Suppr超能文献

自我报告的睡眠质量结合睡眠时间变异性可区分多发性硬化症患者在疲劳、焦虑和抑郁方面的差异:一项二次分析。

Self-report sleep quality combined with sleep time variability distinguishes differences in fatigue, anxiety, and depression in individuals with multiple sclerosis: A secondary analysis.

作者信息

Siengsukon Catherine F, Alshehri Mohammed, Aldughmi Mayis

机构信息

Department of Physical Therapy and Rehabilitation Science, University of Kansas Medical Center, USA.

Department of Physiotherapy, The University of Jordan, Jordan.

出版信息

Mult Scler J Exp Transl Clin. 2018 Dec 12;4(4):2055217318815924. doi: 10.1177/2055217318815924. eCollection 2018 Oct-Dec.

Abstract

BACKGROUND

Nearly 70% of individuals with multiple sclerosis report sleep disturbances or poor sleep quality. Sleep disturbances may exacerbate or complicate the management of multiple sclerosis-related symptoms. While sleep variability has been associated with several health outcomes, it is unclear how sleep variability is associated with multiple sclerosis-related symptoms.

OBJECTIVE

The purpose of this study was to determine how total sleep time variability combined with self-reported sleep quality is associated with fatigue, depression, and anxiety in individuals with multiple sclerosis.

METHODS

This study involved a secondary analysis of actigraphy data and questionnaires to assess sleep quality, fatigue, anxiety, and depression.

RESULTS

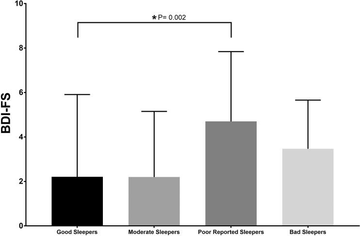
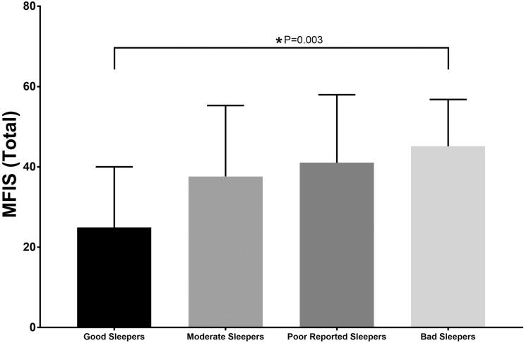
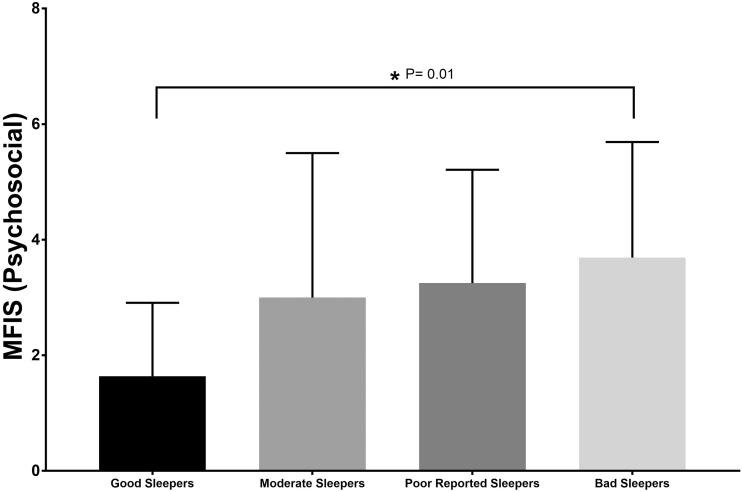
There were significant differences between the Good Sleepers (good sleep quality/low sleep time variability; =14) and Bad Sleepers (poor sleep quality/high sleep time variability; =23) in overall fatigue (=0.003), cognitive (=0.002) and psychosocial fatigue (=0.01) subscales, and in trait anxiety (=0.007). There were significant differences in state (=0.004) and trait (=0.001) anxiety and depression (=0.002) between the Good Sleepers and Poor Reported Sleepers (poor sleep quality/low sleep time variability; =24).

CONCLUSION

These results indicate different factors are associated with poor sleep quality in individuals with low versus high total sleep time variability. Considering the factors that are associated with sleep quality and variability may allow for better tailoring of interventions aimed at improving sleep issues or comorbid conditions.

摘要

背景

近70%的多发性硬化症患者报告存在睡眠障碍或睡眠质量差的问题。睡眠障碍可能会使多发性硬化症相关症状的管理变得更加复杂或恶化。虽然睡眠变异性与多种健康结果相关,但尚不清楚睡眠变异性与多发性硬化症相关症状之间是如何关联的。

目的

本研究的目的是确定总睡眠时间变异性与自我报告的睡眠质量相结合是如何与多发性硬化症患者的疲劳、抑郁和焦虑相关联的。

方法

本研究涉及对活动记录仪数据和问卷进行二次分析,以评估睡眠质量、疲劳、焦虑和抑郁。

结果

在总体疲劳(=0.003)、认知(=0.002)和心理社会疲劳(=0.01)子量表以及特质焦虑(=0.007)方面,良好睡眠者(睡眠质量好/睡眠时间变异性低;=14)和不良睡眠者(睡眠质量差/睡眠时间变异性高;=23)之间存在显著差异。在状态焦虑(=0.004)、特质焦虑(=0.001)和抑郁(=0.002)方面,良好睡眠者与睡眠报告不佳者(睡眠质量差/睡眠时间变异性低;=24)之间存在显著差异。

结论

这些结果表明,总睡眠时间变异性低与高的个体中,与睡眠质量差相关的因素有所不同。考虑与睡眠质量和变异性相关的因素可能有助于更好地定制旨在改善睡眠问题或合并症的干预措施。

https://cdn.ncbi.nlm.nih.gov/pmc/blobs/4472/6293381/82fe0c287654/10.1177_2055217318815924-fig1.jpg

文献检索

告别复杂PubMed语法,用中文像聊天一样搜索,搜遍4000万医学文献。AI智能推荐,让科研检索更轻松。

立即免费搜索

文件翻译

保留排版,准确专业,支持PDF/Word/PPT等文件格式,支持 12+语言互译。

免费翻译文档

深度研究

AI帮你快速写综述,25分钟生成高质量综述,智能提取关键信息,辅助科研写作。

立即免费体验