Suppr超能文献

克罗恩病粪便宏基因组的调控:miRNAs 作为生物标志物的作用。

Modulation of faecal metagenome in Crohn's disease: Role of microRNAs as biomarkers.

机构信息

Department of Digestive Diseases, Valme University Hospital, UGC Digestive Disease and CIBERehd, Servicio Andaluz de Salud, Seville E-41014, Spain.

Complejo Hospitalario Universitario de Granada, Microbiology, Granada E-18016, Spain.

出版信息

World J Gastroenterol. 2018 Dec 14;24(46):5223-5233. doi: 10.3748/wjg.v24.i46.5223.

Abstract

BACKGROUND

The gut microbiota plays a key role in the maintenance of intestinal homeostasis and the development and activation of the host immune system. It has been shown that commensal bacterial species can regulate the expression of host genes. 16S rRNA gene sequencing has shown that the microbiota in inflammatory bowel disease (IBD) is abnormal and characterized by reduced diversity. MicroRNAs (miRNAs) have been explored as biomarkers and therapeutic targets, since they are able to regulate specific genes associated with Crohn's disease (CD). In this work, we aim to investigate the composition of gut microbiota of active treatment-naïve adult CD patients, with miRNA profile from gut microbiota.

AIM

To investigate the composition of gut microbiota of active treatment-naïve adult CD patients, with miRNA profile from gut microbiota.

METHODS

Patients attending the outpatient clinics at Valme University Hospital without relevant co-morbidities were matched according to age and gender. Faecal samples of new-onset CD patients, free of treatment, and healthy controls were collected. Faecal samples were homogenized, and DNA was amplified by PCR using primers directed to the 16S bacterial rRNA gene. Pyrosequencing was performed using GS-Junior platform. For sequence analysis, MG-RAST server with the database Ribosomal Project was used. MiRNA profile and their relative abundance were analyzed by quantitative PCR.

RESULTS

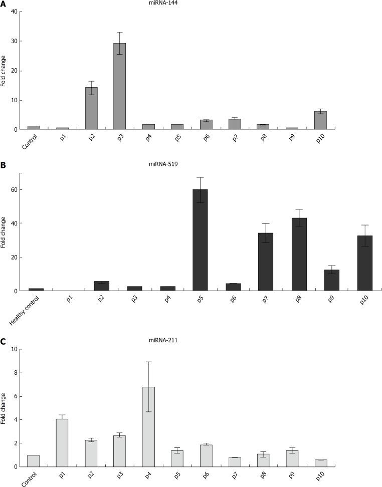
Microbial community was characterized using 16S rRNA gene sequencing in 29 samples ( = 13 CD patients, and = 16 healthy controls). The mean Shannon diversity was higher in the healthy control population compared to CD group (5.5 3.7). A reduction in and an increase in were found. class was also significantly reduced in CD. Principal components analysis showed a grouping pattern, identified in most of the subjects in both groups, showing a marked difference between control and CD groups. A functional metabolic study showed that a lower metabolism of carbohydrates ( = 0.000) was found in CD group, while the metabolism of lipids was increased. In CD patients, three miRNAs were induced in affected mucosa: mir-144 (6.2 ± 1.3 fold), mir-519 (21.8 ± 3.1) and mir-211 (2.3 ± 0.4).

CONCLUSION

Changes in microbial function in active non-treated CD subjects and three miRNAs in affected non-affected mucosa have been found. miRNAs profile may serve as a biomarker.

摘要

背景

肠道微生物群在维持肠道内环境稳态和宿主免疫系统的发育和激活中起着关键作用。已经表明,共生细菌物种可以调节宿主基因的表达。16S rRNA 基因测序表明,炎症性肠病(IBD)的微生物群是异常的,其特征是多样性降低。microRNAs(miRNAs)已被探索作为生物标志物和治疗靶点,因为它们能够调节与克罗恩病(CD)相关的特定基因。在这项工作中,我们旨在研究活性治疗初治成年 CD 患者的肠道微生物群的组成,以及肠道微生物群的 miRNA 谱。

目的

研究活性治疗初治成年 CD 患者的肠道微生物群的组成,以及肠道微生物群的 miRNA 谱。

方法

根据年龄和性别,在瓦尔梅大学医院门诊就诊的无相关合并症的患者进行匹配。收集未经治疗的新发 CD 患者和健康对照者的粪便样本。粪便样本用 PCR 用引物扩增 16S 细菌 rRNA 基因。使用 GS-Junior 平台进行焦磷酸测序。使用 MG-RAST 服务器和核糖体项目数据库进行序列分析。通过定量 PCR 分析 miRNA 谱及其相对丰度。

结果

在 29 个样本中(= 13 例 CD 患者和= 16 例健康对照者)用 16S rRNA 基因测序对微生物群落进行了特征描述。健康对照组的平均 Shannon 多样性高于 CD 组(5.5 3.7)。发现减少,增加。CD 组也显著减少了类。主成分分析显示出一种分组模式,在两组的大多数受试者中都能识别出来,在对照组和 CD 组之间显示出明显的差异。功能代谢研究表明,CD 组碳水化合物的代谢减少(= 0.000),而脂质的代谢增加。在 CD 患者中,在受影响的粘膜中诱导了三种 miRNA:mir-144(6.2±1.3 倍),mir-519(21.8±3.1)和 mir-211(2.3±0.4)。

结论

在活跃的非治疗 CD 受试者中发现了微生物功能的变化和非受影响粘膜中三种 miRNA 的变化。miRNA 谱可能作为一种生物标志物。

https://cdn.ncbi.nlm.nih.gov/pmc/blobs/59d1/6295834/046945d46cf5/WJG-24-5223-g001.jpg

文献检索

告别复杂PubMed语法,用中文像聊天一样搜索,搜遍4000万医学文献。AI智能推荐,让科研检索更轻松。

立即免费搜索

文件翻译

保留排版,准确专业,支持PDF/Word/PPT等文件格式,支持 12+语言互译。

免费翻译文档

深度研究

AI帮你快速写综述,25分钟生成高质量综述,智能提取关键信息,辅助科研写作。

立即免费体验