• 文献检索
  • 文档翻译
  • 深度研究
  • 学术资讯
  • Suppr Zotero 插件Zotero 插件
  • 邀请有礼
  • 套餐&价格
  • 历史记录
应用&插件
Suppr Zotero 插件Zotero 插件浏览器插件Mac 客户端Windows 客户端微信小程序
定价
高级版会员购买积分包购买API积分包
服务
文献检索文档翻译深度研究API 文档MCP 服务
关于我们
关于 Suppr公司介绍联系我们用户协议隐私条款
关注我们

Suppr 超能文献

核心技术专利:CN118964589B侵权必究
粤ICP备2023148730 号-1Suppr @ 2026

文献检索

告别复杂PubMed语法,用中文像聊天一样搜索,搜遍4000万医学文献。AI智能推荐,让科研检索更轻松。

立即免费搜索

文件翻译

保留排版,准确专业,支持PDF/Word/PPT等文件格式,支持 12+语言互译。

免费翻译文档

深度研究

AI帮你快速写综述,25分钟生成高质量综述,智能提取关键信息,辅助科研写作。

立即免费体验

健康供者和慢性淋巴细胞白血病患者淋巴细胞中 BACH2 和 PRDM1 基因的年龄相关变化。

Age-related changes in the BACH2 and PRDM1 genes in lymphocytes from healthy donors and chronic lymphocytic leukemia patients.

机构信息

Clinical and Experimental Hematology, Institut Jules Bordet, Université Libre de Bruxelles, Rue Heger Bordet 1, 1000, Brussels, Belgium.

Molecular Immunology Unit, Institut Jules Bordet, Université Libre de Bruxelles, Brussels, Belgium.

出版信息

BMC Cancer. 2019 Jan 17;19(1):81. doi: 10.1186/s12885-019-5276-2.

DOI:10.1186/s12885-019-5276-2
PMID:30654767
原文链接:https://pmc.ncbi.nlm.nih.gov/articles/PMC6337793/
Abstract

BACKGROUND

Age-related genetic changes in lymphocyte subsets are not currently well documented. BACH2 is a transcription factor that plays an important role in immune-mediated homeostasis by tightly regulating PRDM1 expression in both B-cells and T-cells. BACH2 gene expression is highly sensitive to DNA damage in aged mice. This concept led us to investigate the variation in BACH2 and also PRDM1 expression in major lymphocyte subsets with age.

METHODS

Lymphocyte subsets from 60 healthy donors, aged from 20 to 90 years, and 41 untreated chronic lymphocytic leukemia patients were studied. BACH2 and PRDM1 gene expression was analyzed by real-time quantitative PCR. BACH2 gene expression was correlated with its protein expression. Lymphocyte apoptosis was evaluated after intracellular oxidative stress-inducing etoposide treatment of T and B cells.

RESULTS

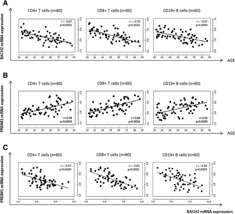
Our analysis shows BACH2 mRNA downregulation with age in healthy donor CD4+, CD8+ T-cells and CD19+ B-cells. Decreased BACH2 expression was also correlated with an age-related reduction in CD8 + CD28+ T-cells. We found a strong correlation between age-related BACH2 downregulation and decreased CD4+ T-cell and CD19+ B-cell apoptosis. PRDM1, as expected, was significantly upregulated in CD4+ T-cells, CD8+ T-cells and CD19+ B-cells, and inversely correlated with BACH2. A comparison of untreated chronic lymphocytic leukemia patients with age-matched healthy donors reveals that BACH2 mRNA expression was further reduced in CD4+ T-cells, CD8+ T-cells and leukemic-B cells. PRDM1 gene expression was consequently significantly upregulated in CD4+ and CD8+ T-cells in chronic lymphocytic leukemia patients but not in their leukemic B-cells.

CONCLUSION

Overall, our data suggest that BACH2 and PRDM1 genes are significantly correlated with age in human immune cells and may be involved in immunosenescence.

摘要

背景

目前尚未充分记录与年龄相关的淋巴细胞亚群的遗传变化。BACH2 是一种转录因子,通过在 B 细胞和 T 细胞中紧密调节 PRDM1 的表达,在免疫介导的稳态中发挥重要作用。BACH2 基因表达对衰老小鼠的 DNA 损伤高度敏感。这一概念促使我们研究 BACH2 和 PRDM1 在主要淋巴细胞亚群中的表达随年龄的变化。

方法

研究了来自 60 名年龄在 20 至 90 岁之间的健康供体和 41 名未经治疗的慢性淋巴细胞白血病患者的淋巴细胞亚群。通过实时定量 PCR 分析 BACH2 和 PRDM1 基因的表达。BACH2 基因表达与其蛋白表达相关。用细胞内氧化应激诱导剂依托泊苷处理 T 和 B 细胞后,评估淋巴细胞凋亡。

结果

我们的分析表明,在健康供体的 CD4+、CD8+T 细胞和 CD19+B 细胞中,BACH2 mRNA 随年龄下调。BACH2 表达的降低也与年龄相关的 CD8+CD28+T 细胞减少相关。我们发现,BACH2 下调与年龄相关的 CD4+T 细胞和 CD19+B 细胞凋亡减少之间存在很强的相关性。如预期的那样,PRDM1 在 CD4+T 细胞、CD8+T 细胞和 CD19+B 细胞中显著上调,并与 BACH2 呈负相关。与年龄匹配的健康供体相比,未经治疗的慢性淋巴细胞白血病患者的比较显示,CD4+T 细胞、CD8+T 细胞和白血病 B 细胞中的 BACH2 mRNA 表达进一步降低。PRDM1 基因表达随后在慢性淋巴细胞白血病患者的 CD4+和 CD8+T 细胞中显著上调,但在其白血病 B 细胞中则不然。

结论

总的来说,我们的数据表明 BACH2 和 PRDM1 基因在人类免疫细胞中与年龄显著相关,可能参与免疫衰老。

https://cdn.ncbi.nlm.nih.gov/pmc/blobs/9800/6337793/cbb9bbe75e28/12885_2019_5276_Fig5_HTML.jpg
https://cdn.ncbi.nlm.nih.gov/pmc/blobs/9800/6337793/fe5c617e357b/12885_2019_5276_Fig1_HTML.jpg
https://cdn.ncbi.nlm.nih.gov/pmc/blobs/9800/6337793/ce554b530117/12885_2019_5276_Fig2_HTML.jpg
https://cdn.ncbi.nlm.nih.gov/pmc/blobs/9800/6337793/2902e81cb602/12885_2019_5276_Fig3_HTML.jpg
https://cdn.ncbi.nlm.nih.gov/pmc/blobs/9800/6337793/defca3d4d74a/12885_2019_5276_Fig4_HTML.jpg
https://cdn.ncbi.nlm.nih.gov/pmc/blobs/9800/6337793/cbb9bbe75e28/12885_2019_5276_Fig5_HTML.jpg
https://cdn.ncbi.nlm.nih.gov/pmc/blobs/9800/6337793/fe5c617e357b/12885_2019_5276_Fig1_HTML.jpg
https://cdn.ncbi.nlm.nih.gov/pmc/blobs/9800/6337793/ce554b530117/12885_2019_5276_Fig2_HTML.jpg
https://cdn.ncbi.nlm.nih.gov/pmc/blobs/9800/6337793/2902e81cb602/12885_2019_5276_Fig3_HTML.jpg
https://cdn.ncbi.nlm.nih.gov/pmc/blobs/9800/6337793/defca3d4d74a/12885_2019_5276_Fig4_HTML.jpg
https://cdn.ncbi.nlm.nih.gov/pmc/blobs/9800/6337793/cbb9bbe75e28/12885_2019_5276_Fig5_HTML.jpg

相似文献

1
Age-related changes in the BACH2 and PRDM1 genes in lymphocytes from healthy donors and chronic lymphocytic leukemia patients.健康供者和慢性淋巴细胞白血病患者淋巴细胞中 BACH2 和 PRDM1 基因的年龄相关变化。
BMC Cancer. 2019 Jan 17;19(1):81. doi: 10.1186/s12885-019-5276-2.
2
Orchestration of plasma cell differentiation by Bach2 and its gene regulatory network.Bach2及其基因调控网络对浆细胞分化的调控
Immunol Rev. 2014 Sep;261(1):116-25. doi: 10.1111/imr.12201.
3
Plasmacytic transcription factor Blimp-1 is repressed by Bach2 in B cells.浆细胞转录因子Blimp-1在B细胞中受到Bach2的抑制。
J Biol Chem. 2006 Dec 15;281(50):38226-34. doi: 10.1074/jbc.M607592200. Epub 2006 Oct 17.
4
Relationship between the expression of CD25 and CD69 on the surface of lymphocytes T and B from peripheral blood and bone marrow of patients with chronic lymphocytic leukemia and established prognostic factors of this disease.慢性淋巴细胞白血病患者外周血和骨髓中T淋巴细胞和B淋巴细胞表面CD25和CD69的表达与该疾病既定预后因素之间的关系。
Adv Clin Exp Med. 2018 Jul;27(7):987-999. doi: 10.17219/acem/74437.
5
Differential sensitivity of CD4+ and CD8+ T lymphocytes to the killing efficacy of Fas (Apo-1/CD95) ligand+ tumor cells in B chronic lymphocytic leukemia.B 慢性淋巴细胞白血病中 CD4+ 和 CD8+ T 淋巴细胞对 Fas(Apo-1/CD95)配体阳性肿瘤细胞杀伤效力的差异敏感性
Blood. 1998 Jun 1;91(11):4273-81.
6
Bach2 in CD4 T cells from SLE patients modulates B-cell differentiation and IgG production.SLE 患者 CD4 T 细胞中的 Bach2 调节 B 细胞分化和 IgG 产生。
Eur J Immunol. 2023 Apr;53(4):e2250109. doi: 10.1002/eji.202250109. Epub 2023 Feb 25.
7
Epigenetic Regulation of the Blimp-1 Gene (Prdm1) in B Cells Involves Bach2 and Histone Deacetylase 3.B细胞中Blimp-1基因(Prdm1)的表观遗传调控涉及Bach2和组蛋白去乙酰化酶3。
J Biol Chem. 2016 Mar 18;291(12):6316-30. doi: 10.1074/jbc.M116.713842. Epub 2016 Jan 19.
8
The Critical Role of Bach2 in Shaping the Balance between CD4 T Cell Subsets in Immune-Mediated Diseases.Bach2 在调节免疫介导性疾病中 CD4+T 细胞亚群平衡方面的关键作用。
Mediators Inflamm. 2019 Dec 30;2019:2609737. doi: 10.1155/2019/2609737. eCollection 2019.
9
Regulation of IL-2 expression by transcription factor BACH2 in umbilical cord blood CD4+ T cells.转录因子BACH2对脐带血CD4+ T细胞中IL-2表达的调控
Leukemia. 2008 Dec;22(12):2201-7. doi: 10.1038/leu.2008.234. Epub 2008 Sep 4.
10
Expansion of a CD8(+)PD-1(+) replicative senescence phenotype in early stage CLL patients is associated with inverted CD4:CD8 ratios and disease progression.早期 CLL 患者中 CD8(+)PD-1(+)复制性衰老表型的扩增与 CD4:CD8 比值倒置和疾病进展相关。
Clin Cancer Res. 2012 Feb 1;18(3):678-87. doi: 10.1158/1078-0432.CCR-11-2630. Epub 2011 Dec 21.

引用本文的文献

1
Impact of acute stress exposure on genome-wide DNA methylation.急性应激暴露对全基因组DNA甲基化的影响。
Sci Rep. 2025 Jul 4;15(1):23931. doi: 10.1038/s41598-025-09299-y.
2
Increased STAT3 Phosphorylation in CD4 T-Cells of Treated Patients with Chronic Lymphocytic Leukemia and Changes in Circulating Regulatory T-Cell Subsets Relative to Tumor Mass Distribution Value and Disease Duration.慢性淋巴细胞白血病经治疗患者CD4 T细胞中STAT3磷酸化增加以及循环调节性T细胞亚群相对于肿瘤肿块分布值和疾病持续时间的变化。
Biomedicines. 2025 May 15;13(5):1204. doi: 10.3390/biomedicines13051204.
3
Increased Frequency of Circulating Activated FOXP3 Regulatory T Cell Subset in Patients with Chronic Lymphocytic Leukemia Is Associated with the Estimate of the Size of the Tumor Mass, STAT5 Signaling and Disease Course during Follow-Up of Patients on Therapy.

本文引用的文献

1
CXCL13-producing TFH cells link immune suppression and adaptive memory in human breast cancer.产生CXCL13的滤泡辅助性T细胞将人类乳腺癌中的免疫抑制与适应性记忆联系起来。
JCI Insight. 2017 Jun 2;2(11). doi: 10.1172/jci.insight.91487.
2
Update on the challenges and recent advances in cancer immunotherapy.癌症免疫疗法的挑战与近期进展综述
Immunotargets Ther. 2013 Jun 15;2:39-49. doi: 10.2147/ITT.S30818. eCollection 2013.
3
Bach2 is required for B cell and T cell memory differentiation.B细胞和T细胞记忆分化需要Bach2。
慢性淋巴细胞白血病患者循环中活化的FOXP3调节性T细胞亚群频率增加与肿瘤肿块大小的估计、STAT5信号传导以及治疗期间患者随访中的疾病进程相关。
Cancers (Basel). 2024 Sep 22;16(18):3228. doi: 10.3390/cancers16183228.
4
Potential New Therapies "ROS-Based" in CLL: An Innovative Paradigm in the Induction of Tumor Cell Apoptosis.慢性淋巴细胞白血病中基于活性氧的潜在新疗法:诱导肿瘤细胞凋亡的创新范例
Antioxidants (Basel). 2024 Apr 17;13(4):475. doi: 10.3390/antiox13040475.
5
The role of Bach2 in regulating CD8 + T cell development and function.Bach2 在调控 CD8+T 细胞发育和功能中的作用。
Cell Commun Signal. 2024 Mar 8;22(1):169. doi: 10.1186/s12964-024-01551-8.
6
Counteracting Immunosenescence-Which Therapeutic Strategies Are Promising?对抗免疫衰老——哪些治疗策略有前景?
Biomolecules. 2023 Jul 6;13(7):1085. doi: 10.3390/biom13071085.
7
Super-killer CTLs are generated by single gene deletion of Bach2.通过 Bach2 单一基因缺失可产生超级杀伤性 CTL。
Eur J Immunol. 2022 Nov;52(11):1776-1788. doi: 10.1002/eji.202249797. Epub 2022 Sep 26.
8
Gene Expression Analysis Reveals Age and Ethnicity Signatures Between Young and Old Adults in Human PBMC.基因表达分析揭示了人类外周血单个核细胞中年轻人和老年人之间的年龄和种族特征。
Front Aging. 2022 Feb 3;2:797040. doi: 10.3389/fragi.2021.797040. eCollection 2021.
9
Low BACH2 Expression Predicts Adverse Outcome in Chronic Lymphocytic Leukaemia.低BACH2表达预示慢性淋巴细胞白血病的不良预后。
Cancers (Basel). 2021 Dec 21;14(1):23. doi: 10.3390/cancers14010023.
10
To be red or white: lineage commitment and maintenance of the hematopoietic system by the "inner myeloid".是红是白:“内髓样”细胞对造血系统的谱系承诺和维持。
Haematologica. 2019 Oct;104(10):1919-1927. doi: 10.3324/haematol.2019.216861. Epub 2019 Sep 12.
Nat Immunol. 2016 Jun 21;17(7):744-5. doi: 10.1038/ni.3493.
4
The Bach Family of Transcription Factors: A Comprehensive Review.转录因子的巴赫家族:全面综述。
Clin Rev Allergy Immunol. 2016 Jun;50(3):345-56. doi: 10.1007/s12016-016-8538-7.
5
The 2016 revision of the World Health Organization classification of lymphoid neoplasms.《世界卫生组织淋巴组织肿瘤分类(2016年修订版)》
Blood. 2016 May 19;127(20):2375-90. doi: 10.1182/blood-2016-01-643569. Epub 2016 Mar 15.
6
Cellular Senescence as the Causal Nexus of Aging.细胞衰老作为衰老的因果关联
Front Genet. 2016 Feb 12;7:13. doi: 10.3389/fgene.2016.00013. eCollection 2016.
7
Epigenetic Regulation of the Blimp-1 Gene (Prdm1) in B Cells Involves Bach2 and Histone Deacetylase 3.B细胞中Blimp-1基因(Prdm1)的表观遗传调控涉及Bach2和组蛋白去乙酰化酶3。
J Biol Chem. 2016 Mar 18;291(12):6316-30. doi: 10.1074/jbc.M116.713842. Epub 2016 Jan 19.
8
Age-associated inflammation connects RAS-induced senescence to stem cell dysfunction and epidermal malignancy.与年龄相关的炎症将RAS诱导的衰老与干细胞功能障碍及表皮恶性肿瘤联系起来。
Cell Death Differ. 2015 Nov;22(11):1764-74. doi: 10.1038/cdd.2015.21. Epub 2015 Mar 20.
9
Aging and malignant hemopathies.衰老与恶性血液病
Haematologica. 2015 May;100(5):571-4. doi: 10.3324/haematol.2014.117721.
10
Hypermethylation of the tumor suppressor gene PRDM1/Blimp-1 supports a pathogenetic role in EBV-positive Burkitt lymphoma.肿瘤抑制基因PRDM1/Blimp-1的高甲基化在EB病毒阳性的伯基特淋巴瘤中发挥致病作用。
Blood Cancer J. 2014 Nov 7;4(11):e261. doi: 10.1038/bcj.2014.75.