Suppr超能文献

一类新型合成类黄酮木脂素二聚体:分子数量依然较少,但具有吸引力的性质。

A New Class of Synthetic Flavonolignan-Like Dimers: Still Few Molecules, but with Attractive Properties.

机构信息

Department of Chemical Sciences, University of Napoli 'Federico II', Via Cintia 4, I-80126 Napoli, Italy.

出版信息

Molecules. 2018 Dec 29;24(1):108. doi: 10.3390/molecules24010108.

Abstract

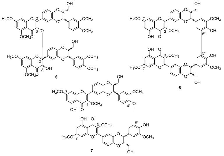
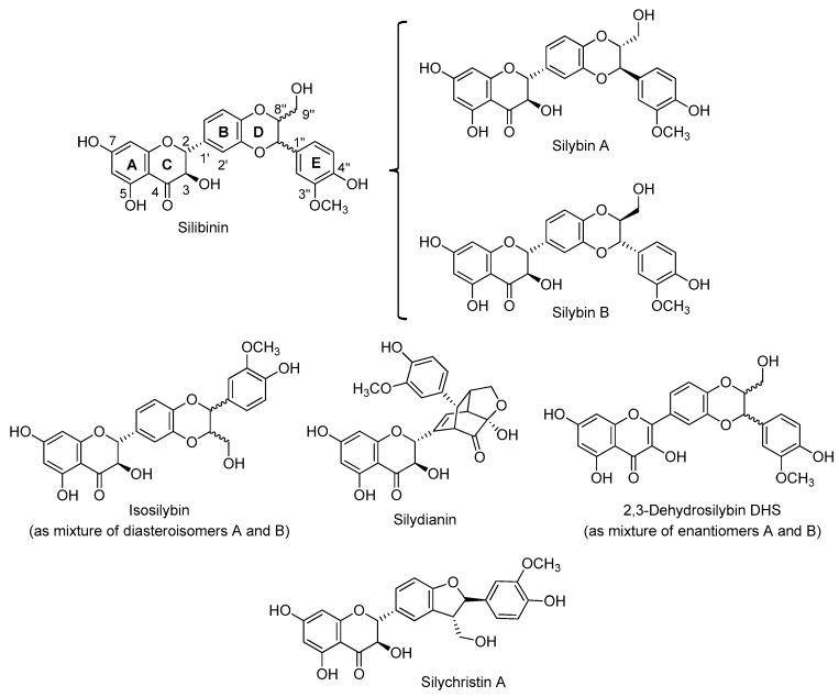
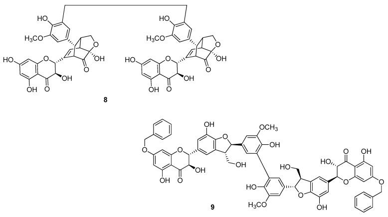
In recent years, there has been increasing interest in dimeric molecules due to reports of their promising therapeutic value in the treatment of numerous diseases (such as cancer, HIV, Alzheimer's and, malaria). Many reports in the literature have highlighted the ability of these molecules to interact not only with specific biologic receptors but also to induce a biological response that more than doubles the results of the corresponding monomeric counterpart. In this regard, flavonolignan dimers or simply flavonolignans are an emerging class of dimeric compounds that unlike -flavonoids, which are very widespread in nature, consist of synthetic dimers of some flavonolignans isolated from the milk thistle [L. Gaertn. (Asteraceae)]. This mini-review will discuss recent developments in the synthesis, characterization and antioxidant activity of new families of flavonolignan dimers, in light of emerging medicinal chemistry strategies.

摘要

近年来,由于报道称二聚体分子在治疗多种疾病(如癌症、艾滋病、老年痴呆症和疟疾)方面具有有前景的治疗价值,人们对二聚体分子越来越感兴趣。文献中的许多报道强调了这些分子不仅能够与特定的生物受体相互作用,而且还能够诱导生物学反应,使相应的单体对应物的效果增加一倍以上。在这方面,黄酮醇二聚体或简单地说黄酮醇二聚体是一类新兴的二聚体化合物,与 -类黄酮不同,-类黄酮在自然界中非常广泛,它由从奶蓟草 [L. Gaertn.(菊科)] 中分离出的一些黄酮醇二聚体合成的二聚体组成。本综述将讨论根据新兴的药物化学策略,新的黄酮醇二聚体家族的合成、表征和抗氧化活性的最新进展。

https://cdn.ncbi.nlm.nih.gov/pmc/blobs/c138/6337569/7ea5c3b7d564/molecules-24-00108-g001.jpg

文献检索

告别复杂PubMed语法,用中文像聊天一样搜索,搜遍4000万医学文献。AI智能推荐,让科研检索更轻松。

立即免费搜索

文件翻译

保留排版,准确专业,支持PDF/Word/PPT等文件格式,支持 12+语言互译。

免费翻译文档

深度研究

AI帮你快速写综述,25分钟生成高质量综述,智能提取关键信息,辅助科研写作。

立即免费体验