Suppr超能文献

基于智能手机与标准基-尖部心电图在健康奶牛中的比较。

Comparison of smartphone-based and standard base-apex electrocardiography in healthy dairy cows.

作者信息

Bonelli Francesca, Vezzosi Tommaso, Meylan Mireille, Nocera Irene, Ferrulli Vincenzo, Buralli Carlotta, Meucci Valentina, Tognetti Rosalba

机构信息

Department of Veterinary Sciences, University of Pisa, Pisa, Italy.

The Clinic for Ruminants, Vetsuisse-Faculty, University of Bern, Bern, Switzerland.

出版信息

J Vet Intern Med. 2019 Mar;33(2):981-986. doi: 10.1111/jvim.15396. Epub 2018 Dec 27.

Abstract

BACKGROUND

There is good diagnostic accuracy of smartphone-based ECG in the evaluation of heart rate (HR), heart rhythm, and ECG values for humans, horses, dogs, and cats.

OBJECTIVES

Assess feasibility and reliability of a smartphone ECG device to evaluate HR expressed as beats per minute and ECG values in cows.

ANIMALS

Fifty-five healthy Holstein Friesian cows.

METHODS

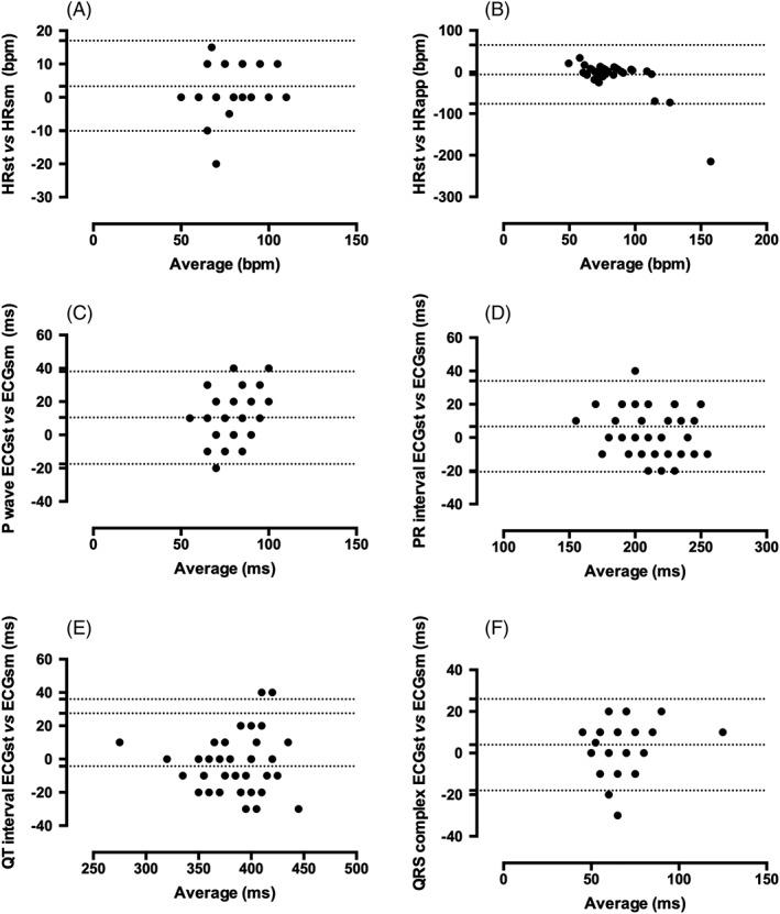
Prospective observational study. A standard base-apex ECG was acquired for 60 seconds in each cow. A smartphone ECG tracing was recorded simultaneously using a single-lead bipolar ECG recorder. All ECGs were reviewed by 1 blinded investigator. The following ECG variables were assessed: HR, P wave duration, PR interval, QRS complex and QT interval (milliseconds), P wave, and QRS complex polarity. Agreement between standard and smartphone ECG was evaluated by Cohen's k test and the Bland-Altman test.

RESULTS

Smartphone ECG tracings were interpretable in 89% of the recordings. Minimal differences of no clinical relevance were found between standard and smartphone ECG tracings regarding HR and duration of ECG waves and interval. Good agreement found in the evaluation of QRS complex polarity (85%) but not for P wave polarity (k = 0.006). Artifacts were rare but of significantly higher frequency in smartphone ECG compared to standard ECG tracings (22% versus 0%; P = .005).

CONCLUSIONS AND CLINICAL IMPORTANCE

Good quality single-lead ECG tracings can be recorded by smartphone device in healthy cows. Smartphone tracings are reliable for evaluation of HR and selective ECG variables. Smartphone ECG can represent an additional tool for ECG screening in cows.

摘要

背景

基于智能手机的心电图在评估人类、马、狗和猫的心率(HR)、心律和心电图值方面具有良好的诊断准确性。

目的

评估一种智能手机心电图设备评估奶牛每分钟心跳次数表示的心率和心电图值的可行性和可靠性。

动物

55头健康的荷斯坦弗里生奶牛。

方法

前瞻性观察研究。每头奶牛采集60秒的标准基-尖心电图。使用单导联双极心电图记录仪同时记录智能手机心电图描记图。所有心电图均由1名盲法研究者进行审查。评估以下心电图变量:心率、P波时限、PR间期、QRS波群和QT间期(毫秒)、P波和QRS波群极性。通过科恩k检验和布兰德-奥特曼检验评估标准心电图和智能手机心电图之间的一致性。

结果

89%的记录中智能手机心电图描记图可解读。在心率以及心电图波和间期的持续时间方面,标准心电图和智能手机心电图描记图之间发现的差异极小,无临床相关性。在QRS波群极性评估中一致性良好(85%),但在P波极性评估中不一致(k = 0.006)。伪迹很少见,但与标准心电图描记图相比,智能手机心电图中的伪迹频率明显更高(22%对0%;P = 0.005)。

结论及临床意义

智能手机设备可在健康奶牛中记录高质量的单导联心电图描记图。智能手机描记图在评估心率和选择性心电图变量方面可靠。智能手机心电图可作为奶牛心电图筛查的一种额外工具。

https://cdn.ncbi.nlm.nih.gov/pmc/blobs/c574/6430901/67e5d09eab13/JVIM-33-981-g001.jpg

文献AI研究员

20分钟写一篇综述,助力文献阅读效率提升50倍。

立即体验

用中文搜PubMed

大模型驱动的PubMed中文搜索引擎

马上搜索

文档翻译

学术文献翻译模型,支持多种主流文档格式。

立即体验