Suppr超能文献

了解趋磁细菌中与磁铁矿相互作用的成分(MICs)的生物矿化作用。

Understanding the Biomineralization Role of Magnetite-Interacting Components (MICs) From Magnetotactic Bacteria.

作者信息

Nudelman Hila, Lee Yi-Zong, Hung Yi-Lin, Kolusheva Sofiya, Upcher Alexander, Chen Yi-Chen, Chen Jih-Ying, Sue Shih-Che, Zarivach Raz

机构信息

Department of Life Sciences and the National Institute for Biotechnology in the Negev, Ben-Gurion University of the Negev, Beer Sheva, Israel.

Institute of Bioinformatics and Structural Biology, National Tsing Hua University, Hsinchu, Taiwan.

出版信息

Front Microbiol. 2018 Oct 23;9:2480. doi: 10.3389/fmicb.2018.02480. eCollection 2018.

Abstract

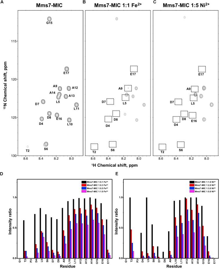
Biomineralization is a process that takes place in all domains of life and which usually helps organisms to harden soft tissues by creating inorganic structures that facilitate their biological functions. It was shown that biominerals are under tight biological control via proteins that are involved in nucleation initiation and/or which act as structural skeletons. Magnetotactic bacteria (MTB) use iron biomineralization to create nano-magnetic particles in a specialized organelle, the magnetosome, to align to the geomagnetic field. A specific set of magnetite-associated proteins (MAPs) is involved in regulating magnetite nucleation, size, and shape. These MAPs are all predicted to contain specific 17-22 residue-long sequences involved in magnetite formation. To understand the mechanism of magnetite formation, we focused on three different MAPs, MamC, Mms6 and Mms7, and studied the predicted iron-binding sequences. Using nuclear magnetic resonance (NMR), we differentiated the recognition mode of each MAP based on ion specificity, affinity, and binding residues. The significance of critical residues in each peptide was evaluated by mutation followed by an iron co-precipitation assay. Among the peptides, MamC showed weak ion binding but created the most significant effect in enhancing magnetite particle size, indicating the potency in controlling magnetite particle shape and size. Alternatively, Mms6 and Mms7 had strong binding affinities but less effect in modulating magnetite particle size, representing their major role potentially in initiating nucleation by increasing local metal concentration. Overall, our results explain how different MAPs affect magnetite synthesis, interact with Fe ions and which residues are important for the MAPs functions.

摘要

生物矿化是一个发生在所有生命领域的过程,通常通过形成有助于生物功能的无机结构来帮助生物体硬化软组织。研究表明,生物矿物受到参与成核起始和/或作为结构骨架的蛋白质的严格生物控制。趋磁细菌(MTB)利用铁生物矿化在一个特殊的细胞器——磁小体中形成纳米磁性颗粒,以与地磁场对齐。一组特定的与磁铁矿相关的蛋白质(MAPs)参与调节磁铁矿的成核、大小和形状。这些MAPs都被预测含有参与磁铁矿形成的特定的17 - 22个残基长的序列。为了理解磁铁矿形成的机制,我们聚焦于三种不同的MAPs,即MamC、Mms6和Mms7,并研究了预测的铁结合序列。利用核磁共振(NMR),我们基于离子特异性、亲和力和结合残基区分了每种MAP的识别模式。通过突变随后进行铁共沉淀试验评估了每个肽中关键残基的重要性。在这些肽中,MamC显示出较弱的离子结合,但在增强磁铁矿颗粒大小方面产生了最显著的影响,表明其在控制磁铁矿颗粒形状和大小方面的潜力。另外,Mms6和Mms7具有很强的结合亲和力,但在调节磁铁矿颗粒大小方面作用较小,这表明它们可能主要通过增加局部金属浓度来启动成核。总体而言,我们的结果解释了不同的MAPs如何影响磁铁矿合成、与铁离子相互作用以及哪些残基对MAPs的功能很重要。

https://cdn.ncbi.nlm.nih.gov/pmc/blobs/09ec/6206293/2bd5132e8c1c/fmicb-09-02480-g001.jpg

文献AI研究员

20分钟写一篇综述,助力文献阅读效率提升50倍。

立即体验

用中文搜PubMed

大模型驱动的PubMed中文搜索引擎

马上搜索

文档翻译

学术文献翻译模型,支持多种主流文档格式。

立即体验