Suppr超能文献

适应盐胁迫的黄瓜叶片中碳代谢与氮代谢的关系。

The relationship between carbon and nitrogen metabolism in cucumber leaves acclimated to salt stress.

作者信息

Naliwajski Marcin Robert, Skłodowska Maria

机构信息

Department of Plant Physiology and Biochemistry, Faculty of Biology and Environmental Protection, University of Lodz, Lodz, Poland.

出版信息

PeerJ. 2018 Dec 10;6:e6043. doi: 10.7717/peerj.6043. eCollection 2018.

Abstract

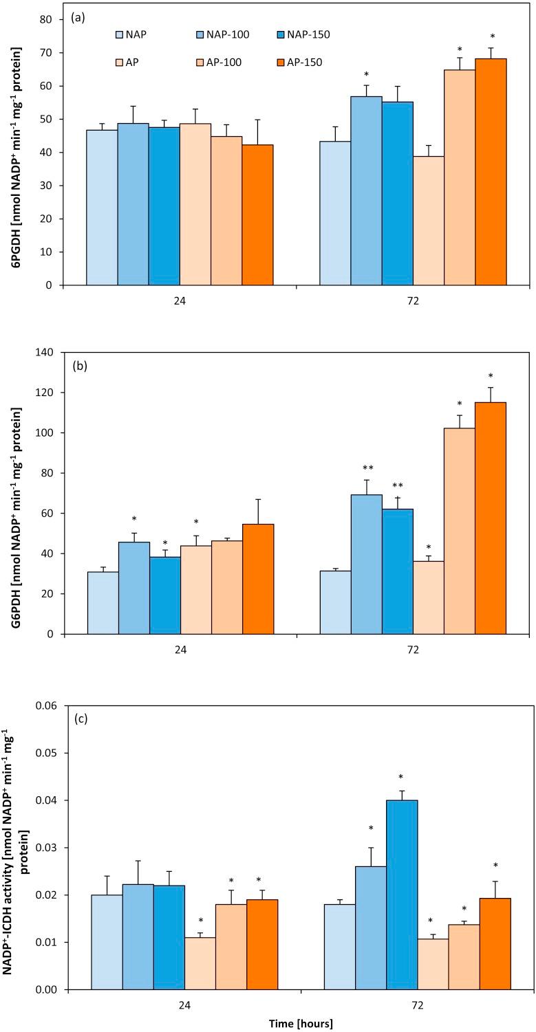
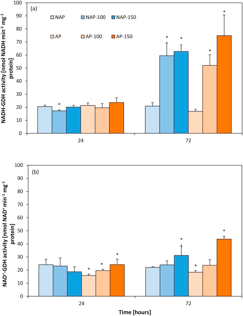
The study examines the effect of acclimation on carbon and nitrogen metabolism in cucumber leaves subjected to moderate and severe NaCl stress. The levels of glucose, sucrose, NADH/NAD-GDH, AspAT, AlaAT, NADP-ICDH, G6PDH and 6GPDH activity were determined after 24 and 72 hour periods of salt stress in acclimated and non-acclimated plants. Although both groups of plants showed high Glc and Suc accumulation, they differed with regard to the range and time of accumulation. Acclimation to salinity decreased the activities of NADP-ICDH and deaminating NAD-GDH compared to controls; however, these enzymes, together with the other examined parameters, showed elevated values in the stressed plants. The acclimated plants showed higher G6PDH activity than the non-acclimated plants, whereas both groups demonstrated similar 6PGDH activity. The high activities of NADH-GDH, AlaAT and AspAT observed in the examined plants could be attributed to a high demand for glutamate. The observed changes may be required for the maintenance of correct TCA cycle activity, and acclimation appeared to positively influence these adaptive processes.

摘要

该研究考察了驯化对遭受中度和重度NaCl胁迫的黄瓜叶片碳氮代谢的影响。在驯化和未驯化植株经历24小时和72小时盐胁迫后,测定了葡萄糖、蔗糖、NADH/NAD - GDH、天冬氨酸氨基转移酶(AspAT)、丙氨酸氨基转移酶(AlaAT)、NADP - 异柠檬酸脱氢酶(NADP - ICDH)、葡萄糖 - 6 - 磷酸脱氢酶(G6PDH)和6 - 磷酸葡萄糖酸脱氢酶(6GPDH)的活性水平。虽然两组植株均表现出高葡萄糖(Glc)和蔗糖(Suc)积累,但它们在积累范围和时间方面存在差异。与对照相比,盐度驯化降低了NADP - ICDH和脱氨基NAD - GDH的活性;然而,这些酶以及其他检测参数在胁迫植株中显示出升高的值。驯化植株比未驯化植株表现出更高的G6PDH活性,而两组植株的6PGDH活性相似。在所检测植株中观察到的NADH - GDH、AlaAT和AspAT的高活性可能归因于对谷氨酸的高需求。观察到的变化可能是维持正确的三羧酸循环(TCA)活性所必需的,并且驯化似乎对这些适应性过程产生了积极影响。

https://cdn.ncbi.nlm.nih.gov/pmc/blobs/0785/6292378/27c46e6cdbfc/peerj-06-6043-g001.jpg

文献AI研究员

20分钟写一篇综述,助力文献阅读效率提升50倍。

立即体验

用中文搜PubMed

大模型驱动的PubMed中文搜索引擎

马上搜索

文档翻译

学术文献翻译模型,支持多种主流文档格式。

立即体验