Department of Biochemistry and Molecular Biophysics, Washington University School of Medicine, Saint Louis, MO, USA.
MilliporeSigma, St. Louis, MO, USA.
Nucleic Acids Res. 2019 Feb 28;47(4):1977-1986. doi: 10.1093/nar/gky1321.
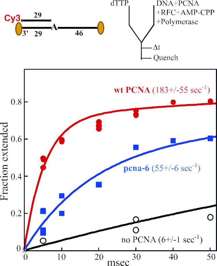
DNA polymerase delta (Pol δ) is responsible for the elongation and maturation of Okazaki fragments in eukaryotic cells. Proliferating cell nuclear antigen (PCNA) recruits Pol δ to the DNA and serves as a processivity factor. Here, we show that PCNA also stimulates the catalytic rate of Saccharomyces cerevisiae Pol δ by >10-fold. We determined template/primer DNA binding affinities and stoichiometries by Pol δ in the absence of PCNA, using electrophoretic mobility shift assays, fluorescence intensity changes and fluorescence anisotropy binding titrations. We provide evidence that Pol δ forms higher ordered complexes upon binding to DNA. The Pol δ catalytic rates in the absence and presence of PCNA were determined at millisecond time resolution using quench flow kinetic measurements. The observed rate for single nucleotide incorporation by a preformed DNA-Pol δ complex in the absence of PCNA was 40 s-1. PCNA enhanced the nucleotide incorporation rate by >10 fold. Compared to wild-type, a growth-defective yeast PCNA mutant (DD41,42AA) showed substantially less stimulation of the Pol δ nucleotide incorporation rate, identifying the face of PCNA that is important for the acceleration of catalysis.
DNA 聚合酶 δ(Pol δ)负责真核细胞中冈崎片段的延伸和成熟。增殖细胞核抗原(PCNA)将 Pol δ 招募到 DNA 上,并作为一个持续合成因子。在这里,我们发现 PCNA 还能将酿酒酵母 Pol δ 的催化速率提高 10 多倍。我们使用电泳迁移率变动分析、荧光强度变化和荧光各向异性结合滴定,在没有 PCNA 的情况下,确定了 Pol δ 对模板/引物 DNA 的结合亲和力和计量。我们提供的证据表明,Pol δ 在与 DNA 结合后会形成更高阶的复合物。我们使用猝灭流动动力学测量法,在毫秒时间分辨率下,确定了 Pol δ 在有无 PCNA 存在时的单核苷酸掺入的催化速率。在没有 PCNA 的情况下,预形成的 DNA-Pol δ 复合物中单核苷酸掺入的观察速率为 40 s-1。PCNA 将核苷酸掺入速率提高了 10 多倍。与野生型相比,生长缺陷型酵母 PCNA 突变体(DD41,42AA)对 Pol δ 核苷酸掺入速率的刺激作用明显降低,这确定了 PCNA 对催化加速至关重要的面。