检测,以检测抗体、抗原(蛋白)和核酸(基因组 RNA)。人类狂犬病的血清学诊断包括在未免疫的个体的脑脊液(CSF)或血清样本中检测中和或结合抗体,这些个体没有进行狂犬病疫苗接种或被动免疫球蛋白的预先接种。虽然中和抗体针对表面表达的糖蛋白(G 蛋白),但针对病毒抗原的结合抗体主要针对核蛋白(N 蛋白),尽管可能存在针对所有 RABV 表达蛋白的抗体。为了确定 RABV 感染期间 CSF 和血清中的 N 蛋白特异性抗体反应,我们使用在大肠杆菌中表达的纯化重组 N 蛋白开发了酶联免疫吸附试验(ELISA)。在先前诊断为狂犬病的病例的 CSF 或血清中检测到 N 蛋白特异性免疫球蛋白(Ig)亚型 IgG 和 IgM。此外,在个体狂犬病病例中,在疾病过程中证明了抗-N 蛋白血清转化。我们将 N 蛋白 ELISA 结果与间接荧光抗体(IFA)测试的结果进行比较,后者是目前用于诊断的结合抗体检测方法,并表明我们的 ELISA 与 IFA 测试一致。N 蛋白 ELISA 的敏感性和特异性范围分别为 78.38-100%和 75.76-96.77%,与 IFA 结果相对应。我们的数据为使用 N 蛋白 ELISA 作为检测人类 CSF 或血清标本中 RABV 特异性 IgG 或 IgM 抗体的附加选择提供了证据。

https://cdn.ncbi.nlm.nih.gov/pmc/blobs/a2eb/6221316/d4a0d3df910d/pone.0207009.g001.jpg

文献AI研究员

20分钟写一篇综述,助力文献阅读效率提升50倍。

立即体验

用中文搜PubMed

大模型驱动的PubMed中文搜索引擎

马上搜索

文档翻译

学术文献翻译模型,支持多种主流文档格式。

立即体验