• 文献检索
  • 文档翻译
  • 深度研究
  • 学术资讯
  • Suppr Zotero 插件Zotero 插件
  • 邀请有礼
  • 套餐&价格
  • 历史记录
应用&插件
Suppr Zotero 插件Zotero 插件浏览器插件Mac 客户端Windows 客户端微信小程序
定价
高级版会员购买积分包购买API积分包
服务
文献检索文档翻译深度研究API 文档MCP 服务
关于我们
关于 Suppr公司介绍联系我们用户协议隐私条款
关注我们

Suppr 超能文献

核心技术专利:CN118964589B侵权必究
粤ICP备2023148730 号-1Suppr @ 2026

文献检索

告别复杂PubMed语法,用中文像聊天一样搜索,搜遍4000万医学文献。AI智能推荐,让科研检索更轻松。

立即免费搜索

文件翻译

保留排版,准确专业,支持PDF/Word/PPT等文件格式,支持 12+语言互译。

免费翻译文档

深度研究

AI帮你快速写综述,25分钟生成高质量综述,智能提取关键信息,辅助科研写作。

立即免费体验

单剂量泼尼松龙会改变男性的内分泌和血液学反应以及运动表现。

Single-dose prednisolone alters endocrine and haematologic responses and exercise performance in men.

作者信息

Tacey Alexander, Parker Lewan, Yeap Bu B, Joseph John, Lim Ee M, Garnham Andrew, Hare David L, Brennan-Speranza Tara, Levinger Itamar

机构信息

Institute for Health and Sport (IHES), Victoria University, Melbourne, Victoria, Australia.

Department of Medicine-Western Health, Australian Institute for Musculoskeletal Science (AIMSS), Melbourne Medical School, The University of Melbourne, Melbourne, Victoria, Australia.

出版信息

Endocr Connect. 2019 Feb;8(2):111-119. doi: 10.1530/EC-18-0473.

DOI:10.1530/EC-18-0473
PMID:30673629
原文链接:https://pmc.ncbi.nlm.nih.gov/articles/PMC6373622/
Abstract

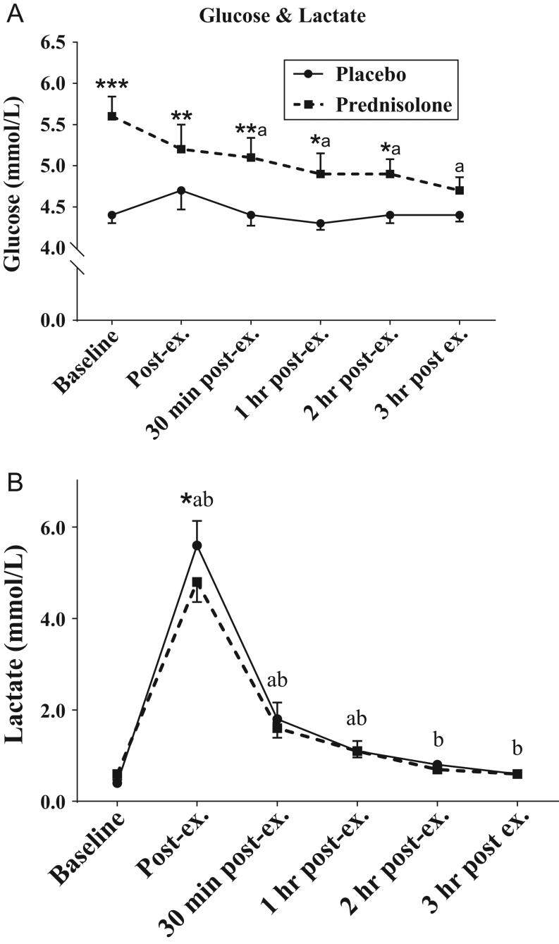
The aim of this study was to investigate the effect of a single dose of prednisolone on (A) high-intensity interval cycling performance and (B) post-exercise metabolic, hormonal and haematological responses. Nine young men participated in this double-blind, randomised, cross-over study. The participants completed exercise sessions (4 × 4 min cycling bouts at 90-95% of peak heart rate), 12 h after ingesting prednisolone (20 mg) or placebo. Work load was adjusted to maintain the same relative heart rate between the sessions. Exercise performance was measured as total work performed. Blood samples were taken at rest, immediately post exercise and up to 3 h post exercise. Prednisolone ingestion decreased total work performed by 5% (P < 0.05). Baseline blood glucose was elevated following prednisolone compared to placebo (P < 0.001). Three hours post exercise, blood glucose in the prednisolone trial was reduced to a level equivalent to the baseline concentration in the placebo trial (P > 0.05). Prednisolone suppressed the increase in blood lactate immediately post exercise (P < 0.05). Total white blood cell count was elevated at all time-points with prednisolone (P < 0.01). Androgens and sex hormone-binding globulin were elevated immediately after exercise, irrespective of prednisolone or placebo. In contrast, prednisolone significantly reduced the ratio of testosterone/luteinizing hormone (P < 0.01). Acute prednisolone treatment impairs high-intensity interval cycling performance and alters metabolic and haematological parameters in healthy young men. Exercise may be an effective tool to minimise the effect of prednisolone on blood glucose levels.

摘要

本研究的目的是调查单剂量泼尼松龙对(A)高强度间歇骑行表现以及(B)运动后代谢、激素和血液学反应的影响。九名年轻男性参与了这项双盲、随机、交叉研究。参与者在摄入泼尼松龙(20毫克)或安慰剂12小时后完成运动课程(4次4分钟的骑行回合,心率达到峰值心率的90 - 95%)。调整工作量以在各回合之间维持相同的相对心率。运动表现通过所完成的总工作量来衡量。在静息状态、运动后即刻以及运动后长达3小时采集血样。摄入泼尼松龙使所完成的总工作量降低了5%(P < 0.05)。与安慰剂相比,泼尼松龙使基线血糖升高(P < 0.001)。运动后3小时,泼尼松龙试验中的血糖降至与安慰剂试验中的基线浓度相当的水平(P > 0.05)。泼尼松龙抑制了运动后即刻血乳酸的增加(P < 0.05)。泼尼松龙在所有时间点均使白细胞总数升高(P < 0.01)。无论泼尼松龙或安慰剂如何,运动后即刻雄激素和性激素结合球蛋白均升高。相比之下,泼尼松龙显著降低了睾酮/促黄体生成素的比值(P < 0.01)。急性泼尼松龙治疗会损害健康年轻男性的高强度间歇骑行表现,并改变代谢和血液学参数。运动可能是将泼尼松龙对血糖水平的影响降至最低的有效手段。

https://cdn.ncbi.nlm.nih.gov/pmc/blobs/48fb/6373622/f9a9a1e9f32c/EC-18-0473fig5.jpg
https://cdn.ncbi.nlm.nih.gov/pmc/blobs/48fb/6373622/3ca309c50d8d/EC-18-0473fig1.jpg
https://cdn.ncbi.nlm.nih.gov/pmc/blobs/48fb/6373622/6b7b8769201e/EC-18-0473fig2.jpg
https://cdn.ncbi.nlm.nih.gov/pmc/blobs/48fb/6373622/c375cb1f7066/EC-18-0473fig3.jpg
https://cdn.ncbi.nlm.nih.gov/pmc/blobs/48fb/6373622/7b629108b0ab/EC-18-0473fig4.jpg
https://cdn.ncbi.nlm.nih.gov/pmc/blobs/48fb/6373622/f9a9a1e9f32c/EC-18-0473fig5.jpg
https://cdn.ncbi.nlm.nih.gov/pmc/blobs/48fb/6373622/3ca309c50d8d/EC-18-0473fig1.jpg
https://cdn.ncbi.nlm.nih.gov/pmc/blobs/48fb/6373622/6b7b8769201e/EC-18-0473fig2.jpg
https://cdn.ncbi.nlm.nih.gov/pmc/blobs/48fb/6373622/c375cb1f7066/EC-18-0473fig3.jpg
https://cdn.ncbi.nlm.nih.gov/pmc/blobs/48fb/6373622/7b629108b0ab/EC-18-0473fig4.jpg
https://cdn.ncbi.nlm.nih.gov/pmc/blobs/48fb/6373622/f9a9a1e9f32c/EC-18-0473fig5.jpg

相似文献

1
Single-dose prednisolone alters endocrine and haematologic responses and exercise performance in men.单剂量泼尼松龙会改变男性的内分泌和血液学反应以及运动表现。
Endocr Connect. 2019 Feb;8(2):111-119. doi: 10.1530/EC-18-0473.
2
Short-term glucocorticoid intake combined with intense training on performance and hormonal responses.短期摄入糖皮质激素与高强度训练对运动表现和激素反应的影响
Br J Sports Med. 2008 Dec;42(12):983-8. doi: 10.1136/bjsm.2007.043083. Epub 2007 Nov 29.
3
Effects of acute prednisolone administration on exercise endurance and metabolism.急性给予泼尼松龙对运动耐力和代谢的影响。
Br J Sports Med. 2008 Apr;42(4):250-4; discussion 254. doi: 10.1136/bjsm.2007.039040. Epub 2007 Jul 3.
4
Effects of short-term prednisolone intake during submaximal exercise.次最大运动期间短期服用泼尼松龙的影响。
Med Sci Sports Exerc. 2007 Sep;39(9):1672-8. doi: 10.1249/mss.0b013e3180dc992c.
5
Effects of acute prednisolone intake during intense submaximal exercise.在次极量强度运动期间急性摄入泼尼松龙的影响。
Int J Sports Med. 2006 Sep;27(9):673-9. doi: 10.1055/s-2005-872826.
6
Glucocorticoid-Induced Insulin Resistance in Men Is Associated With Suppressed Undercarboxylated Osteocalcin.男性糖皮质激素诱导的胰岛素抵抗与低羧化骨钙素受抑制有关。
J Bone Miner Res. 2019 Jan;34(1):49-58. doi: 10.1002/jbmr.3574. Epub 2018 Sep 17.
7
Cardiorespiratory, hormonal and haematological responses to submaximal cycling performed 2 days after eccentric or concentric exercise bouts.离心或向心运动 bout 后 2 天进行次最大强度骑行时的心肺、激素和血液学反应。 (注:这里“bout”不太好准确翻译,可理解为一次运动等,保留英文更合适些)
J Sports Sci. 1995 Dec;13(6):471-9. doi: 10.1080/02640419508732264.
8
Hormonal responses to high- and moderate-intensity strength exercise.对高强度和中等强度力量训练的激素反应。
Eur J Appl Physiol. 2000 May;82(1-2):121-8. doi: 10.1007/s004210050661.
9
Nutritional ketone salts increase fat oxidation but impair high-intensity exercise performance in healthy adult males.营养性酮盐增加脂肪氧化,但会损害健康成年男性的高强度运动表现。
Appl Physiol Nutr Metab. 2017 Oct;42(10):1031-1035. doi: 10.1139/apnm-2016-0641. Epub 2017 Jul 27.
10
Total PYY and GLP-1 responses to submaximal continuous and supramaximal sprint interval cycling in men.男性在次最大强度持续骑行和超最大强度间歇冲刺骑行中,血浆酪酪肽(PYY)和胰高血糖素样肽-1(GLP-1)的总体反应。
Appetite. 2017 Jan 1;108:238-244. doi: 10.1016/j.appet.2016.10.006. Epub 2016 Oct 6.

引用本文的文献

1
Glucocorticoids and physical performance: A systematic review with meta-analysis of randomized controlled trials.糖皮质激素与身体机能:一项对随机对照试验的系统评价及荟萃分析
Front Sports Act Living. 2023 Mar 23;5:1108062. doi: 10.3389/fspor.2023.1108062. eCollection 2023.
2
Growth Hormone(s), Testosterone, Insulin-Like Growth Factors, and Cortisol: Roles and Integration for Cellular Development and Growth With Exercise.生长激素、睾酮、胰岛素样生长因子和皮质醇:运动对细胞发育和生长的作用及整合
Front Endocrinol (Lausanne). 2020 Feb 25;11:33. doi: 10.3389/fendo.2020.00033. eCollection 2020.

本文引用的文献

1
Glucocorticoid-Induced Insulin Resistance in Men Is Associated With Suppressed Undercarboxylated Osteocalcin.男性糖皮质激素诱导的胰岛素抵抗与低羧化骨钙素受抑制有关。
J Bone Miner Res. 2019 Jan;34(1):49-58. doi: 10.1002/jbmr.3574. Epub 2018 Sep 17.
2
Prevalence and prescription patterns of oral glucocorticoids in adults: a retrospective cross-sectional and cohort analysis in France.成人口服糖皮质激素的患病率及处方模式:法国的一项回顾性横断面和队列分析
BMJ Open. 2017 Jul 31;7(7):e015905. doi: 10.1136/bmjopen-2017-015905.
3
Systemic glucocorticoid use in Denmark: a population-based prevalence study.
丹麦全身性糖皮质激素的使用情况:一项基于人群的患病率研究。
BMJ Open. 2017 May 29;7(5):e015237. doi: 10.1136/bmjopen-2016-015237.
4
The effect of acute and short term glucocorticoid administration on exercise capacity and metabolism.急性和短期给予糖皮质激素对运动能力和代谢的影响。
J Sci Med Sport. 2017 Jun;20(6):543-548. doi: 10.1016/j.jsams.2016.10.016. Epub 2017 Jan 18.
5
Effects of morning versus evening combined strength and endurance training on physical performance, muscle hypertrophy, and serum hormone concentrations.早晨与晚上进行联合力量和耐力训练对身体机能、肌肉肥大及血清激素浓度的影响。
Appl Physiol Nutr Metab. 2016 Dec;41(12):1285-1294. doi: 10.1139/apnm-2016-0271.
6
Overexpression of CYP19A1 aromatase in Leydig cells is associated with steroidogenic dysfunction in subjects with Sertoli cell-only syndrome.睾丸间质细胞中CYP19A1芳香化酶的过表达与唯支持细胞综合征患者的类固醇生成功能障碍有关。
Andrology. 2017 Jan;5(1):41-48. doi: 10.1111/andr.12289. Epub 2016 Oct 21.
7
Acute High-Intensity Interval Exercise-Induced Redox Signaling Is Associated with Enhanced Insulin Sensitivity in Obese Middle-Aged Men.急性高强度间歇运动诱导的氧化还原信号与肥胖中年男性胰岛素敏感性增强有关。
Front Physiol. 2016 Sep 16;7:411. doi: 10.3389/fphys.2016.00411. eCollection 2016.
8
Glucocorticoid administration in athletes: Performance, metabolism and detection.运动员使用糖皮质激素:表现、代谢与检测
Steroids. 2016 Nov;115:193-202. doi: 10.1016/j.steroids.2016.09.008. Epub 2016 Sep 16.
9
A Single Dose of Prednisolone as a Modulator of Undercarboxylated Osteocalcin and Insulin Sensitivity Post-Exercise in Healthy Young Men: A Study Protocol.单剂量泼尼松龙对健康年轻男性运动后羧化不全骨钙素和胰岛素敏感性的调节作用:一项研究方案
JMIR Res Protoc. 2016 Jun 3;5(2):e78. doi: 10.2196/resprot.5119.
10
Effects of resistance training on testosterone metabolism in younger and older men.抗阻训练对年轻男性和老年男性睾酮代谢的影响。
Exp Gerontol. 2015 Sep;69:148-58. doi: 10.1016/j.exger.2015.06.010. Epub 2015 Jun 14.