Suppr超能文献

实证数据集中的项目得分信度及其与其他项目指标的关系。

Item-Score Reliability in Empirical-Data Sets and Its Relationship With Other Item Indices.

作者信息

Zijlmans Eva A O, Tijmstra Jesper, van der Ark L Andries, Sijtsma Klaas

机构信息

Tilburg University, Tilburg, Netherlands.

University of Amsterdam, Amsterdam, Netherlands.

出版信息

Educ Psychol Meas. 2018 Dec;78(6):998-1020. doi: 10.1177/0013164417728358. Epub 2017 Sep 27.

Abstract

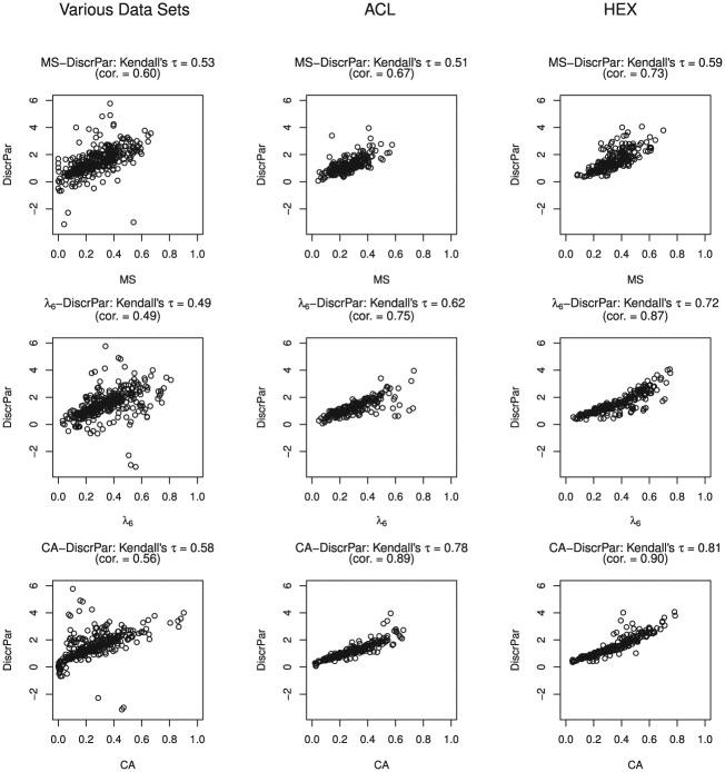
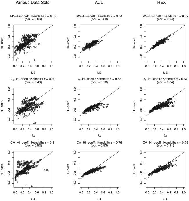
Reliability is usually estimated for a total score, but it can also be estimated for item scores. Item-score reliability can be useful to assess the repeatability of an individual item score in a group. Three methods to estimate item-score reliability are discussed, known as method MS, method , and method CA. The item-score reliability methods are compared with four well-known and widely accepted item indices, which are the item-rest correlation, the item-factor loading, the item scalability, and the item discrimination. Realistic values for item-score reliability in empirical-data sets are monitored to obtain an impression of the values to be expected in other empirical-data sets. The relation between the three item-score reliability methods and the four well-known item indices are investigated. Tentatively, a minimum value for the item-score reliability methods to be used in item analysis is recommended.

摘要

信度通常是针对总分进行估计,但也可以针对项目得分进行估计。项目得分信度对于评估一组中单个项目得分的可重复性很有用。讨论了三种估计项目得分信度的方法,即方法MS、方法 和方法CA。将项目得分信度方法与四个著名且被广泛接受的项目指标进行比较,这四个指标是项目与其余部分的相关性、项目因子载荷、项目可扩展性和项目区分度。监测实证数据集中项目得分信度的实际值,以了解其他实证数据集中预期的值。研究了三种项目得分信度方法与四个著名项目指标之间的关系。初步建议了项目分析中使用的项目得分信度方法的最小值。

https://cdn.ncbi.nlm.nih.gov/pmc/blobs/a592/6293416/be3d0b1e6e02/10.1177_0013164417728358-fig1.jpg

相似文献

1
Item-Score Reliability in Empirical-Data Sets and Its Relationship With Other Item Indices.
Educ Psychol Meas. 2018 Dec;78(6):998-1020. doi: 10.1177/0013164417728358. Epub 2017 Sep 27.
2
Methods for Estimating Item-Score Reliability.
Appl Psychol Meas. 2018 Oct;42(7):553-570. doi: 10.1177/0146621618758290. Epub 2018 Apr 9.
3
Item-Score Reliability as a Selection Tool in Test Construction.
Front Psychol. 2019 Jan 11;9:2298. doi: 10.3389/fpsyg.2018.02298. eCollection 2018.
5
Deflation-Corrected Estimators of Reliability.
Front Psychol. 2022 Jan 4;12:748672. doi: 10.3389/fpsyg.2021.748672. eCollection 2021.
6
Attenuation-Corrected Estimators of Reliability.
Appl Psychol Meas. 2022 Nov;46(8):720-737. doi: 10.1177/01466216221108131. Epub 2022 Sep 15.
7
The Quality of Life Impact of Refractive Correction (QIRC) Questionnaire: development and validation.
Optom Vis Sci. 2004 Oct;81(10):769-77. doi: 10.1097/00006324-200410000-00009.
8
An Investigation of the Impact of Guessing on Coefficient α and Reliability.
Appl Psychol Meas. 2015 Jun;39(4):264-277. doi: 10.1177/0146621614559516. Epub 2014 Dec 16.
10
Typology of Deflation-Corrected Estimators of Reliability.
Front Psychol. 2022 Jul 18;13:891959. doi: 10.3389/fpsyg.2022.891959. eCollection 2022.

引用本文的文献

1
Evaluation of Bangladesh Healthy Eating Index (BD-HEI).
BMC Nutr. 2025 Aug 7;11(1):159. doi: 10.1186/s40795-025-01091-5.
2
Development and Validation of a Tool to Measure Gender Equality Among Adults in a Slum of Kolkata, India.
Cureus. 2025 Jun 20;17(6):e86418. doi: 10.7759/cureus.86418. eCollection 2025 Jun.
4
Development of self-report measures of physical, mental, and emotional fatigability: the michigan fatigability index (MIFI).
Qual Life Res. 2025 Jun;34(6):1735-1748. doi: 10.1007/s11136-025-03934-x. Epub 2025 Mar 6.
6
Comparison of different reliability estimation methods for single-item assessment: a simulation study.
Front Psychol. 2024 Nov 1;15:1482016. doi: 10.3389/fpsyg.2024.1482016. eCollection 2024.
7
Methodology for developing and validating Bangladesh healthy eating index: A study protocol.
PLoS One. 2024 Oct 21;19(10):e0309130. doi: 10.1371/journal.pone.0309130. eCollection 2024.

本文引用的文献

1
Methods for Estimating Item-Score Reliability.
Appl Psychol Meas. 2018 Oct;42(7):553-570. doi: 10.1177/0146621618758290. Epub 2018 Apr 9.
2
Conditional reliability coefficients for test scores.
Psychol Methods. 2018 Jun;23(2):351-362. doi: 10.1037/met0000132. Epub 2017 Apr 6.
3
A tutorial on how to do a Mokken scale analysis on your test and questionnaire data.
Br J Math Stat Psychol. 2017 Feb;70(1):137-158. doi: 10.1111/bmsp.12078. Epub 2016 Dec 13.
4
On The Robustness Of Factor Analysis Against Crude Classification Of The Observations.
Multivariate Behav Res. 1979 Oct 1;14(4):485-500. doi: 10.1207/s15327906mbr1404_7.
5
Conceptions of reliability revisited and practical recommendations.
Nurs Res. 2015 Mar-Apr;64(2):128-36. doi: 10.1097/NNR.0000000000000077.
6
Using a single item to measure burnout in primary care staff: a psychometric evaluation.
J Gen Intern Med. 2015 May;30(5):582-7. doi: 10.1007/s11606-014-3112-6. Epub 2014 Dec 2.
7
A basis for analyzing test-retest reliability.
Psychometrika. 1945;10:255-82. doi: 10.1007/BF02288892.
8
Empirical, theoretical, and practical advantages of the HEXACO model of personality structure.
Pers Soc Psychol Rev. 2007 May;11(2):150-66. doi: 10.1177/1088868306294907.
9
Reliability and validity of 2 single-item measures of psychosocial stress.
Epidemiology. 2006 Jul;17(4):398-403. doi: 10.1097/01.ede.0000219721.89552.51.
10
The Satisfaction With Life Scale.
J Pers Assess. 1985 Feb;49(1):71-5. doi: 10.1207/s15327752jpa4901_13.

文献AI研究员

20分钟写一篇综述,助力文献阅读效率提升50倍。

立即体验

用中文搜PubMed

大模型驱动的PubMed中文搜索引擎

马上搜索

文档翻译

学术文献翻译模型,支持多种主流文档格式。

立即体验