Suppr超能文献

通过炔烃苯环化反应合成纳米石墨烯和石墨烯纳米带。

Nanographene and Graphene Nanoribbon Synthesis via Alkyne Benzannulations.

机构信息

Department of Chemistry, University of Nevada, Reno, 1664 N. Virginia St., Reno, NV 89557, USA.

出版信息

Molecules. 2018 Dec 30;24(1):118. doi: 10.3390/molecules24010118.

Abstract

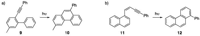
The extension of π-conjugation of polycyclic aromatic hydrocarbons (PAHs) via alkyne benzannulation reactions has become an increasingly utilized tool over the past few years. This short review will highlight recent work of alkyne benzannulations in the context of large nanographene as well as graphene nanoribbon synthesis along with a brief discussion of the interesting physical properties these molecules display.

摘要

过去几年中,通过炔烃苯环化反应来扩展多环芳烃(PAHs)的π共轭已成为一种越来越有用的工具。这篇简短的综述将重点介绍炔烃苯环化反应在大尺寸纳米石墨烯以及石墨烯纳米带合成方面的最新研究进展,并简要讨论这些分子所表现出的有趣物理性质。

https://cdn.ncbi.nlm.nih.gov/pmc/blobs/090e/6337508/fd11e3eed6d6/molecules-24-00118-sch001.jpg

文献AI研究员

20分钟写一篇综述,助力文献阅读效率提升50倍。

立即体验

用中文搜PubMed

大模型驱动的PubMed中文搜索引擎

马上搜索

文档翻译

学术文献翻译模型,支持多种主流文档格式。

立即体验