• 文献检索
  • 文档翻译
  • 深度研究
  • 学术资讯
  • Suppr Zotero 插件Zotero 插件
  • 邀请有礼
  • 套餐&价格
  • 历史记录
应用&插件
Suppr Zotero 插件Zotero 插件浏览器插件Mac 客户端Windows 客户端微信小程序
定价
高级版会员购买积分包购买API积分包
服务
文献检索文档翻译深度研究API 文档MCP 服务
关于我们
关于 Suppr公司介绍联系我们用户协议隐私条款
关注我们

Suppr 超能文献

核心技术专利:CN118964589B侵权必究
粤ICP备2023148730 号-1Suppr @ 2026

文献检索

告别复杂PubMed语法,用中文像聊天一样搜索,搜遍4000万医学文献。AI智能推荐,让科研检索更轻松。

立即免费搜索

文件翻译

保留排版,准确专业,支持PDF/Word/PPT等文件格式,支持 12+语言互译。

免费翻译文档

深度研究

AI帮你快速写综述,25分钟生成高质量综述,智能提取关键信息,辅助科研写作。

立即免费体验

微调的入侵者识别有利于寄生性天敌。

Fine-tuned intruder discrimination favors ant parasitoidism.

机构信息

Conservación de la Biodiversidad, El Colegio de la Frontera Sur, Chetumal, Quintana Roo, Mexico.

El Colegio de la Frontera Sur, Tapachula, Chiapas, Mexico.

出版信息

PLoS One. 2019 Jan 17;14(1):e0210739. doi: 10.1371/journal.pone.0210739. eCollection 2019.

DOI:10.1371/journal.pone.0210739
PMID:30653595
原文链接:https://pmc.ncbi.nlm.nih.gov/articles/PMC6336292/
Abstract

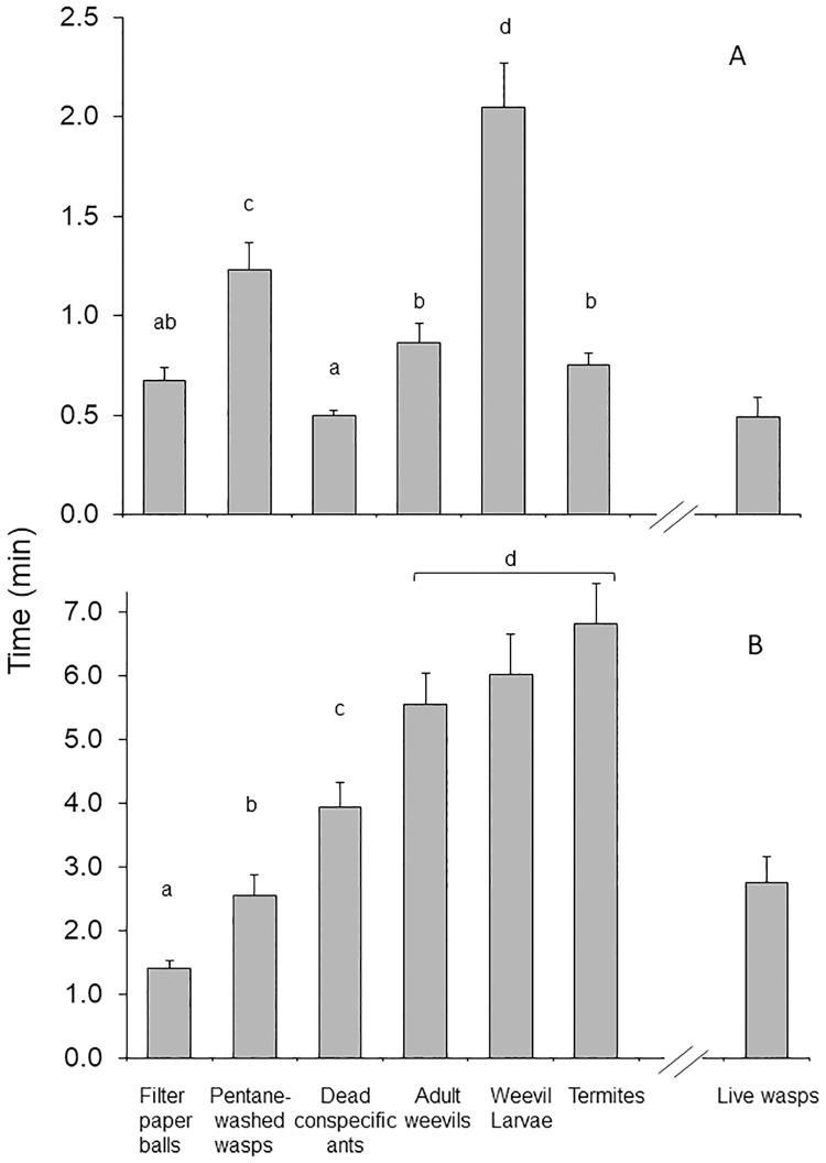
A diversity of arthropods (myrmecophiles) thrives within ant nests, many of them unmolested though some, such as the specialized Eucharitidae parasitoids, may cause direct damage to their hosts. Ants are known to discriminate between nestmates and non-nestmates, but whether they recognize the strength of a threat and their capacity to adjust their behavior accordingly have not been fully explored. We aimed to determine whether Ectatomma tuberculatum ants exhibited specific behavioral responses to potential or actual intruders posing different threats to the host colony and to contribute to an understanding of complex ant-eucharitid interactions. Behavioral responses differed significantly according to intruder type. Ants evicted intruders that represented a threat to the colony's health (dead ants) or were not suitable as prey items (filter paper, eucharitid parasitoid wasps, non myrmecophilous adult weevils), but killed potential prey (weevil larvae, termites). The timing of detection was in accordance with the nature and size of the intruder: corpses (a potential source of contamination) were detected faster than any other intruder and transported to the refuse piles within 15 min. The structure and complexity of behavioral sequences differed among those intruders that were discarded. Workers not only recognized and discriminated between several distinct intruders but also adjusted their behavior to the type of intruder encountered. Our results confirm the previously documented recognition capabilities of E. tuberculatum workers and reveal a very fine-tuned intruder discrimination response. Colony-level prophylactic and hygienic behavioral responses through effective removal of inedible intruders appears to be the most general and flexible form of defense in ants against a diverse array of intruders. However, this generalized response to both potentially lethal and harmless intruders might have driven the evolution of ant-eucharitid interactions, opening a window for parasitoid attack and allowing adult parasitoid wasps to quickly leave the natal nest unharmed.

摘要

节肢动物(共生蚁)在蚁巢中茁壮成长,其中许多动物未受到干扰,尽管有些动物,如专门的 Eucharitidae 寄生蜂,可能会对其宿主造成直接损害。众所周知,蚂蚁可以区分巢内成员和非巢内成员,但它们是否能够识别威胁的强度以及是否能够相应地调整行为还没有得到充分的探索。我们的目的是确定 Ectatomma tuberculatum 蚂蚁是否会对潜在或实际的入侵者表现出特定的行为反应,这些入侵者对宿主群体构成不同的威胁,并有助于理解复杂的蚂蚁与 Eucharitidae 的相互作用。行为反应根据入侵者的类型而有显著差异。蚂蚁驱逐对蚁群健康构成威胁的入侵者(死蚂蚁)或不适合作为猎物的入侵者(滤纸、Eucharitidae 寄生蜂、非共生成年象鼻虫),但会杀死潜在的猎物(象鼻虫幼虫、白蚁)。检测时间与入侵者的性质和大小一致:尸体(潜在的污染源)比任何其他入侵者更快地被检测到,并在 15 分钟内被运到垃圾场。丢弃的入侵者的行为序列结构和复杂性不同。工蚁不仅识别和区分了几种不同的入侵者,还根据遇到的入侵者类型调整了行为。我们的结果证实了先前记录的 E. tuberculatum 工蚁的识别能力,并揭示了非常精细的入侵者识别反应。通过有效清除不可食用的入侵者,对不同类型的入侵者进行群体预防性和卫生性的行为反应,似乎是蚂蚁针对各种入侵者的最普遍和最灵活的防御形式。然而,这种对潜在致命和无害入侵者的普遍反应可能推动了蚂蚁与 Eucharitidae 的相互作用的进化,为寄生蜂的攻击打开了一扇窗,并使成年寄生蜂能够迅速离开未受伤害的原生巢。

https://cdn.ncbi.nlm.nih.gov/pmc/blobs/182b/6336292/af5946ce475c/pone.0210739.g004.jpg
https://cdn.ncbi.nlm.nih.gov/pmc/blobs/182b/6336292/ccec4c4bfcd9/pone.0210739.g001.jpg
https://cdn.ncbi.nlm.nih.gov/pmc/blobs/182b/6336292/bab2ed01c5b1/pone.0210739.g002.jpg
https://cdn.ncbi.nlm.nih.gov/pmc/blobs/182b/6336292/83863d6dc8f2/pone.0210739.g003.jpg
https://cdn.ncbi.nlm.nih.gov/pmc/blobs/182b/6336292/af5946ce475c/pone.0210739.g004.jpg
https://cdn.ncbi.nlm.nih.gov/pmc/blobs/182b/6336292/ccec4c4bfcd9/pone.0210739.g001.jpg
https://cdn.ncbi.nlm.nih.gov/pmc/blobs/182b/6336292/bab2ed01c5b1/pone.0210739.g002.jpg
https://cdn.ncbi.nlm.nih.gov/pmc/blobs/182b/6336292/83863d6dc8f2/pone.0210739.g003.jpg
https://cdn.ncbi.nlm.nih.gov/pmc/blobs/182b/6336292/af5946ce475c/pone.0210739.g004.jpg

相似文献

1
Fine-tuned intruder discrimination favors ant parasitoidism.微调的入侵者识别有利于寄生性天敌。
PLoS One. 2019 Jan 17;14(1):e0210739. doi: 10.1371/journal.pone.0210739. eCollection 2019.
2
How to escape from the host nest: imperfect chemical mimicry in eucharitid parasitoids and exploitation of the ants' hygienic behavior.如何逃离宿主巢穴:恩蚜小蜂科寄生蜂的不完美化学拟态与对蚂蚁卫生行为的利用
J Insect Physiol. 2015 Apr;75:63-72. doi: 10.1016/j.jinsphys.2015.03.003. Epub 2015 Mar 11.
3
Behavioral strategies of phorid parasitoids and responses of their hosts, the leaf-cutting ants.寄生蜂的行为策略及其寄主——切叶蚁的反应。
J Insect Sci. 2012;12:135. doi: 10.1673/031.012.13501.
4
Ancient host shifts followed by host conservatism in a group of ant parasitoids.一组蚂蚁寄生蜂中古老的宿主转移和随后的宿主保守性。
Proc Biol Sci. 2013 Apr 3;280(1759):20130495. doi: 10.1098/rspb.2013.0495. Print 2013 May 22.
5
What are the Mechanisms Behind a Parasite-Induced Decline in Nestmate Recognition in Ants?寄生虫导致蚂蚁对同巢伙伴识别能力下降的背后机制是什么?
J Chem Ecol. 2017 Sep;43(9):869-880. doi: 10.1007/s10886-017-0880-6. Epub 2017 Aug 25.
6
Parasitism, sexual dimorphism and effect of host size on Apocephalus attophilus offspring, a parasitoid of the leaf-cutting ant Atta bisphaerica.寄生、性二态性和宿主大小对切叶蚁 Atta bisphaerica 寄生蜂 Apocephalus attophilus 后代的影响。
PLoS One. 2018 Dec 3;13(12):e0208253. doi: 10.1371/journal.pone.0208253. eCollection 2018.
7
Do host species evolve a specific response to slave-making ants?宿主物种是否会对奴役蚂蚁产生特定的反应?
Front Zool. 2012 Dec 31;9(1):38. doi: 10.1186/1742-9994-9-38.
8
Spatial scale and density dependence in a host parasitoid system: an arboreal ant, Azteca instabilis, and its Pseudacteon phorid parasitoid.宿主-寄生蜂系统中的空间尺度和密度依赖性:一种树栖蚂蚁,不稳定阿兹特克蚁及其蚤蝇科寄生蜂
Environ Entomol. 2009 Jun;38(3):790-6. doi: 10.1603/022.038.0331.
9
Local and Landscape Drivers of Ant Parasitism in a Coffee Landscape.咖啡种植景观中蚂蚁寄生现象的局部和景观驱动因素
Environ Entomol. 2015 Aug;44(4):939-50. doi: 10.1093/ee/nvv071. Epub 2015 May 6.
10
Context dependent life-history shift in Macrodinychus sellnicki mites attacking a native ant host in Colombia.在哥伦比亚,以本地蚂蚁为宿主的麦氏巨须螨表现出与环境相关的生活史转变。
Sci Rep. 2019 Jun 10;9(1):8394. doi: 10.1038/s41598-019-44791-2.

引用本文的文献

1
Co-occurrence in ant primary parasitoids: a colony as host of two eucharitid wasp genera.蚂蚁初级寄生蜂的共现现象:一个蚁群作为两种恩蚜小蜂属黄蜂的宿主。
PeerJ. 2021 Aug 18;9:e11949. doi: 10.7717/peerj.11949. eCollection 2021.

本文引用的文献

1
Chemical and behavioral integration of army ant-associated rove beetles - a comparison between specialists and generalists.行军蚁相关隐翅虫的化学与行为整合——专性物种与广性物种的比较
Front Zool. 2018 Mar 16;15:8. doi: 10.1186/s12983-018-0249-x. eCollection 2018.
2
Infection of army ant pupae by two new parasitoid mites (Mesostigmata: Uropodina).两种新型寄生螨(中气门目:尾足螨亚目)对行军蚁蛹的感染
PeerJ. 2017 Oct 10;5:e3870. doi: 10.7717/peerj.3870. eCollection 2017.
3
Social Immunity: Emergence and Evolution of Colony-Level Disease Protection.
社会免疫力:群体水平疾病保护的出现和演化。
Annu Rev Entomol. 2018 Jan 7;63:105-123. doi: 10.1146/annurev-ento-020117-043110. Epub 2017 Sep 25.
4
Macrodinychus mites as parasitoids of invasive ants: an overlooked parasitic association.大型针毛螨作为入侵蚂蚁的寄生蜂:一种被忽视的寄生关系。
Sci Rep. 2016 Jul 21;6:29995. doi: 10.1038/srep29995.
5
Do well-integrated species of an inquiline community have a lower brood predation tendency? A test using red wood ant myrmecophiles.混居群落中整合良好的物种是否具有较低的育雏捕食倾向?一项以红木蚁蚁客为对象的测试。
BMC Evol Biol. 2016 Jan 19;16:12. doi: 10.1186/s12862-016-0583-6.
6
The Pied Piper: A Parasitic Beetle's Melodies Modulate Ant Behaviours.花衣魔笛手:一种寄生甲虫的旋律调节蚂蚁行为。
PLoS One. 2015 Jul 8;10(7):e0130541. doi: 10.1371/journal.pone.0130541. eCollection 2015.
7
Emergency measures: Adaptive response to pathogen intrusion in the ant nest.应急措施:蚁巢对病原体入侵的适应性反应。
Behav Processes. 2015 Jul;116:80-6. doi: 10.1016/j.beproc.2015.04.016. Epub 2015 May 1.
8
How to escape from the host nest: imperfect chemical mimicry in eucharitid parasitoids and exploitation of the ants' hygienic behavior.如何逃离宿主巢穴:恩蚜小蜂科寄生蜂的不完美化学拟态与对蚂蚁卫生行为的利用
J Insect Physiol. 2015 Apr;75:63-72. doi: 10.1016/j.jinsphys.2015.03.003. Epub 2015 Mar 11.
9
Be meek or be bold? A colony-level behavioural syndrome in ants.温顺还是大胆?蚂蚁群体层面的行为综合征。
Proc Biol Sci. 2014 Sep 22;281(1791):20140518. doi: 10.1098/rspb.2014.0518.
10
Keep the nest clean: survival advantages of corpse removal in ants.保持巢穴清洁:蚂蚁移除尸体的生存优势
Biol Lett. 2014 Jul;10(7). doi: 10.1098/rsbl.2014.0306.